SSC CGL Exam  >  SSC CGL Tests  >  MCQ: Area - 1 - SSC CGL MCQ

MCQ: Area - 1 - SSC CGL MCQ


Test Description

15 Questions MCQ Test - MCQ: Area - 1

MCQ: Area - 1 for SSC CGL 2025 is part of SSC CGL preparation. The MCQ: Area - 1 questions and answers have been prepared according to the SSC CGL exam syllabus.The MCQ: Area - 1 MCQs are made for SSC CGL 2025 Exam. Find important definitions, questions, notes, meanings, examples, exercises, MCQs and online tests for MCQ: Area - 1 below.
Solutions of MCQ: Area - 1 questions in English are available as part of our course for SSC CGL & MCQ: Area - 1 solutions in Hindi for SSC CGL course. Download more important topics, notes, lectures and mock test series for SSC CGL Exam by signing up for free. Attempt MCQ: Area - 1 | 15 questions in 15 minutes | Mock test for SSC CGL preparation | Free important questions MCQ to study for SSC CGL Exam | Download free PDF with solutions
MCQ: Area - 1 - Question 1

If the area of square is 256 cm2 and the breadth of rectangle is 20% more and the length is 50% more than the side of the square, then find the ratio of area of square to the area of rectangle.

Detailed Solution for MCQ: Area - 1 - Question 1

Area of square = 256 cm2 , Side of square = 16 cm
Area of rectangle = l x b
Length = 16 x 1.5 = 24 cm
Breadth = 16 x 1.2 = 19.2 cm
Area of rectangle = 460.8 cm2


Hence, option D is correct.

MCQ: Area - 1 - Question 2

P and Q are running on the circumference of two concentric circles, the radius of larger circle is half of the circumference of inner circle. P runs on larger and Q on smaller circle and both complete a round in same time. If both of them run on the larger circle P will beat Q by 75m when they run in the same direction, what is the
circumference of the larger circle?

Detailed Solution for MCQ: Area - 1 - Question 2

Let the radius of inner circle = R
Circumference of Inner circle = 2πR
Radius of larger circle = πR
Circumference of larger circle = 2π (πR)
As both of them complete 1 round in same time, the ratio of their speeds will be equal to the ratio of their distance travelled.

When both of them run on the larger track the difference in their distance travelled will be (22 – 7) =
15 units.
15 units = 75m
1unit = 5m
P completes one round. So 1 round = 22units
Total distance = 22 × 5 = 110m
Hence, option C is correct.

MCQ: Area - 1 - Question 3

The length of a rectangle, area of which is 126 cm2, is equal to the radius of a circle of area 616 cm2. What is the perimeter of the rectangle?

Detailed Solution for MCQ: Area - 1 - Question 3

Let the radius of the circle = k


Area of rectangle = 126 = L × B = 14 × B → B = 9 cm
Perimeter = 2 × (L + B) = 2 × (14 + 9) = 46 cm
Hence, option C is correct.

MCQ: Area - 1 - Question 4

The shortest distance between two opposite corners of a rectangular park is 68 metres, while the ratio of the length to the breadth of the park is 15 : 8, respectively. Find the difference between the cost of fencing boundary of the park at the rate of Rs. 12/metre and cost of sodding the park at the rate of Rs. 2/metre2.

Detailed Solution for MCQ: Area - 1 - Question 4

Let the length and breadth of park be ‘15x’ cm and ‘8x’ cm respectively,
So, (15x)2 + (8x)2 = 682
225x2 + 64x2 = 4624
289x2 = 4624

X = 4
So, the length and breadth of the park is 60 m and 32 m, respectively
Cost of fencing = 12 × 2 × (60 + 32) = Rs.2208
Cost of sodding = 2 × 60 × 32 = Rs.3840
Required difference = 3840 – 2208 = Rs.1632
Hence, option D is correct.

MCQ: Area - 1 - Question 5

Perimeter of a rectangle is x cm and circumference of a circle is (x + 8) cm. The length of the rectangle is ______ cm. The ratio of the radius of the circle and the length of the rectangle is 1 : 2 and ratio of length and breadth of the rectangle is 7 : 3.

Detailed Solution for MCQ: Area - 1 - Question 5

Let the length and breadth of the rectangle be 7a cm and 3a cm respectively.
Perimeter of rectangle = 2 (7a + 3a)
X = 20a


According to question
⇒ 2πr – 20a = 8

⇒ 22a – 20a = 8
⇒ 2a = 8
⇒ a = 4
Length of the rectangle = 7 x 4 = 28cm
Hence, option A is correct.

MCQ: Area - 1 - Question 6

Some number of solid metallic right circular cones radius of which is equal to the side of the square which area is 9 cm2 and height is 100% more than the inradius of that square are melted to form a solid sphere of radius 6 cm. find the number of right circular cones is required.

Detailed Solution for MCQ: Area - 1 - Question 6

Area of square = 9 sq. cm so side of the square = root of 9 sq. cm = 3 cm = Radius of the metallic right
circular cone

From the question, height of the cone will become 100% more than 1.5 = 3 cm
Let x number of cones are melted to form a solid sphere


By solving this, x = 32
Hence, option D is correct.

MCQ: Area - 1 - Question 7

The perimeter of a square field is 8cm more than the perimeter of a rectangle. The length of the rectangle is 51 cm which is 300% of its width. If a street of width 10 cm surrounds from outside the square, then find the total cost of constructing the street at the rate of Rs. 25 per sq. cm?

Detailed Solution for MCQ: Area - 1 - Question 7

Let the width of the rectangle = x cm
Then, 300% of x = 51

Perimeter of the rectangle = 2(length + width) = 2 × (51 + 17) = 136 cm
Perimeter of the square = (136 + 8) = 144 cm
The sides of the square = 144/4 = 36 cm
The area of the square field without street = (36)2 sq. cm = 1296 sq. cm
The area of the square field with street = (36 + 20)2 sq. cm = 3136 sq. cm
The area of the street = 3136 – 1296 = 1840 sq. cm
The total cost of constructing the street = 1840 x 25 = Rs. 46,000
Hence, option C is correct.

MCQ: Area - 1 - Question 8

The area of a square is 28 sq. cm more than the area of a rectangle of length 14 cm and breadth 12 cm. What will be the area of incircle of the square?

Detailed Solution for MCQ: Area - 1 - Question 8

The area of rectangle = l × b = 14 × 12 = 168 sq. cm
The area of square = 168 + 28 = 196 sq. cm
The side of square = square root of 196 = 14 cm
Radius of incircle of a square 

The reqd. area


Hence, option B is correct.

MCQ: Area - 1 - Question 9

A rectangular floor of length 80 cm and width 60 cm was fully covered with equal size square tiles of sides 4 cm. If the price of one such tile is Rs. 15 then total how much money will be required to cover the floor with tiles?

Detailed Solution for MCQ: Area - 1 - Question 9

The number of square tiles required


The price of one tile = Rs. 15
Therefore, the price of 300 tiles = 15 × 300 = Rs. 4500
Hence, option A is correct.

MCQ: Area - 1 - Question 10

The area of a rectangle is one – third of the area of a circle and the length of the rectangle is equal to the diameter of the circle. If the breadth of the rectangle is 11 cm, then what is the perimeter of the rectangle?

Detailed Solution for MCQ: Area - 1 - Question 10

Let the radius of the circle = r cm the length of the rectangle = 2r cm
According to the question, area of the circle = A = πr2= 3 x 2r x 11

r = 21 cm
The perimeter of the rectangle = 2(l + b) = 2 (21 × 2 + 11) = 106 cm
Hence, option D is correct.

MCQ: Area - 1 - Question 11

The perimeter of two squares fields are 480 cm and 720 cm respectively. The area of a rectangular field is equal to the difference between the areas of these two square fields. The breadth of the rectangular field is 60 cm. How much money the owner of the rectangular field will spend for putting a fence around it at the rate of Rs. 5 per cm?

Detailed Solution for MCQ: Area - 1 - Question 11

Sides of the square = 120 cm and 180 cm respectively [ As the perimeter is given we get it by dividing
the perimeter by 4]
The difference between the area of squares = (180 +120) × (180 – 120) = 300 × 60
= area of the rectangular field
The area of a rectangular field = length × breadth = 60 × length = 300 × 60
Length of the rectangle = 300 cm
The perimeter of the rectangle = 2(length + breadth) = 2(300 + 60) = 720 cm
The total cost of putting a fence around it = 720 × 5 = Rs. 3600
Hence, option C is correct.

MCQ: Area - 1 - Question 12

small slice from a circular shaped pizza of diameter 21 cm and thickness 4 cm was cut. If the small slice makes an angle of 30 degree at the centre of the pizza then what was the total volume (in cm3) of the remaining part of the pizza?

Detailed Solution for MCQ: Area - 1 - Question 12

The volume of the pizza = πr2 × thickness

The volume of small slice of pizza


The volume of the remaining part = 1386 – 115.5 = 1270.5 cm3
Hence, option B is correct.

 

MCQ: Area - 1 - Question 13

The ratio of length to breadth of a rectangular shaped room is 3 : 4. The length of longest pole that can be placed on the floor of the room is 25 cm. What will be the total cost of cementing the floor of the room at the rate of Rs. 5 per sq. cm?

Detailed Solution for MCQ: Area - 1 - Question 13

The length of longest pole that can be placed on the floor of room is nothing but the diagonal of the
rectangle
Therefore, by Pythagorean theorem,
(3x)2 + (4x)2 = 252
Where 3x is the length of the room and 5x is the breadth of the room
9x2 + 16x2 = 25x2 = 625
By solving, x = 5 cm
The area of the floor of the room = 3x x 4x = 12 x 5x 5 = 300 sq. cm
The total cost of cementing the floor of the room = 5 x 300 = Rs. 1500
Hence, option B is correct.

MCQ: Area - 1 - Question 14

The breadth of a rectangular field is 80% of its length. Area of square is six times of breadth of the rectangle. If the ratio of Area of Rectangle to Perimeter of Square is 15 : 1, then what will be the length of rectangle ?

Detailed Solution for MCQ: Area - 1 - Question 14

Let, breadth and length of rectangle = 4x and 5x
Area of Square = 24x
Area of Rectangle = 20X2
Side of Square = √24X
Perimeter of Square = 4 × √24X
Ratio of Area of Rectangle & Perimeter of Square is 15 : 1

Squaring both sides,

Length of Rectangle = 5X = 30
Hence, option A is correct.

MCQ: Area - 1 - Question 15

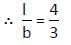
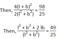
‘Jameen’ is a rectangle piece of purposed construction site of a Mohalla ground in Patna. The ratio of the square of the perimeter of ‘Jameen’ and the sum of the squares of the diagonals of ‘Jameen’ is 98 : 25. Find the ratio of the sum of the adjacent sides of ‘Jameen’ and difference of adjacent sides of ‘Jameen’.

Detailed Solution for MCQ: Area - 1 - Question 15

Let the length and the breadth of the rectangle be l and b respectively


⇒ 50 x l x b = 24(l2+b2)
⇒ 12l2 – 25 x l x b + 12b2 = 0


But l can't be less than b

Information about MCQ: Area - 1 Page
In this test you can find the Exam questions for MCQ: Area - 1 solved & explained in the simplest way possible. Besides giving Questions and answers for MCQ: Area - 1, EduRev gives you an ample number of Online tests for practice
Download as PDF