Class 8 Exam  >  Class 8 Tests  >  Olympiad Test: Playing With Numbers - 1 - Class 8 MCQ

Olympiad Test: Playing With Numbers - 1 - Class 8 MCQ


Test Description

10 Questions MCQ Test - Olympiad Test: Playing With Numbers - 1

Olympiad Test: Playing With Numbers - 1 for Class 8 2025 is part of Class 8 preparation. The Olympiad Test: Playing With Numbers - 1 questions and answers have been prepared according to the Class 8 exam syllabus.The Olympiad Test: Playing With Numbers - 1 MCQs are made for Class 8 2025 Exam. Find important definitions, questions, notes, meanings, examples, exercises, MCQs and online tests for Olympiad Test: Playing With Numbers - 1 below.
Solutions of Olympiad Test: Playing With Numbers - 1 questions in English are available as part of our course for Class 8 & Olympiad Test: Playing With Numbers - 1 solutions in Hindi for Class 8 course. Download more important topics, notes, lectures and mock test series for Class 8 Exam by signing up for free. Attempt Olympiad Test: Playing With Numbers - 1 | 10 questions in 20 minutes | Mock test for Class 8 preparation | Free important questions MCQ to study for Class 8 Exam | Download free PDF with solutions
Olympiad Test: Playing With Numbers - 1 - Question 1

What is the next number in the series 5, 10, 26, 50, 122, ……

Detailed Solution for Olympiad Test: Playing With Numbers - 1 - Question 1

5, 10, 26, 50, 122, …
(2)2 + 1, (3)+ 1, (5)2 + 1,
(7)2 + 1, (11)2 + 1, (13)2 + 1
∴ Next number = (13)2 + 1 = 170

Olympiad Test: Playing With Numbers - 1 - Question 2

A number is divisible by 63 if it is divisible by:

Detailed Solution for Olympiad Test: Playing With Numbers - 1 - Question 2

63 = 7 × 9
∴ If a number is divisible by 63, then it should be divisible by both 7 and 9. 

Olympiad Test: Playing With Numbers - 1 - Question 3

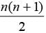
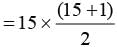
What is the sum of first 15 natural numbers?

Detailed Solution for Olympiad Test: Playing With Numbers - 1 - Question 3

Sum of first ‘n’ natural numbers = 
∴ Sum of first 15 natural numbers

    = 15 × 8 = 120

Olympiad Test: Playing With Numbers - 1 - Question 4

7,835 +  2b1 = 8126, then the value of b will be :

Detailed Solution for Olympiad Test: Playing With Numbers - 1 - Question 4


Let ‘x’ be the carry, resulting from sum of b and 3.
8 + 2  + x = 11 ⇒ x = 1
∴ 3 + b = 12
⇒ b = 9

Olympiad Test: Playing With Numbers - 1 - Question 5

What is the sum of first 20 odd numbers?

Detailed Solution for Olympiad Test: Playing With Numbers - 1 - Question 5

Sum of ‘n’ odd natural numbers (first)= n2
∴ Sum of first 20 odd natural numbers = (20)2
= 400

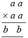
Olympiad Test: Playing With Numbers - 1 - Question 6

 , the value of ‘a’ will be :

Detailed Solution for Olympiad Test: Playing With Numbers - 1 - Question 6

182 ×  22 = 4004
∴ a = 4

Olympiad Test: Playing With Numbers - 1 - Question 7

What will be the last digit of 7333 ?

Detailed Solution for Olympiad Test: Playing With Numbers - 1 - Question 7

71 = 7
72 = 49
7= 343
74 = 2401
75 = 16807

∴ After leaving 43 exponents 7n repeats its unit digit.
∴ 74n has 1 as its units place digit.
∴ 7332 has 1 as units place digit.
∴ 7333 has 7 as its units place digit. 

Olympiad Test: Playing With Numbers - 1 - Question 8

Which of the following numbers is divisible by 11?

Detailed Solution for Olympiad Test: Playing With Numbers - 1 - Question 8

1221, 10·12-21 = 99, 99 can be divided by 11, hence 1221 is divisible by 11.

Olympiad Test: Playing With Numbers - 1 - Question 9

 the value of (x + y) will be :

Detailed Solution for Olympiad Test: Playing With Numbers - 1 - Question 9


When 8 and 7 are added, 1 is carry.
∴ x = 7 + 1 + 1 = 9
The carry of sum (5 + y) should be 1.
∴ 5 + y = 13
⇒ y = 8
∴ x + y = 17

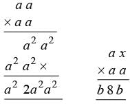
Olympiad Test: Playing With Numbers - 1 - Question 10

 , the value of (ab) will be : (1 ≤ a, b ≤ 9)

Detailed Solution for Olympiad Test: Playing With Numbers - 1 - Question 10


⇒ a2 + a2 = 8
⇒ 2a2 = 8
⇒ a = 2, b = 4
∴ a × b = 8

Information about Olympiad Test: Playing With Numbers - 1 Page
In this test you can find the Exam questions for Olympiad Test: Playing With Numbers - 1 solved & explained in the simplest way possible. Besides giving Questions and answers for Olympiad Test: Playing With Numbers - 1, EduRev gives you an ample number of Online tests for practice
Download as PDF