Civil Engineering (CE) Exam  >  Civil Engineering (CE) Tests  >  Practice Test: Gate Civil Engineering(CE) 2022 Paper: (Session II) - Civil Engineering (CE) MCQ

Practice Test: Gate Civil Engineering(CE) 2022 Paper: (Session II) - Civil Engineering (CE) MCQ


Test Description

30 Questions MCQ Test - Practice Test: Gate Civil Engineering(CE) 2022 Paper: (Session II)

Practice Test: Gate Civil Engineering(CE) 2022 Paper: (Session II) for Civil Engineering (CE) 2025 is part of Civil Engineering (CE) preparation. The Practice Test: Gate Civil Engineering(CE) 2022 Paper: (Session II) questions and answers have been prepared according to the Civil Engineering (CE) exam syllabus.The Practice Test: Gate Civil Engineering(CE) 2022 Paper: (Session II) MCQs are made for Civil Engineering (CE) 2025 Exam. Find important definitions, questions, notes, meanings, examples, exercises, MCQs and online tests for Practice Test: Gate Civil Engineering(CE) 2022 Paper: (Session II) below.
Solutions of Practice Test: Gate Civil Engineering(CE) 2022 Paper: (Session II) questions in English are available as part of our course for Civil Engineering (CE) & Practice Test: Gate Civil Engineering(CE) 2022 Paper: (Session II) solutions in Hindi for Civil Engineering (CE) course. Download more important topics, notes, lectures and mock test series for Civil Engineering (CE) Exam by signing up for free. Attempt Practice Test: Gate Civil Engineering(CE) 2022 Paper: (Session II) | 65 questions in 180 minutes | Mock test for Civil Engineering (CE) preparation | Free important questions MCQ to study for Civil Engineering (CE) Exam | Download free PDF with solutions
Practice Test: Gate Civil Engineering(CE) 2022 Paper: (Session II) - Question 1

The movie was funny and I _______ .

Detailed Solution for Practice Test: Gate Civil Engineering(CE) 2022 Paper: (Session II) - Question 1

The movies was funny and I couldn’t help laughing. i.e. movie was so funny that the person couldn’t control his/her laugh.

Practice Test: Gate Civil Engineering(CE) 2022 Paper: (Session II) - Question 2


For the picture shown above, which one of the following is the correct picture representing reflection with respect to the mirror shown as the dotted line?

Practice Test: Gate Civil Engineering(CE) 2022 Paper: (Session II) - Question 3

An ant walks in a straight line on a plane leaving behind a trace of its movement. The initial position of the ant is at point P facing East.
The ant first turns 72° anticlockwise at P, and then does the following two steps in sequence exactly FIVE times before halting.

1. moves forward for 10 cm.
2. turns 144° clockwise
The pattern made by the trace left behind by the ant is

Detailed Solution for Practice Test: Gate Civil Engineering(CE) 2022 Paper: (Session II) - Question 3


and    PS = SQ = QT = TR = RP = 10 cm

Practice Test: Gate Civil Engineering(CE) 2022 Paper: (Session II) - Question 4

In a partnership business the monthly investment by three friends for the first six months is m the ratio 3 :4 : 5. After six months, they had to increase their monthly investments by 10%, 15% and 20%, respectively, of then initial monthly investment. The new investment ratio was kept constant for the next six months.
What is the ratio of their shares in the total profit (m the same order) at the end of the year such that the share is proportional to their individual total investment over the year? 

Detailed Solution for Practice Test: Gate Civil Engineering(CE) 2022 Paper: (Session II) - Question 4


Given, ratio of initial investment of friends P, Q, R is 3 : 4 : 5 respectively.
Ratio, after increment in investment of P, Q, R.
P increase the investment by 5%.
Q increase the investment by 10%
R increase the investment by 20%
i.e. 3 + (3 x 1.1) : 4 + (4 x 1.5) : 5 + (5 x 1.2)
= 6.3 : 8.6 : 11 
= 63 : 86 : 110

Practice Test: Gate Civil Engineering(CE) 2022 Paper: (Session II) - Question 5

A survey of 450 students about their subjects of interest resulted in the following outcome.

  • 150 students are interested m Mathematics.
  • 200 students are interested in Physics.
  • 175 students are interested in Chemistry.
  • 50 students are interested in Mathematics and Physics.
  • 60 students are interested in Physics and Chemistry
  • 40 students are interested in Mathematics and Chemistry.
  • 30 students are interested in Mathematics, Physics and Chemistry.
  • Remaining students are interested in Humanities.

Based on the above information, the number of students interested in Humanities is 

Detailed Solution for Practice Test: Gate Civil Engineering(CE) 2022 Paper: (Session II) - Question 5


T = n(M uP uC ) + x
450 = [(150 + 200 + 175) - (50 + 60 + 40) + 30] + x
x = 45

Practice Test: Gate Civil Engineering(CE) 2022 Paper: (Session II) - Question 6

x : y : z = 1/2 : 1/3 : 1/4
What is the value of 

Detailed Solution for Practice Test: Gate Civil Engineering(CE) 2022 Paper: (Session II) - Question 6

Given: x : y : z = 1/2 : 1/3 : 1/4 = 6 : 4 : 3
As we need to find ratio of (x + y + z) to y, so directly x, y, z values can be taken as 
x = 6, y = 4 , z = 3
∴ The value of  

Practice Test: Gate Civil Engineering(CE) 2022 Paper: (Session II) - Question 7

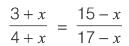
Both the numerator and the denominator of 3/4 are increased by a positive 15/17 integer, x, and those of — are decreased by the same integer. This operation results m the same value for both the fractions. What is the value of x?

Detailed Solution for Practice Test: Gate Civil Engineering(CE) 2022 Paper: (Session II) - Question 7

Let’s take the intger as x.
Now as per given statement,

By solving for x = 3

Practice Test: Gate Civil Engineering(CE) 2022 Paper: (Session II) - Question 8

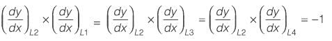
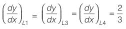
Consider the following equations of straight lines:
Line L1 : 2x - 3y = 5
Line L2 : 3x + 2y = 8
Line L3 : Ax - 6y = 5
Line L4 : 6x - 9y = 6
Which one of the following is the correct statement?

Detailed Solution for Practice Test: Gate Civil Engineering(CE) 2022 Paper: (Session II) - Question 8

Line L1 : 2x - 3y = 5 

Line L2 : 3x + 2y = 8 

Line L3 : 4x - 6y = 5 

Line L4 : 6x - 9y = 6 

∴ 
and 
∴ L1, L3, L4 are parallel to each other and perpendicular to L2.

Practice Test: Gate Civil Engineering(CE) 2022 Paper: (Session II) - Question 9

In the last few years, several new shopping malls were opened in the city. The total number of visitors in the malls is impressive. However, the total revenue generated through sales in the shops in these malls is generally low.
Which one of the following is the CORRECT logical inference based on the information in the above passage? 

Practice Test: Gate Civil Engineering(CE) 2022 Paper: (Session II) - Question 10

Given below are two statements and four conclusions drawn based on the statements.
Statement 1: Some soaps are clean.
Statement 2: All clean objects are wet.
Conclusion I: Some clean objects are soaps.
Conclusion II: No clean object is a soap.
Conclusion III: Some wet objects are soaps.
Conclusion IV: All wet objects are soaps.
Which one of the following options can be logically inferred?

Detailed Solution for Practice Test: Gate Civil Engineering(CE) 2022 Paper: (Session II) - Question 10

Statement 1: Vane diagram

Statement 2: Vane diagram

From the above vane diagram we can conculate that conclusion I and conclusion III are correct and conclusion II and IV are in correct.

Practice Test: Gate Civil Engineering(CE) 2022 Paper: (Session II) - Question 11

A 100 mg of HNO3 (strong acid) is added to water, bringing the final volume to 1.0 liter. Consider the atomic weights of H, N, and O, as 1 g/mol. 14 g mol. and 16 g/mol, respectively. The final pH of this water is (Ignore the dissociation of water.)

Detailed Solution for Practice Test: Gate Civil Engineering(CE) 2022 Paper: (Session II) - Question 11

HNO3 → H++ NO3-     {Molecular mass HNO3 = 63g}
1 mole of HNO3 produces 1 mole of H+ means, 64g of HNO3 produce 1 g of H+
∴ 100 mg of HNO3 will produce

 = 1.587 x 10-3 g of H+ in 1 lit
pH = -log10[H+]
= -log10 [1.587 x 10-3]
= 2.8

Practice Test: Gate Civil Engineering(CE) 2022 Paper: (Session II) - Question 12

Match the following in Column X with Column Y:

Which one of the following combinations is correct?

Detailed Solution for Practice Test: Gate Civil Engineering(CE) 2022 Paper: (Session II) - Question 12

(P) 

(Q) 

(R) Skempton parameter B value for saturated cohesive soil is 1.
(S) For clay, Nq = 1, Nc = 5.7 and Nr = 0 (∵ ϕ  = 0)

Practice Test: Gate Civil Engineering(CE) 2022 Paper: (Session II) - Question 13

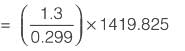
In a city, the chemical formula of biodegradable fraction of municipal solid waste (MSW) is C100H250O80N. The waste has to be treated by forced-aeration composting process for which air requirement has to be estimated.
Assume oxygen in air (by weight) = 23% and density of air = 1.3 kg/m3. Atomic mass:
C = 12, H = 1, O = 16, N = 14.
C and H are oxidized completely whereas N is converted only into NH3 during oxidation.
For oxidative degradation of 1 tonne of the waste, the required theoretical volume of air (in m3/tonne) will be (round off the nearest integer)

Detailed Solution for Practice Test: Gate Civil Engineering(CE) 2022 Paper: (Session II) - Question 13


∴ if 1 tonne (or 1000 kg) of waste is present,

Now, 1.3 kg of air contains = 0.23 x 1.3 kg = 0.299kg of oxygen
∴ 1419.825 kg of oxygen will be contained 
= 6173.152 kg of air
Volume of air =  = 4748.57 m3  

*Multiple options can be correct
Practice Test: Gate Civil Engineering(CE) 2022 Paper: (Session II) - Question 14

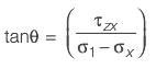
Let y be a non-zero vector of size 2022 x 1. Which of the following statement(s) is/are TRUE?

Detailed Solution for Practice Test: Gate Civil Engineering(CE) 2022 Paper: (Session II) - Question 14

Let, 

Here, Rank of matrix ρ(y) = ρ(yT) = ρ(yyT) = ρ(yTy) = 1
Eigen value of yyT = 3, 0, 0
Here, yTy is eigen value of yyT i.e. 3.

  • yyT is symmetrical matrix.
  • ∵ Determinant of yyT is zero.
    ∴ A-1 will not exist.
  • Rank of yyT is 1.
*Answer can only contain numeric values
Practice Test: Gate Civil Engineering(CE) 2022 Paper: (Session II) - Question 15

A pair of six-faced dice is rolled twice, The probability that the sum of the outcomes in each roll equals 4 in exactly two of the three attempts i s _____ (round off to three decimal places).


Detailed Solution for Practice Test: Gate Civil Engineering(CE) 2022 Paper: (Session II) - Question 15

A = {( 1, 3), (3, 1), (2, 2)}
P(A) = 3/36 = 1/12
 = 11/12
Required probability 

*Answer can only contain numeric values
Practice Test: Gate Civil Engineering(CE) 2022 Paper: (Session II) - Question 16

A saturated compressible clay layer of thickness h is sandwiched between two sand layers, as shown in the figure. Initially, the total vertical stress and pore water pressure at point P. which is located at the mid-depth of the clay layer were 150 kPa and 25 kPa. respectively. Construction of a building caused an additional total vertical stress of 100 kPa at P. When the vertical effective stress at P is 175 kPa. the percentage of consolidation in The clay layer at P i s _________. (in integer)


Detailed Solution for Practice Test: Gate Civil Engineering(CE) 2022 Paper: (Session II) - Question 16

We know degree of consolidation,

Ui = initial excess pore water pressure i.e. 100 kPa
Initial total stress, σ = 150 kPa
Initial effective stress, σ'0 = σ - u =150 - 25 = 125 kPa
Total stress after construction of building = 150 + 100 = 250 kPa
When the vertical effective stress at P is 175 kPa, the change in effective stress is 175 - 125 = 50 kPa, so during this, the change in pore water pressure is
∴ Δσ = Δσ' + Δu
∴  (250 - 150) = (175 - 125) + Δu
∴  Δu = 50 kPa
∴  

Practice Test: Gate Civil Engineering(CE) 2022 Paper: (Session II) - Question 17

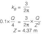
A single-lane highway has a traffic density of 40 vehicles km If the time-mean speed and space-mean speed are 40 kmph and 30 kmph, respectively, the average headway (in seconds) between the vehicles is

Detailed Solution for Practice Test: Gate Civil Engineering(CE) 2022 Paper: (Session II) - Question 17

q = kV
q = Flow of traffic (veh/m)
V = Space mean speed of vehicle
k = Density of traffic (veh/km)
∴  q = 40 x 30 = 1200 veh/hr
∴ q = 3600/ht1   
∴ ht = 3 sec.  (time headway)

Practice Test: Gate Civil Engineering(CE) 2022 Paper: (Session II) - Question 18

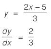
Consider the polynomial f[x) = x3 - 6x2 + 11x - 6 on the domain S, given by 1 ≤ x ≤ 3. The first and second derivatives are f(x) and f'{x).
Consider the following statements:
I. The given polynomial is zero at the boundary points x = 1 and x = 3.
II. There exists one local maxima of f{x) within the domain S.
III. The second derivative f"(x) > 0 throughout the domains S.
IV. There exists one local minima f(x) within the domain S.

Detailed Solution for Practice Test: Gate Civil Engineering(CE) 2022 Paper: (Session II) - Question 18

Given: f{x) = x3 - 6x2 + 11x  - 6
= (x - 1) (x - 2) (x - 3)     ...... (i)

  • At x = 1 and x = 3 f(x) = 0
    ∴ Statement 1 is correct
    f' (x) = 3x3 - 12x2 + 11
    f '(x) = 6x - 12 = 6 (x - 2)
  • Now, f'(x) < 0, if x < 2. This is condition for maxima which is, within the domin S.
  • Now, f '(x) > 0, if x > 2. This is condition for minima which is, within the domin S.
  • But, f'(x) is not greater than zero throughout the domains S.
*Answer can only contain numeric values
Practice Test: Gate Civil Engineering(CE) 2022 Paper: (Session II) - Question 19

The lane configuration with lane volumes in vehicles per hour of a four-arm signalized intersection is shown in the figure. There are only two phases: the first phase is for the East-West and the West-East through movements, and the second phase is for the North- South and the South-North through movements. There are no turning movements. Assume that the saturation flow is 1800 vehicles per hour per lane for each lane and the total lost time for the first and the second phases together is 9 seconds.

The optim um cycle length (in second), as per the W ebster’s method, is _____ . (round off to the nearest integer).


Detailed Solution for Practice Test: Gate Civil Engineering(CE) 2022 Paper: (Session II) - Question 19



Average flow over lane A and B.
qA = max.(504, 460) = 504 veh.
qB = max.(360, 396) = 396 veh.
Saturation flow over lane A and B.
Given, SA = SB = 1800 veh/hr
Y = yA + yB  

Los time = 9s (given)
∴ 

*Answer can only contain numeric values
Practice Test: Gate Civil Engineering(CE) 2022 Paper: (Session II) - Question 20

Assuming that traffic on a highway obeys the Greenshields model, the speed of a shockwave between two traffic streams (P) and (Q) as shown in the schematic is _______ kmph. (in integer)


Detailed Solution for Practice Test: Gate Civil Engineering(CE) 2022 Paper: (Session II) - Question 20

qp = 1200 veh/hr
Vp = 60 kmph
kp = q/v = 1200/60 = 20 veh/km
Similarly, qQ = 1800 veh/hr
VQ = 30 kmph
∴ kQ = q/v = 1800/30 = 60 veh/km

Speed of shock wave (PQ) is, slope of line PQ,
Speed of shock wave 

*Answer can only contain numeric values
Practice Test: Gate Civil Engineering(CE) 2022 Paper: (Session II) - Question 21

A sewage treatment plant receives sewage at a flow rate of 5000 m3/day. The total suspended solids (TSS) concentration in the sewage at the inlet of primary clarifier is 200 mg/L. After the primary treatment, the TSS concentration in sewage is reduced by 60 %. The sludge from the primary clarifier contains 2 % solids concentration. Subsequently, the sludge is subjected to gravity thickening process to achieve a solids concentration of 6%. Assume that the density of sludge, before and after thickening, is 1000 kg/m3.
The daily volume of the thickened sludge (in m3 /day) will be_________. (round off to the nearest integer)


Detailed Solution for Practice Test: Gate Civil Engineering(CE) 2022 Paper: (Session II) - Question 21


Solid content in thickener

i.e., 6% of total mass of sludge
∴ Total mass of sludge 

∴ Volume of sludge  

*Answer can only contain numeric values
Practice Test: Gate Civil Engineering(CE) 2022 Paper: (Session II) - Question 22

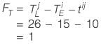
The activities of a project are given in the following table along with their durations and dependency.

The total float of the activity E (in day) is _____ . (in integer)


Detailed Solution for Practice Test: Gate Civil Engineering(CE) 2022 Paper: (Session II) - Question 22



or
FT = LST - EST 
= 16 - 15 = 1 
FT = LFT - EFT 
= 26 - 25 = 1

Practice Test: Gate Civil Engineering(CE) 2022 Paper: (Session II) - Question 23

If the magnetic bearing of the Sun at a place at noon is S 2° E. the magnetic declination (in degrees) at that place is

Detailed Solution for Practice Test: Gate Civil Engineering(CE) 2022 Paper: (Session II) - Question 23

Magnetic bearing (MB) of Sun in WCB = 178°.
True bearing (TB) of Sun in WCB at noon must be 180°.
MB + δ = TB
178° + δ = 180°
δ = 2°
∵ Declination (δ) is found to be positive so it is East declination of 2° i.e. 2°E.

*Answer can only contain numeric values
Practice Test: Gate Civil Engineering(CE) 2022 Paper: (Session II) - Question 24

Consider two linearly elastic rods HI and IJ. each of length b, as shown in the figure. The rods are co-linear, and confined between two fixed supports at if and J. Both the rods are initially stress free, The coefficient of linear thermal expansion is a for both the rods. The temperature of the rod IJ is raised by ΔT. whereas the temperature of rod HI remains unchanged. An external horizontal force P is now applied at node l. It is given that a = 10-6 °C-1, ΔT = 50° C, b = 2m, AE = 106N. The axial rigidities of the rods HI and U are 2 AE and AE, respectively.

To make the axial force in rod HI equal to zero, the value of the external force P (in N) is _______. (rounded off to the nearest integer).


Detailed Solution for Practice Test: Gate Civil Engineering(CE) 2022 Paper: (Session II) - Question 24


RA + RB = P
∵ There is no axial force in rod HI (∴ RA = 0)
Now check for rod IJ

∴ RB = P
Now as rod IJ is fixed from both end, so net deflection due to increase in temperature will be zero.


P = AEaT
∴ P = 106 x 10-6 x 50
P = 50 N

Practice Test: Gate Civil Engineering(CE) 2022 Paper: (Session II) - Question 25

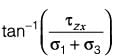
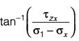
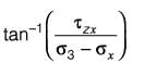
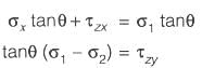
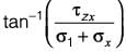
Stresses acting on an infinitesimal soil element are shown in the figure (with σz > σx).
The major and minor principal stresses are σ1 and σ3, respectively. Considering the compressive stresses as positive, which one of the following expressions correctly represents the angle between the major principal stress plane and the horizontal plane?

Detailed Solution for Practice Test: Gate Civil Engineering(CE) 2022 Paper: (Session II) - Question 25

X = 0


Practice Test: Gate Civil Engineering(CE) 2022 Paper: (Session II) - Question 26

Match the following attributes of a city with the appropriate scale of measurements.

Which one of the following combinations is correct?

Detailed Solution for Practice Test: Gate Civil Engineering(CE) 2022 Paper: (Session II) - Question 26
  • Nominal data are a type of categorical data; that is, they are used to represent named quality.
  • Ordinal data are a type of categorical data. That is they are used to represent named qualities of things, so that they can be sorted in order in their rank.
  • Interval data are a type of categorical data. That is, they represent measured quantities of things.
  • Ratio data are a type of categorical data that is, they represent measured quantity of things.
*Answer can only contain numeric values
Practice Test: Gate Civil Engineering(CE) 2022 Paper: (Session II) - Question 27

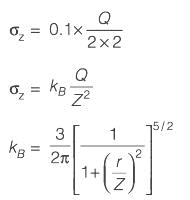
A concentrically loaded isolated square footing of size 2 m x 2 m carries a concentrated vertical load of 1000 kN. Considering Boussinesq's theory of stress distribution, the maximum depth (in m) of the pressure bulb corresponding to 10 % of the vertical load intensity will b e ___________. (round off to two decimal all places)


Detailed Solution for Practice Test: Gate Civil Engineering(CE) 2022 Paper: (Session II) - Question 27


For maximum depth,  r = 0

*Answer can only contain numeric values
Practice Test: Gate Civil Engineering(CE) 2022 Paper: (Session II) - Question 28

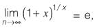
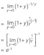
A flood control structure having an expected life of n years is designed by considering a flood of return period T years. When T = n, and n → ∞ the structure’s hydrologic risk of failure in percentage is ______. (rounded off to one decimal place)


Detailed Solution for Practice Test: Gate Civil Engineering(CE) 2022 Paper: (Session II) - Question 28

R = 1 - qn∴
⇒  R = 1 - (1 - P)n 

Given than  T = n and n → ∞
⇒ 
⇒      ...(i) 
We know that 

So let's take -1/n = y
∴ n = -1/y 
at n = ∞ ; y = 0


Put in eq. (i) 
∴ R = 1  - e-1 

R = 0.6321 i.e. 63.2%

Practice Test: Gate Civil Engineering(CE) 2022 Paper: (Session II) - Question 29

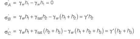
A soil sample is underlying a water column of height h1, as shown in the figure. The vertical effective stresses at point A, B and C are σ'A , s'B, and S'C respectively. Let Ysat and Yw be the saturated and submerged unit weights of the soil sample, respectively and yw be the unit weight of water. Which one of the following expressions correctly represents the sum (σ'A + σ'B, + σ'C) ?

Detailed Solution for Practice Test: Gate Civil Engineering(CE) 2022 Paper: (Session II) - Question 29


∴ σ'A + σ'B, + σ'C = 0 + γh2 + γ' (h2 + h3)
= γ' [2h2 + h3]

Practice Test: Gate Civil Engineering(CE) 2022 Paper: (Session II) - Question 30

To design an optimum municipal solid waste collection route, which of the following is/ are NOT desired:

View more questions
Information about Practice Test: Gate Civil Engineering(CE) 2022 Paper: (Session II) Page
In this test you can find the Exam questions for Practice Test: Gate Civil Engineering(CE) 2022 Paper: (Session II) solved & explained in the simplest way possible. Besides giving Questions and answers for Practice Test: Gate Civil Engineering(CE) 2022 Paper: (Session II), EduRev gives you an ample number of Online tests for practice
Download as PDF