Defence Exam  >  Defence Tests  >  NDA I - Mathematics Question Paper 2019 - Defence MCQ

NDA I - Mathematics Question Paper 2019 - Defence MCQ


Test Description

30 Questions MCQ Test - NDA I - Mathematics Question Paper 2019

NDA I - Mathematics Question Paper 2019 for Defence 2025 is part of Defence preparation. The NDA I - Mathematics Question Paper 2019 questions and answers have been prepared according to the Defence exam syllabus.The NDA I - Mathematics Question Paper 2019 MCQs are made for Defence 2025 Exam. Find important definitions, questions, notes, meanings, examples, exercises, MCQs and online tests for NDA I - Mathematics Question Paper 2019 below.
Solutions of NDA I - Mathematics Question Paper 2019 questions in English are available as part of our course for Defence & NDA I - Mathematics Question Paper 2019 solutions in Hindi for Defence course. Download more important topics, notes, lectures and mock test series for Defence Exam by signing up for free. Attempt NDA I - Mathematics Question Paper 2019 | 120 questions in 150 minutes | Mock test for Defence preparation | Free important questions MCQ to study for Defence Exam | Download free PDF with solutions
NDA I - Mathematics Question Paper 2019 - Question 1

What is the nth term of the sequence 25, -125, 625, -3125, ...?

Detailed Solution for NDA I - Mathematics Question Paper 2019 - Question 1

Substituting n = 1, 2, 3, 4, 5, on option (d), we obtain a5 = (−1)5−155+1 = 56 = 15625.

Therefore, the required terms are 25, – 125, 625, – 3125, and 15625.

NDA I - Mathematics Question Paper 2019 - Question 2

Suppose X = {1, 2, 3, 4} and R is a relation on X. If R = [(1, 1), (2, 2), (3, 3), (1, 2), (2, 1), (2, 3), (3, 2)}, then which one of the following is correct?

Detailed Solution for NDA I - Mathematics Question Paper 2019 - Question 2

Given X = {1, 2, 3, 4} and R = [(1, 1), (2, 2), (3, 3), (1, 2), (2,1), (2, 3), (3, 2)}
Reflexive Property states that for every real number x, x=x.
Here (1,1) ∈ R, (2,2) ∈ R, (3,3) ∈ R, but (4,4) ∉ R. So, R is not Reflexive.

Symmetric Property states that for all real numbers x and y, if x=y, then y=x.
(1, 2) ∈ R, (2, 1) ∈ R and, (2, 3) ∈ R, (3,2) ∈ R

So, R is symmetric.

Transitive Property states that for all real
numbers x, y and z, if x=y and y=z, then x=z.

Here (1, 2) ∈ R, (2, 1) ∈ R and (1, 1) ∈ R,

Similarly, (2, 3) ∈ R, (3, 2) ∈ R, (2, 2) ∈ R

But for (1, 2) ∈ R, (2, 3) ∈ R, (1, 3) ∉ R

So, R is not transitive.

Thus, R is neither reflexive nor transitive, but symmetric.

NDA I - Mathematics Question Paper 2019 - Question 3

A relation R is defined on the set N of natural numbers as xRy ⇒ x2 − 4xy + 3y2 = 0. Then which one of the following is correct?

Detailed Solution for NDA I - Mathematics Question Paper 2019 - Question 3


So, R is not transitive.
Hence, R is neither symmetric nor  transitive, but reflexive.

NDA I - Mathematics Question Paper 2019 - Question 4

If A= (x ∈ Z∶ x3 − 1 = 0) and B = (x ∈ Z ∶ x2 + x + 1 = 0), where Z is set of complex numbers, then what is A ∩ B equal to?

Detailed Solution for NDA I - Mathematics Question Paper 2019 - Question 4

NDA I - Mathematics Question Paper 2019 - Question 5

Consider the following statements for the two non-empty sets A and B:

Q. Which of the above statements is/are correct?

Detailed Solution for NDA I - Mathematics Question Paper 2019 - Question 5

By drawing venn diagram

This statement is possible

The second statement is impossible.

NDA I - Mathematics Question Paper 2019 - Question 6

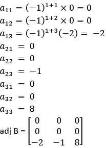
then what is adjoint of B equal to?

Detailed Solution for NDA I - Mathematics Question Paper 2019 - Question 6

NDA I - Mathematics Question Paper 2019 - Question 7

Let X be a non-empty set and let A, B, C be subsets of X. Consider the following statements:

Q. Which of the above statements are correct?

Detailed Solution for NDA I - Mathematics Question Paper 2019 - Question 7

NDA I - Mathematics Question Paper 2019 - Question 8

What are the roots of the equation | x2 - x - 6 | = x + 2?

Detailed Solution for NDA I - Mathematics Question Paper 2019 - Question 8

NDA I - Mathematics Question Paper 2019 - Question 9

 then the matrix A is a/an

Detailed Solution for NDA I - Mathematics Question Paper 2019 - Question 9

Hence matrix A is an Involutory matrix. 

NDA I - Mathematics Question Paper 2019 - Question 10

then what are the values of x and y respectively?

Detailed Solution for NDA I - Mathematics Question Paper 2019 - Question 10

By comparison both sides, we get

NDA I - Mathematics Question Paper 2019 - Question 11

The common roots of the equations z3 + 2z2 + 2z + 1 = 0 and z2017 + z2018 + 1 = 0 are

Detailed Solution for NDA I - Mathematics Question Paper 2019 - Question 11

Given


Now according to options there are four roots i.e. 1, –1, ω, ω2 But 1 and –1 are not satisfying the given equations. Hence ω, ω2 are the required roots.

NDA I - Mathematics Question Paper 2019 - Question 12

​If C(20, n + 2) = C(20, n − 2), then what is n equal to?

Detailed Solution for NDA I - Mathematics Question Paper 2019 - Question 12


NDA I - Mathematics Question Paper 2019 - Question 13

There are 10 points in a plane. No three of these points are in a straight line. What is the total number of straight lines which can be formed by joining the points?

Detailed Solution for NDA I - Mathematics Question Paper 2019 - Question 13

A straight line can be drawn by joining two points.

Hence the number of possible straight lines is

NDA I - Mathematics Question Paper 2019 - Question 14

​The equation px2 + qx + r = 0 (where p, q, r, all are positive) has distinct real roots a and b. Which one of the following is correct?

Detailed Solution for NDA I - Mathematics Question Paper 2019 - Question 14

Given

Here sum is negative & product is positive this is possible only when both the roots are negative. i.e. a < 0, b < 0.

NDA I - Mathematics Question Paper 2019 - Question 15

If A = {λ,{λ,μ}}, then the power set of A is

Detailed Solution for NDA I - Mathematics Question Paper 2019 - Question 15

Let A be a set, then the of all the possible subsets of is called the power set of A and is denoted by P(A).

NDA I - Mathematics Question Paper 2019 - Question 16

In a school, all the students play at least one of three indoor games – chess, carrom and table tennis. 60 play chess, 50 play table tennis, 48 play carrom, 12 play chess and carrom, 15 play carrom and table tennis, 20 play table tennis and chess.

Q. What can be the minimum number of students in the school?

Detailed Solution for NDA I - Mathematics Question Paper 2019 - Question 16

⇒ 50 + 28 + x + 12 − x + 21 + x
⇒ 111 + x (total) Minimum value when x=0 will be 111 + 0 = 111

NDA I - Mathematics Question Paper 2019 - Question 17

In a school, all the students play at least one of three indoor games – chess, carrom and table tennis. 60 play chess, 50 play table tennis, 48 play carrom, 12 play chess and carrom, 15 play carrom and table tennis, 20 play table tennis and chess.

Q. What can be the maximum number of students in the school?

Detailed Solution for NDA I - Mathematics Question Paper 2019 - Question 17

⇒ 50 + 28 + x + 12 − x + 21 + x
⇒ 111 + x (total)
The maximum value for x=12 111 + x = 0
111 + 12 = 0
The maximum value = 123

NDA I - Mathematics Question Paper 2019 - Question 18

If A is an identity matrix of order 3, then its inverse (A−1)

Detailed Solution for NDA I - Mathematics Question Paper 2019 - Question 18

A is an identity matrix of order 3, then its inverse (A−1)

Similarly, for A = A, A−1 = A

NDA I - Mathematics Question Paper 2019 - Question 19

A is a square matrix of order 3 such that its determinant is 4. What is the determinant of its transpose?

Detailed Solution for NDA I - Mathematics Question Paper 2019 - Question 19

A is a square matrix of order 

Determinant |A| = 4 Since, we know that  |A′ | = |A|

So, there is no value change when determinant to transpose, since both are equal.
Transpose |A′ | = 4

NDA I - Mathematics Question Paper 2019 - Question 20

From 6 programmers and 4 typists, an office wants to recruit 5 people. What is the number of ways this can be done so as to recruit at least one typist?

Detailed Solution for NDA I - Mathematics Question Paper 2019 - Question 20

From 6 programmers and 4 typists, an office wants to recruit 5 people.

The number of ways this can be done so as to recruit at least one typist= 252 – 6 = 246

NDA I - Mathematics Question Paper 2019 - Question 21

​What is the number of terms in the expansion of [(2x - 3y)2 (2x + 3y)2]2

Detailed Solution for NDA I - Mathematics Question Paper 2019 - Question 21

Given expression is 

Number of terms = 4 + 1 = 5

NDA I - Mathematics Question Paper 2019 - Question 22

In the expansion of (1 + ax)n , the first three terms are respectively 1, 12x and 64x2 . What is n equal to?

Detailed Solution for NDA I - Mathematics Question Paper 2019 - Question 22

Given:

Therefore, n = 9

NDA I - Mathematics Question Paper 2019 - Question 23

The numbers 1, 5 and 25 can be three terms (not necessarily consecutive) of

Detailed Solution for NDA I - Mathematics Question Paper 2019 - Question 23

The numbers 1,5 and 25 can be three terms (not necessarily consecutive) of one or many numbers of Arithmetic and Geometric Progressions.
To check the Arithmetic Progression: Let us assume that given number series 1, 5 and 25 are Ith, Jth and Qth terms in the AP series whose distance is equal to d.
Therefore,

Here x is a natural number.

So, the given three numbers can be terms in one or many numbers of

Arithmetic Progressions.

NDA I - Mathematics Question Paper 2019 - Question 24

The sum of (p+q)th and (p-q)th terms of an AP is equal to

Detailed Solution for NDA I - Mathematics Question Paper 2019 - Question 24

NDA I - Mathematics Question Paper 2019 - Question 25

If A is a square matrix of order n > 1, then which one of the following is correct?

Detailed Solution for NDA I - Mathematics Question Paper 2019 - Question 25

A is a square matrix of order n > 1. det (–A) = (−1)n det A is correct because, when 1 is substituted with I and if we multiplied the RHS then eventually equals to LHS

where −I is the matrix with −1 on the diagonal and 0 elsewhere. 

NDA I - Mathematics Question Paper 2019 - Question 26

What is the least value 25 cosec2 x + 36 sec2 x?

Detailed Solution for NDA I - Mathematics Question Paper 2019 - Question 26

NDA I - Mathematics Question Paper 2019 - Question 27

Let A and B be (3×3) matrices with det A = 4 and det B = 3

Q. What is det (2AB) equal to?

Detailed Solution for NDA I - Mathematics Question Paper 2019 - Question 27

Given det A = 4 and det B = 3 det(2AB)

= 23 det A det B 

= 8 × 4 × 3

= 96

NDA I - Mathematics Question Paper 2019 - Question 28

Let A and B be (3×3) matrices with det A = 4 and det B = 3

Q. What is det (3AB−1) equal to?

Detailed Solution for NDA I - Mathematics Question Paper 2019 - Question 28

NDA I - Mathematics Question Paper 2019 - Question 29

A complex number is given by 

Q. What is the modulus of z?

Detailed Solution for NDA I - Mathematics Question Paper 2019 - Question 29

Given complex number, 

NDA I - Mathematics Question Paper 2019 - Question 30

A complex number is given by 

What is the principal argument of z?

Detailed Solution for NDA I - Mathematics Question Paper 2019 - Question 30

We know that, Principal argument of z is

 

View more questions
Information about NDA I - Mathematics Question Paper 2019 Page
In this test you can find the Exam questions for NDA I - Mathematics Question Paper 2019 solved & explained in the simplest way possible. Besides giving Questions and answers for NDA I - Mathematics Question Paper 2019, EduRev gives you an ample number of Online tests for practice
Download as PDF