Quant Exam  >  Quant Tests  >   Quant (Hindi) - MCQ - 17 - Quant MCQ

Quant (Hindi) - MCQ - 17 - Quant MCQ


Test Description

30 Questions MCQ Test - Quant (Hindi) - MCQ - 17

Quant (Hindi) - MCQ - 17 for Quant 2025 is part of Quant preparation. The Quant (Hindi) - MCQ - 17 questions and answers have been prepared according to the Quant exam syllabus.The Quant (Hindi) - MCQ - 17 MCQs are made for Quant 2025 Exam. Find important definitions, questions, notes, meanings, examples, exercises, MCQs and online tests for Quant (Hindi) - MCQ - 17 below.
Solutions of Quant (Hindi) - MCQ - 17 questions in English are available as part of our course for Quant & Quant (Hindi) - MCQ - 17 solutions in Hindi for Quant course. Download more important topics, notes, lectures and mock test series for Quant Exam by signing up for free. Attempt Quant (Hindi) - MCQ - 17 | 30 questions in 60 minutes | Mock test for Quant preparation | Free important questions MCQ to study for Quant Exam | Download free PDF with solutions
Quant (Hindi) - MCQ - 17 - Question 1

निर्देश (1-5): निम्न प्रश्नों में, दो समीकरण हैं| आपको दोनों समीकरण को हल करना है और उत्तर देना है|


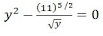
Detailed Solution for Quant (Hindi) - MCQ - 17 - Question 1


Quant (Hindi) - MCQ - 17 - Question 2


Detailed Solution for Quant (Hindi) - MCQ - 17 - Question 2

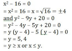
Quant (Hindi) - MCQ - 17 - Question 3

x2 - x - 12 = 0

y2 + 5y + 6 = 0

Detailed Solution for Quant (Hindi) - MCQ - 17 - Question 3


Quant (Hindi) - MCQ - 17 - Question 4

x2 - 8x + 15 = 0

y2 - 3y + 2 = 0

Detailed Solution for Quant (Hindi) - MCQ - 17 - Question 4

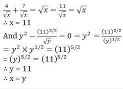
Quant (Hindi) - MCQ - 17 - Question 5

x2 - 16 = 0

y2 - 9y + 20 = 0

Detailed Solution for Quant (Hindi) - MCQ - 17 - Question 5

Quant (Hindi) - MCQ - 17 - Question 6

64.097 – 38.918 + 12.765 = ?

Quant (Hindi) - MCQ - 17 - Question 7

5.085 + 8.005 + 7.015 = 16.005 + ?

Quant (Hindi) - MCQ - 17 - Question 8

1527 + 2727 + ? = 5758

Quant (Hindi) - MCQ - 17 - Question 9

5768 – 3949 + 1344 = ? – 5102

Quant (Hindi) - MCQ - 17 - Question 10

13.25 x 1.5 + ? = 27

Quant (Hindi) - MCQ - 17 - Question 11

दो अंकों के दहाई का अंक उसकी इकाई स्थान का चार गुणा है और अंकों का योग 10 है तो संख्या ज्ञात कीजिये?  

Detailed Solution for Quant (Hindi) - MCQ - 17 - Question 11

82 , let the unit place digit be x and hence the tens place digit will be = 4x ; so 4x + x = 10, x = 2 and tens place digit = 8, number = 82

Quant (Hindi) - MCQ - 17 - Question 12

एक गांव के 60% लोग साक्षर होंगे|साक्षर आबादी में 28% महिलाएं हैं|यदि साक्षर पुरुषों की संख्या 4320 है तो गांव की कुल आबादी कितनी होगी?

Detailed Solution for Quant (Hindi) - MCQ - 17 - Question 12

15000, 72% of men are literate = 4320, so total number of literates are = 6000, 6000 = 40% of total population hence , 100% = 15000

Quant (Hindi) - MCQ - 17 - Question 13

एक आयताकार खेत की चौड़ाई और लम्बाई का अनुपात 2 : 3 है| यदिदीवार बनाने के लागत 2600 रुपए प्रति मीटर है और उसका क्षेत्रफल 1350 वर्ग मीटर है तो दीवार बनाने में आई कुल लागत ज्ञात कीजिये?

Detailed Solution for Quant (Hindi) - MCQ - 17 - Question 13

Rs 52650 ,   45*45*260=53650

Quant (Hindi) - MCQ - 17 - Question 14

एक दुकानदार कुछ वस्तुओं को 35 रुपए प्रति वस्तु बेचता है और उस पर 40%  लाभ कमाता है| 60% लाभ प्राप्त करने के लिए प्रत्येक वस्तु का विक्रय मूल्य क्या होगा?

Detailed Solution for Quant (Hindi) - MCQ - 17 - Question 14

Rs 40 , gain = 40% , C.P. = 100% , So S.P. = 140% = Rs 35, hence C.P. = Rs 25 , to get 60 % profit , S.P. should be 160% hence = Rs 40

Quant (Hindi) - MCQ - 17 - Question 15

एक कॉलेज के कला के छात्रों की संख्या और कॉमर्स के छात्रों की संख्या का अनुपात 5 : 6 है| 1वर्ष बाद, कला के छात्रों की संख्या 10% और कॉमर्स के छात्रों की संख्या 20% कम हो गई| कला और कॉमर्स के छात्रों की संख्या का अनुपात क्या है?

Detailed Solution for Quant (Hindi) - MCQ - 17 - Question 15

15:16 ;Let the number of students in arts faculty be x and in commerce be y ,
So ,x/y=5/6---(1) ;
After 1 year(number of students inArts)/(numberof students in commerce)=(x-10/100 x)/(y-20/100 y)=9x/8y=15∶16

Quant (Hindi) - MCQ - 17 - Question 16

मोनिका, वेरोनिका और रचत एक वृत्ताकार स्टेडियम के आसपास दौड़ना शुरू करते हैं| वे अपना चक्कर क्रमशः 42 सेकंड , 56 सेकंड और 63 सेकंड में पूरा करते हैं| कितने सेकंड में वे सभी आरंभिक बिंदु पर मिलेंगे?

Detailed Solution for Quant (Hindi) - MCQ - 17 - Question 16

Quant (Hindi) - MCQ - 17 - Question 17

एक कमरे के 2 मी 50 सेमी लम्बे और 1 मीटर 50 सेमी चौड़े फर्श पर बने सबसे बड़ी वर्ग स्लैब की भुजा को ज्ञात कीजिए| फर्श पर बने ऐसे कितने स्लैब बन सकते हैं|

Detailed Solution for Quant (Hindi) - MCQ - 17 - Question 17

Quant (Hindi) - MCQ - 17 - Question 18

यदि एक भिन्न के हर में 200% की वृद्धि और भिन्न के हर में 150% की वृद्धि कर दी जाए तो आने वाला भिन्न 9/35 होगा| मूल भिन्न क्या है?

Detailed Solution for Quant (Hindi) - MCQ - 17 - Question 18


Quant (Hindi) - MCQ - 17 - Question 19

A, B, C और D एक 60 रुपए का तोहफा खरीदते हैं| Aअन्य से ½ का भुगतान करता है, B अन्य से 1/3 का भुगतान करता है और C अन्य से 1/4 का भुगतान करता है| D द्वारा कितना भुगतान किया गया?

Detailed Solution for Quant (Hindi) - MCQ - 17 - Question 19



Quant (Hindi) - MCQ - 17 - Question 20

एक परीक्षा को पास करने के लिए 40% अंक लाने आवश्यक हैं| एक उम्मीदवार 200 अंक प्राप्त करता और 8 अंक से असफल हो जाता है| उस परीक्षा के अधिकतम अंक कितने थे?

Detailed Solution for Quant (Hindi) - MCQ - 17 - Question 20

Quant (Hindi) - MCQ - 17 - Question 21

एक पार्क में, कुछ गायें और कुछ बत्तक हैं| यदि पार्क में कुल सिरों की संख्या 68 और उनके पेरों की संख्या 198 है तो पार्क में कितने बत्तक की संख्या ज्ञात करें?

Detailed Solution for Quant (Hindi) - MCQ - 17 - Question 21




Quant (Hindi) - MCQ - 17 - Question 22

एक दो अंकों वाली संख्या के बीच का अंतर और उस संख्या के दो अंकों को आपस में बदलने पर प्राप्त होने वाली संख्या 18 है| संख्या के दो अंकों का योग 12 है| दो अंकों वाली संख्या के अंकों का गुणन क्या है?

Detailed Solution for Quant (Hindi) - MCQ - 17 - Question 22



Quant (Hindi) - MCQ - 17 - Question 23

यदि एक कक्षा में, 75 छात्र हैं और वार्षिक परीक्षा में उनके अंकों का औसत 35 है| यदि उत्तीर्ण छात्रों के अंकों का औसत 55 है और असफल छात्रों के अंकों का औसत 30 है तो असफल हुए छात्रों की संख्या ज्ञात कीजिए?

Detailed Solution for Quant (Hindi) - MCQ - 17 - Question 23

Quant (Hindi) - MCQ - 17 - Question 24

एक उम्मीदवार 25% प्राप्त करता है और 60 अंकों से असफल हो जाता है जबकि एक अन्य उम्मीदवार 50% अंक प्राप्त करता है जो परीक्षा उत्तीर्ण करने के लिए आवश्यक न्यूनतम अंक से 40 अंक अधिक है|परीक्षा में अधिकतम अंक ज्ञात करें?

Detailed Solution for Quant (Hindi) - MCQ - 17 - Question 24


Quant (Hindi) - MCQ - 17 - Question 25

चावल के दाम 6.25% कम हो जाते और इस गिरावट के कारण वंदना 120 रुपए में 1 किलो अधिक चावल खरीद पाती है| चावल के गिरे दाम ज्ञात करें?

Detailed Solution for Quant (Hindi) - MCQ - 17 - Question 25


Quant (Hindi) - MCQ - 17 - Question 26

एक आयताकार फर्श की लम्बाई उसकी चौड़ाई की दुगनी है| यदि फर्श को रंगने के लिए 2 रुपए प्रति वर्ग मीटर की दर से 256 रुपए की आवश्यकता होती है तो फर्श की लम्बाई क्या होगी?

Detailed Solution for Quant (Hindi) - MCQ - 17 - Question 26

Area=256/2=128
x.2x=128
x=8
Length=2X8=16

Quant (Hindi) - MCQ - 17 - Question 27

एक आयताकार खेत, जिसका क्षेत्रफल 300 वर्ग मीटर और चौड़ाई लम्बाई का 3/4 है, खेत के चारों तरफ बने 1.5 मीटर चौड़े बगीचे का क्षेत्रफल(वर्ग मीटर में) क्या होगा? 

Detailed Solution for Quant (Hindi) - MCQ - 17 - Question 27

Let Length=x and breadth=3/4 x
x.3/4x=300
x=20
Area of garden=(20+3)(15+3) - 300
=144 m2

Quant (Hindi) - MCQ - 17 - Question 28

एक वर्ग की परिधि आयत की परिधि की दुगनी हो जाती है यदि आयत का क्षेत्रफल 240 वर्ग सेमी है| वर्ग का क्षेत्रफल क्या है? 

Quant (Hindi) - MCQ - 17 - Question 29

यदि एक ईमारत का प्रति फूट घेराव करने की कीमत 62 रुपए है तो एक वर्गाकार प्लाट जिसका क्षेत्रफल 361 वर्ग फुट है के आसपास घेराव करने में कितनी कीमत लग जाएगी?

Detailed Solution for Quant (Hindi) - MCQ - 17 - Question 29

Length=(361)1/2=19
Required cost=4X19X62=4712

Quant (Hindi) - MCQ - 17 - Question 30

88 सेमी के बराबर परिधि वाले वृत्त का क्षेत्रफल क्या है? 

Detailed Solution for Quant (Hindi) - MCQ - 17 - Question 30

2 pi. r=88
r=14
Area=pi.r2
=22/7X14X14=616

Information about Quant (Hindi) - MCQ - 17 Page
In this test you can find the Exam questions for Quant (Hindi) - MCQ - 17 solved & explained in the simplest way possible. Besides giving Questions and answers for Quant (Hindi) - MCQ - 17, EduRev gives you an ample number of Online tests for practice
Download as PDF