One end of massless rope, which passes over a massless and frictionless pulley P is tied to a hook C while the other end is free. maximum tension that the rope can bear is 360 N. Which what value of maximum safe acceleration (in ms-2) can a man of 60 kg climb down the rope ?
[AIEEE 2002]
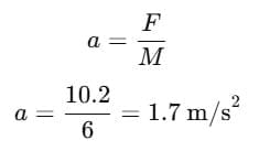
Three identical blocks of masses m = 2kg are drawn by a force 10.2 N on a frictionless surface. What is the tension (in N) in the string between the blocks B and C?
[AIEEE 2002]
A light string passing over a smooth light pulley connects two blocks of masses m1 and m2 (vertically). If the acceleration of the system is g/8,then ratio of the masses is
[AIEEE 2002]
The minimum velocity (in ms-1) with which a car driver must traverse a flat curve of radius 150 m and coefficient of friction 0.6 to avoid skidding is
[AIEEE 2002]
When forces F1, F2, F3 are acting on a particle of mass m such that F2 and F3are mutually perpendiclar, then the particle remains stationary. If the force F1 is now removed, then the acceleration of the particle is
[AIEEE 2002]
Two forces are such that the sum of their magnitudes is 18 N and their resultant which has magnitude 12 N, is perpendicular to the smaller force. Then the magnitudes of the forces are
A lift is moving down with acceleration a. A man in the lift drops a ball inside the lift. The acceleration of the ball as observed by the man in the lift and a man standing stationary on the ground are respectively
[AIEEE 2002]
A rocket witha lift-off mass 3.5 × 104 kg is blasted upwards with an initial acceleration of 10 ms-2. Then the initial thrust of the blast is
[AIEEE 2003]
A light spring balance hangs from the hook of the other light spring balance and a block of mass M kg hangs from the former one. Then the true statement about the scale reading is
[AIEEE 2003]
Consider the following two statements :
A. Linear momentum of a system of particles is zero.
B. kinetic energy of a system of particles is zero.Then
[AIEEE 2003]
A marble block of mass 2 kg lying on ice when given a velocity of 6 ms-1 is stopped by friction in 10 s. Then the coefficient of friction is
A horizontal force of 10 N is necessary to just hold a block stationary against a wall. The coefficient of friction between the block and the wall is 0.2. The weight of the block is

[AIEEE 2003]
Three forces start acting simultaneously on a particle moving with velocity . These forces are represented in magnitude and direction by the three sides of a triangle ABC (as shown). The particle will now move with velocity
[AIEEE 2003]
A spring balance is attached to the ceiling of a lift. A man hangs his bag on the spring and the spring reads 49 N, when the lift is stationary. If the lift moves downward with an acceleration of 5 ms-2, the reading of the spring balance will be
[AIEEE 2003]
A block rests on a rough inclined plane making an angle of 30° with the horizontal. The coefficient of static friction between the block and the plane is 0.8. If the frictional force on the block is 10 N, the mass of the block (in kg) is (g = 10 m/s2
[AIEEE 2004]
Two masses m1 = 5 kg and m2 = 4.8 kg tied to a string are hanging over a light frictionless pulley. What is the acceleration of the masses when lift is free to move ? (g = 9.8 ms_2)
[AIEEE 2004]
A machine gun fires a bullet of mass 40 g with a velocity 1200 ms-1. The man holding it, can exert a maximum force of 144 N on the gun. How many bullets can he fire per second at the most ?
[AIEEE 2004]
The upper half of an inclined plane with inclination f is perfectly smooth, while the lower half is rough. A body starting from rest at the top will again come to rest at the bottom, if the coefficient of friction for the lower half is given by
[AIEEE 2005]
A smooth block is released at rest on a 45° incline and then slides a distances d. The time taken to slide is n time as much to slide on rough incline than on a smooth incline. The coefficient of friction is
[AIEEE 2005]
An angular ring with inner and outer radii R1 and R2 is rolling without slipping with a uniform angular speed. The ratio of the forces experienced by the two particles situated on the inner and outer parts of the ring, is
[AIEEE 2005]
A particle of mass 0.3 kg is subjected to a force F = - kx with k = 15 Nm-1. What will be its initial acceleration, if it is released from a point 20 cm away from the origin ?
[AIEEE 2005]
Consider a car moving on a straight road with a speed of 100 ms-1. The distance at which car can be stopped, is .
[AIEEE 2005]
A block is kept on a frictionless inclined surface with angle of inclination a. The incline is given an acceleration a to keep the block stationary. Then a is equal to

[AIEEE 2005]
A player caught a cricket ball of mass 150 g moving at a rate of 20 m/s. If the catching process is completed in 0.1 s, the force of the blow exerted by the ball on the hand of the player is equal to
[AIEEE 2006]
A ball of mass 0.2 kg is thrown vertically upwards by applying a force by hand. If the hand moves 0.2 m while applying the force and the ball goes upto 2 m height further, find the magnitude of the force. Consider g = 10 m/s2.
[AIEEE 2006]
Two fixed frictionless inclined plane making an angle 30° and 60° with the vertical are shown in the figure. Two block A and B are placed on the two planes. What is the relative vertical acceleration of A with respect to B ?
[AIEEE 2010]
The figure shows the position-time (x-t) graph of one-dimensional motion of a body of mass 0.4 kg. The magnitude of each impulse is
[AIEEE 2010]
The minimum force required to start pushing a body up a rough (frictional coefficient ) inclined plane is F1 while the minimum force needed to prevent it from sliding down is F2. If the inclined plane makes an angle
from the horizontal such
, then the ratio
is
[AIEEE 2011]
258 videos|843 docs|206 tests |