Mechanical Engineering Exam  >  Mechanical Engineering Tests  >  Past Year Paper - Mechanical Engineering GATE : 2021 (Session - 2) - Mechanical Engineering MCQ

Past Year Paper - Mechanical Engineering GATE : 2021 (Session - 2) - Mechanical Engineering MCQ


Test Description

30 Questions MCQ Test - Past Year Paper - Mechanical Engineering GATE : 2021 (Session - 2)

Past Year Paper - Mechanical Engineering GATE : 2021 (Session - 2) for Mechanical Engineering 2025 is part of Mechanical Engineering preparation. The Past Year Paper - Mechanical Engineering GATE : 2021 (Session - 2) questions and answers have been prepared according to the Mechanical Engineering exam syllabus.The Past Year Paper - Mechanical Engineering GATE : 2021 (Session - 2) MCQs are made for Mechanical Engineering 2025 Exam. Find important definitions, questions, notes, meanings, examples, exercises, MCQs and online tests for Past Year Paper - Mechanical Engineering GATE : 2021 (Session - 2) below.
Solutions of Past Year Paper - Mechanical Engineering GATE : 2021 (Session - 2) questions in English are available as part of our course for Mechanical Engineering & Past Year Paper - Mechanical Engineering GATE : 2021 (Session - 2) solutions in Hindi for Mechanical Engineering course. Download more important topics, notes, lectures and mock test series for Mechanical Engineering Exam by signing up for free. Attempt Past Year Paper - Mechanical Engineering GATE : 2021 (Session - 2) | 65 questions in 180 minutes | Mock test for Mechanical Engineering preparation | Free important questions MCQ to study for Mechanical Engineering Exam | Download free PDF with solutions
Past Year Paper - Mechanical Engineering GATE : 2021 (Session - 2) - Question 1

Consider the following sentences :  
(i) The number of candidates who appear for the GATE examination is staggering.
(ii) A number of candidates from my class are appearing for the GATE examination.
(iii)The number of candidates who appear for the GATE examination are staggering.
(iv) A number of candidates from my class is appearing for the GATE examination.
Which of the above sentences are grammatically CORRECT ? 

Detailed Solution for Past Year Paper - Mechanical Engineering GATE : 2021 (Session - 2) - Question 1

(i) The number of candidates who appear for the GATE examination is staggering.
(ii) A number of candidates from my class are appearing for the GATE examination.
These statements are are grammatically CORRECT.

Past Year Paper - Mechanical Engineering GATE : 2021 (Session - 2) - Question 2

Given below are two statements 1 and 2, and two conclusions I and II
Statement 1: All entrepreneurs are wealthy
Statement 2 : All wealthy are risk seekers
Conclusion 1 : All risk seekers are wealthy.
Conclusion 2 : Only some entrepreneurs are risk seekers.  
Which is correct?

Detailed Solution for Past Year Paper - Mechanical Engineering GATE : 2021 (Session - 2) - Question 2

(1) Can’t say (Wrong)
(2) Definitely wrong

Hence, the correct option is (D).

Past Year Paper - Mechanical Engineering GATE : 2021 (Session - 2) - Question 3

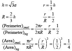
The ratio of the area of the inscribed circle to the area of the circumscribed circle of an equilateral triangle is _______. 

Detailed Solution for Past Year Paper - Mechanical Engineering GATE : 2021 (Session - 2) - Question 3


Hence, the correct option is (D). 

Past Year Paper - Mechanical Engineering GATE : 2021 (Session - 2) - Question 4

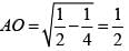
Consider a square sheet of side 1 unit. The sheet is first folded along the main diagonal. This is followed by a fold along its line of symmetry. The resulting folded shape is again folded along its line of symmetry. The area of each face of the final folded shape, in square units, equal to _______  

Detailed Solution for Past Year Paper - Mechanical Engineering GATE : 2021 (Session - 2) - Question 4




Area of ΔAOB = 1/2BO × OA
= 1/2 x 1/2 x 1/2 = 1/8 Sqaure Unit
Hence, the correct option is (D). 

Past Year Paper - Mechanical Engineering GATE : 2021 (Session - 2) - Question 5

The front door of Mr. X’s house faces East. Mr. X leaves the house walking 50 m straight from the back door that is situated directly opposite to the front door. He then turns to his right walks for another 50 m and stops. The direction of the point Mr. X is now located at with respect to the starting point is ___________   

Detailed Solution for Past Year Paper - Mechanical Engineering GATE : 2021 (Session - 2) - Question 5


At the end Mr. X is in North-West direction with respect to starting point.
Hence, the correct option is (A).

Past Year Paper - Mechanical Engineering GATE : 2021 (Session - 2) - Question 6

Five person P, Q, R, S and T are to be seated in a row, all facing the same direction, but not necessarily in the same order. P and T cannot be seated at either end of the row. P should not be seated adjacent to S. R is to be seated at the second position from the left end of the row. The number of distinct seating arrangements possible is :  

Detailed Solution for Past Year Paper - Mechanical Engineering GATE : 2021 (Session - 2) - Question 6

Step (1) : Make proper drafting of given information,
1. P and T → end ×
2. 
3. Left end
Step (2) : Make possibilities according to drafting, 

Hence, the correct option is (C). 

Past Year Paper - Mechanical Engineering GATE : 2021 (Session - 2) - Question 7

The world is going through the worst pandemic in the past hundred years. The air travel industry is facing a crisis, as the resulting quarantine requirement for travelers led to weak demand.
In relation to the first sentence above, what does the second sentence do?  

Detailed Solution for Past Year Paper - Mechanical Engineering GATE : 2021 (Session - 2) - Question 7

Second sentence - States an effect of the first sentence.

Past Year Paper - Mechanical Engineering GATE : 2021 (Session - 2) - Question 8

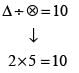
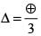
If ⊕÷ Θ = 2, ⊕ ÷Δ = 3,Θ + Δ = 5, Δ × ⊗ = 10 then the value of (⊗ - ⊕)2 is 

Detailed Solution for Past Year Paper - Mechanical Engineering GATE : 2021 (Session - 2) - Question 8

By given information we can conclude  and 
Put these values on Θ + Δ = 5
We get, 

5⊕ = 30
⊕ =  6
By equation, 

By equation, 

So, that
(⊗ − ⊕)2
(5 −6)2 = 1
Hence, the correct option is (B).

Past Year Paper - Mechanical Engineering GATE : 2021 (Session - 2) - Question 9

A digital watch X beeps every 30 secs while watch Y beeps 32 seconds. They beeped together at 10 AM. The immediate next time that they will beep together is _______.  

Detailed Solution for Past Year Paper - Mechanical Engineering GATE : 2021 (Session - 2) - Question 9

x → 30 sec/beep
y → 32 sec/beep
Take L.C.M. of limiting of x and y we get → 480 sec
Convert this to minute → 480/60 sec = 8 min
Earlier they beeped together at 10 am
Next they will beeped at 10 : 00 + 00 : 08 m
Hence, the correct option is (D). 

Past Year Paper - Mechanical Engineering GATE : 2021 (Session - 2) - Question 10

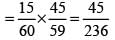
A box contains 15 blue balls and 45 black balls. If 2 balls are selected randomly, without replacement, the probability of an outcome in which the first selected is a blue ball and the second selected is a black ball, is ___________.  

Detailed Solution for Past Year Paper - Mechanical Engineering GATE : 2021 (Session - 2) - Question 10

Given : Blue ball = 15, black ball = 45 
Total ball = 60 
Probability that the outcome in which the first selected is a blue ball and the second selected is a black ball

Hence, the correct option is (B).

*Answer can only contain numeric values
Past Year Paper - Mechanical Engineering GATE : 2021 (Session - 2) - Question 11

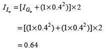
The wheels and axle system lying on a rough surface is shown in the figure. Each wheel has diameter 0.8 m and mass 1 kg. Assume that the mass of the wheel is concentrated at rim and neglect the mass of spokes. The diameter of axle is  0.2 m and its mass is 1.5 kg. Neglect the moment of Inertia of axle and assume g = 9.81 m/s2 . An effort of 10 N is applied on the axle in the horizontal direction shown at mid span of the axle. Assume that the wheels move on a horizontal surface without slip. The acceleration of the wheel the axle system in horizontal direction is _______ m/s2 (round off to one decimal place). 


Detailed Solution for Past Year Paper - Mechanical Engineering GATE : 2021 (Session - 2) - Question 11




= 0.24
II = 0.64+ 0.24 = 0.88

10 × 0.3= 0.88α
α = 3.4091
a = 3.4091× 0.4 = 1.36 m/s2

Past Year Paper - Mechanical Engineering GATE : 2021 (Session - 2) - Question 12

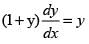
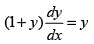
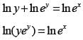
Consider the following differential equation . The solution of the equation that satisfies the 
condition y (1) = 1 is 

Detailed Solution for Past Year Paper - Mechanical Engineering GATE : 2021 (Session - 2) - Question 12


y (1) = 1

ln y +y= x + c
0 +1= 1 + c    [∵y(1) = 1]
c = 0
ln y + y= x

yey = ex
Hence, the correct option is (A).

*Answer can only contain numeric values
Past Year Paper - Mechanical Engineering GATE : 2021 (Session - 2) - Question 13

A rigid tank of volume 50 m3 contains a pure substance as a saturated liquid vapour mixture at 400 kPa. Of the total mass of the mixture, 20% mass is liquid and 80% mass is vapour. Properties at 400 kPa are : Saturation temperature, Tsat = 143.61oC; Specific volume of Saturated liquid, vf = 0.001084 m3 /kg; Specific volume of saturated vapour, vg = 0.46242m3/kg . The total mass of liquid vapour mixture in the tank is _______ kg (round off to the nearest integer).


Detailed Solution for Past Year Paper - Mechanical Engineering GATE : 2021 (Session - 2) - Question 13

Given : V = 50 m3 , P = 400 kPa
Liquid = 20 % , Vapor = 80%

vf = 0.001084 m3 / kg
vg = 0.46242 m3 /kg
v = vf + x(vg − vf)
v = 0.001084+ 0.8 (0.46242 − 0.001084)
v = 0.37015 m3 / kg
v = V/m

= 135.8kg

Past Year Paper - Mechanical Engineering GATE : 2021 (Session - 2) - Question 14

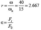
A machine of mass 100 kg is subjected to an external harmonic force with a frequency of 40 rad/s. The designer decides to mount the machine on an isolator to reduce the force transmitted to the foundation. The isolator can be considered as a combination of stiffness ( K) and damper (damping factor, ξ ) in parallel. The designer has the following four isolators:
1. K = 640 kN/m, ξ = 0.70
2. K = 640 kN/m, ξ = 0.07
3. K = 22.5 kN/m, ξ = 0.70
4. K = 22.5 kN/m, ξ = 0.07
Arrange the isolators in the ascending order of the force transmitted to the foundation. 

Detailed Solution for Past Year Paper - Mechanical Engineering GATE : 2021 (Session - 2) - Question 14

For k = 640000 N/m

For k = 22500 N/m


Since ∈∝ Ft . So, if Ft ↓ that means∈↓ .


From figure : 
4 < ∈3 < ∈1 < ∈2
4 < 3 < 1 < 2
Hence, the correct option is (A). 

*Answer can only contain numeric values
Past Year Paper - Mechanical Engineering GATE : 2021 (Session - 2) - Question 15

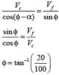
In a pure orthogonal turning by a zero rake angle single point carbide cutting tool the shear force has been computed to be 400 N. If the cutting velocity 100 m/min Vc = , depth of cut t = 2.0 mm , feed S0 = 0.1 mm/revolution and chip flow velocity Vf = 20 m/min , then the shear strength τs of the material will be _______ MPa.(round off to two decimal places). 


Detailed Solution for Past Year Paper - Mechanical Engineering GATE : 2021 (Session - 2) - Question 15

Given : α = 0
Fs = 400 N
Cutting velocity (Vc) 100 m/min
Depth of cut = 2 mm = width of cut (b)
Chip velocity Vf =  20 m/min
Feed S0 = 0.1 mm/rev = uncut chip thickness


φ = 11.3o
So,

*Answer can only contain numeric values
Past Year Paper - Mechanical Engineering GATE : 2021 (Session - 2) - Question 16

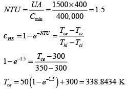
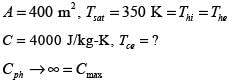
A shell and tube heat exchange is used as a steam condenser. Coolant water inters the tube at 300 K and at a rate of 100 kg/s. The overall heat transfer coefficient is 1500 W/m2K and total heat transfer area is 400 m2 . Steam condenses at a saturation temperature of 350 K. Assume that the specific heat of coolant water is 4000 J/kgK. The temperature of the coolant water coming out of the condenser is _______ K (round off to the nearest integer)


Detailed Solution for Past Year Paper - Mechanical Engineering GATE : 2021 (Session - 2) - Question 16

Given :


Cmin = 100× 4000 = 400, 000

Past Year Paper - Mechanical Engineering GATE : 2021 (Session - 2) - Question 17

Consider the mechanism shown in the figure. There is a rolling contact without slip between the disc and ground. 

Select the correct statement about instantaneous centers in the mechanism.

Detailed Solution for Past Year Paper - Mechanical Engineering GATE : 2021 (Session - 2) - Question 17


Hence, the correct option is (D).

*Answer can only contain numeric values
Past Year Paper - Mechanical Engineering GATE : 2021 (Session - 2) - Question 18

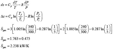
An adiabatic vortex tube, shown in the figure given below is supplied with 5 kg/s of air (inlet 1) at 500 kPa and 300 K. Two separate streams of air are leaving the device from outlets 2 and 3. Hot air leaves the device at a rate of 3 kg/s from outlet 2 at 100 kPa and 340 K, while 2 kg/s of cold air stream is leaving the device from outlet 3 at 100 kPa and 240 K. 

Consider constant specific heat of air is 1005J/kgK and gas constant is 287J/kgK. There is no work transfer across the boundary of this device. The rate of entropy generation is _____ kW/K (round off to one decimal place). 


Detailed Solution for Past Year Paper - Mechanical Engineering GATE : 2021 (Session - 2) - Question 18

Given :  

For an open system,

Tds = dh− vdp

*Answer can only contain numeric values
Past Year Paper - Mechanical Engineering GATE : 2021 (Session - 2) - Question 19

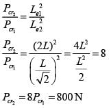
A column with one end fixed and one end free has a critical buckling load of 100 N. For the same column if free end is replaced with a pinned end then critical buckling load will be ______ N (round off to the nearest integer). 


Detailed Solution for Past Year Paper - Mechanical Engineering GATE : 2021 (Session - 2) - Question 19

Given: Pcr1 = 100 N

Past Year Paper - Mechanical Engineering GATE : 2021 (Session - 2) - Question 20

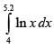
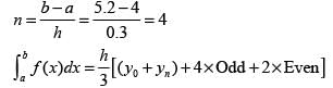
Value of  using Simpson’s one third rule with interval size 0.3 is  

Detailed Solution for Past Year Paper - Mechanical Engineering GATE : 2021 (Session - 2) - Question 20


h = 0.3



= 1.8277
Hence, the correct option is (A).

Past Year Paper - Mechanical Engineering GATE : 2021 (Session - 2) - Question 21

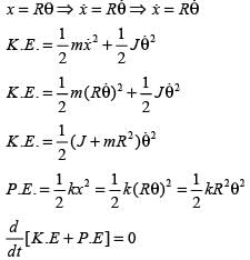
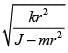
Consider the system shown in figure A rope goes over a pulley. A mass, m is hanging from rope. A spring of stiffness, k is attached at one end of rope. Assume rope is inextensible, massless and there is no slip between pulley and rope. The pulley radius is r and its mass moment of inertia is J. Assume that the mass is vibrating harmonically about its static equilibrium position. The natural frequency of the system is 

Detailed Solution for Past Year Paper - Mechanical Engineering GATE : 2021 (Session - 2) - Question 21




Hence, the correct option is (C).

Past Year Paper - Mechanical Engineering GATE : 2021 (Session - 2) - Question 22

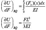
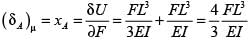
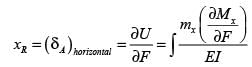
A plane frame PQR (fixed at P and free at R) is shown in the figure. Both member (PQ and QR) have length L, and flexural rigidity EI. Neglecting the effect of axial stress and transverse shear, the horizontal deflection at free end R, is

Detailed Solution for Past Year Paper - Mechanical Engineering GATE : 2021 (Session - 2) - Question 22



RQ portion : 


QP portion :

(Neglecting axial stress effect) 


Hence, the correct option is (C).

*Answer can only contain numeric values
Past Year Paper - Mechanical Engineering GATE : 2021 (Session - 2) - Question 23

An object is moving with a mach number of 0.6 in an ideal gas environment, which is at a temperature of 350 K. The gas constant is 320 J/kgK and ratio of specific heats is 1.3. The speed of object is _______ m/s. (Round off to the nearest integer).


Detailed Solution for Past Year Paper - Mechanical Engineering GATE : 2021 (Session - 2) - Question 23

Given : M = 0.6 , T = 350 K , R = 320 J/kg-K , γ = 1.3 and V = ?
M = V/C

(For an ideal gas)

V = 228.94 m/sec

Past Year Paper - Mechanical Engineering GATE : 2021 (Session - 2) - Question 24

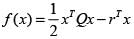
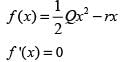
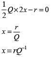
Let the superscript T represents the transpose operation. Consider the function ,  where x & r are n × 1 vectors and Q is a symmetric n × n Metrix. The stationary point of  f (x) is

Detailed Solution for Past Year Paper - Mechanical Engineering GATE : 2021 (Session - 2) - Question 24

Given : T → Transpose 

r, x → n × 1
Q → n × n
Consider, n = 1


Hence, the correct option is (C). 

Past Year Paper - Mechanical Engineering GATE : 2021 (Session - 2) - Question 25

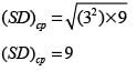
A PERT network has 9 activities on its critical path. The standard deviation of each activity on critical path is 3. The standard deviation of critical path is_________.

Detailed Solution for Past Year Paper - Mechanical Engineering GATE : 2021 (Session - 2) - Question 25

Activities along critical path = 9
Standard deviation of each activity is 3
SD along critical path = 

Hence, the correct option is (D). 

Past Year Paper - Mechanical Engineering GATE : 2021 (Session - 2) - Question 26

In forced convective heat transfer Stanton number (St), Nusselt number (Nu), Reynolds number (Re) and Prandtl number (Pr) are related as

Detailed Solution for Past Year Paper - Mechanical Engineering GATE : 2021 (Session - 2) - Question 26

Stanton number is given by 

Hence correct option is (A). 

*Answer can only contain numeric values
Past Year Paper - Mechanical Engineering GATE : 2021 (Session - 2) - Question 27

The thickness, width and length of a metals slab are 50 mm., 250 mm. and 3600 mm. respectively. A rolling operation on this slab reduces the thickness by 10% and increases the width by 3%. The length of the rolled slab is ______ mm (round off to one decimal place). 


Detailed Solution for Past Year Paper - Mechanical Engineering GATE : 2021 (Session - 2) - Question 27

Given : h0 = 50 mm , w0 = 250 mm
L0 = 3600 mH , hf = 0.9h0 and wf = 1.03w0
So,  h0w0 L0 = hf wf Lf
h0w0 L0 = 0.9h0×1.03w0 × Lf
 ⇒ 
= 3883.49 mm

*Answer can only contain numeric values
Past Year Paper - Mechanical Engineering GATE : 2021 (Session - 2) - Question 28

The figure shows the relationship between fatigue strength  (S) and fatigue life (N) of a material. The fatigue strength of the material for a life of 1000 cycles is 450 MPa, while its fatigue strength for a life of 106 cycles is 150 MPa. 

The life of a cylinder shaft made of this material subjected to an alternating stress of 200 MPa will then be _______ cycles (round off to the nearest integer). 


Detailed Solution for Past Year Paper - Mechanical Engineering GATE : 2021 (Session - 2) - Question 28



x = 5.214421
log N = 5.214421
N = 163840.58 cycle
N ≈ 163840 cycles

Past Year Paper - Mechanical Engineering GATE : 2021 (Session - 2) - Question 29

The size distribution of powder particles used in Powder Metallurgy process can be determined by  

Detailed Solution for Past Year Paper - Mechanical Engineering GATE : 2021 (Session - 2) - Question 29

The size distribution of powder particles used in powder metallurgy process can be determined by laser scattering.
Hence, the correct option is (D). 

*Answer can only contain numeric values
Past Year Paper - Mechanical Engineering GATE : 2021 (Session - 2) - Question 30

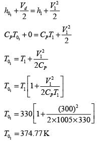
Consider adiabatic flow of air through a duct. At a given point in the duct, velocity of air is 300 m/s, temperature is 330K and pressure is 180 kPa. Assume that the air behaves as a perfect gas with constant Cp = 1.005 kJ/kgK . The stagnation temperature at this point is ________ K (round off to two decimal places). 


Detailed Solution for Past Year Paper - Mechanical Engineering GATE : 2021 (Session - 2) - Question 30

Given : V = 300 m/sec , P = 180 kPa , T1 = 330K
CP = 1.005 kJ/kgk and CP = 1.005 kJ/kgk

View more questions
Information about Past Year Paper - Mechanical Engineering GATE : 2021 (Session - 2) Page
In this test you can find the Exam questions for Past Year Paper - Mechanical Engineering GATE : 2021 (Session - 2) solved & explained in the simplest way possible. Besides giving Questions and answers for Past Year Paper - Mechanical Engineering GATE : 2021 (Session - 2), EduRev gives you an ample number of Online tests for practice
Download as PDF