Quant Exam  >  Quant Tests  >   Quant (Hindi) - MCQ - 27 - Quant MCQ

Quant (Hindi) - MCQ - 27 - Quant MCQ


Test Description

30 Questions MCQ Test - Quant (Hindi) - MCQ - 27

Quant (Hindi) - MCQ - 27 for Quant 2025 is part of Quant preparation. The Quant (Hindi) - MCQ - 27 questions and answers have been prepared according to the Quant exam syllabus.The Quant (Hindi) - MCQ - 27 MCQs are made for Quant 2025 Exam. Find important definitions, questions, notes, meanings, examples, exercises, MCQs and online tests for Quant (Hindi) - MCQ - 27 below.
Solutions of Quant (Hindi) - MCQ - 27 questions in English are available as part of our course for Quant & Quant (Hindi) - MCQ - 27 solutions in Hindi for Quant course. Download more important topics, notes, lectures and mock test series for Quant Exam by signing up for free. Attempt Quant (Hindi) - MCQ - 27 | 30 questions in 60 minutes | Mock test for Quant preparation | Free important questions MCQ to study for Quant Exam | Download free PDF with solutions
Quant (Hindi) - MCQ - 27 - Question 1

एक राशी को तीन वर्षो के निश्चित वार्षिक चक्रवृद्धि ब्याज की दर से निवेश किया जाता है. तीन वर्षो के बाद उस राशी में 119.7% की वृद्धि होती है तो ब्याज की दर ज्ञात कीजिये?

Detailed Solution for Quant (Hindi) - MCQ - 27 - Question 1


Quant (Hindi) - MCQ - 27 - Question 2

एक राशी साधारण ब्याज पर 10 वर्षो में स्वयं का दोगुना हो जाता है. तो इसे स्वयं का 5 गुना होने में कितना समय लगेगा?

Detailed Solution for Quant (Hindi) - MCQ - 27 - Question 2


Quant (Hindi) - MCQ - 27 - Question 3

एक व्यक्ति ज़मीन खरीदता है तथा अपने वार्षिक किराय का 20 गुना प्रदान करता है. तो उसकी दर प्रतिशत ज्ञात कीजिये?

Detailed Solution for Quant (Hindi) - MCQ - 27 - Question 3

Quant (Hindi) - MCQ - 27 - Question 4

एक पिता अपनी विल में 68,000 रुपये की राशी को अपने दो बच्चो में बाटता है जिनकी आयु 10 वर्ष तथा 12 वर्ष है, जब उनमे से प्रत्येक 18 वर्ष के होंगे तो उन्हें सामान राशी प्राप्त होगी. यदि उस राशी को 10% की वार्षिक दर से रखा जाता है तो विल के समय उनमे से प्रत्येक को कितनी राशी प्राप्त होगी .

Detailed Solution for Quant (Hindi) - MCQ - 27 - Question 4

Quant (Hindi) - MCQ - 27 - Question 5

एक दुध वाला दो व्यक्तियों से 3,500 रुपये का ऋण लेता है. पहले व्यक्ति को वह 5% की वार्षिक दर से तथा दुसरे व्यक्ति को 10% की वार्षिक दर से ब्याज देता है| वह दो वर्षो का कुल ब्याज500 रुपये देता है. तो उसने 10% की दर से उसने कितनी राशी ऋण ली है?

Detailed Solution for Quant (Hindi) - MCQ - 27 - Question 5

Quant (Hindi) - MCQ - 27 - Question 6

एक राशी को 4 वर्षो के लिए निश्चित दर पर चक्रवृद्धि ब्याज पर निवेश किया जाता है. 4 वर्षो के  बाद उस राशी में 107.36%. की वृद्धि होती है, तो उसकी ब्याज की दर ज्ञात कीजिये?

Detailed Solution for Quant (Hindi) - MCQ - 27 - Question 6

Quant (Hindi) - MCQ - 27 - Question 7

दो सामान राशियों को क्रमशः एक को 4% तथा दूसरी को 4.1% की वार्षिक दर से साधारण ब्याज पर 99 वर्षो के लिए निवेश किया जाता है, बाद वाले निवेश से प्राप्त किया गया साधारण ब्याज पहले वाले निवेश से प्राप्त साधारण ब्याज से 198 रुपये अधिक है तो प्रत्येक राशी ज्ञात कीजिये:

Detailed Solution for Quant (Hindi) - MCQ - 27 - Question 7

Quant (Hindi) - MCQ - 27 - Question 8

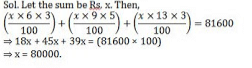
राम एक राशी को 6% की वार्षिक दर से पहले तीन वर्षो के लिए उधार लेता है तथा अगले पांच वर्षो के लिए 9% की वार्षिक दर से तथा उसके अगले आठ वर्षो के लिए 13% की वार्षिक दर से उधार लेता है. यदि ग्यारह वर्षो के बाद वह कुल 81600 रुपये ब्याज देता है, तो उसने राशी उधार ली ज्ञात कीजिये?

Detailed Solution for Quant (Hindi) - MCQ - 27 - Question 8

Quant (Hindi) - MCQ - 27 - Question 9

दो भिन्न स्रोतों से 1500 रूपए पर 3 वर्षो का साधारण ब्याज 1.350 रुपये है तो उनके बीच ब्याज दर में अंतर ज्ञात कीजिये:

Detailed Solution for Quant (Hindi) - MCQ - 27 - Question 9

Difference of S.I = Rs. 1.35 for 3 years,
hence difference of SI for 1 year is Rs. 0.45
therefore, R% of the principal will equal Rs. 0.45
or R% of 1500 will be equal to 0.45 or R = 0.03%,
where R equals difference of rates.

Quant (Hindi) - MCQ - 27 - Question 10

एक राशी पर दो वर्ष के लिए 10% की वार्षिक दर से चक्रवृद्धि ब्याज तथा साधारण ब्याज में अंतर है, जबकि चक्र वृद्धि ब्याज से वार्षिक 4 रुपये तथा साधारण ब्याज से 40 रुपये ब्याज मिलते है, तो ब्याज की दर ज्ञात कीजिये?

Detailed Solution for Quant (Hindi) - MCQ - 27 - Question 10

Quant (Hindi) - MCQ - 27 - Question 11

लगातार दो वर्षों के लिए, मेरी आय 4:7 के अनुपात में है और व्यय 3:5 के अनुपात में है. यदि दूसरे वर्ष में मेरी आय 42000 रु है और पहले वर्ष में मेरा व्यय 21000 रु है, तो दो वर्ष के लिये मेरी कुल बचत है -

Detailed Solution for Quant (Hindi) - MCQ - 27 - Question 11

Quant (Hindi) - MCQ - 27 - Question 12

एक स्कूल के लड़कों में से दो तिहाई और लड़कियों में से तीन-चौथाई एक कार्यक्रम में भाग लेते हैं. यदि भाग लेने वाले विद्यार्थियों की कुल संख्या 550 है, जिनमें से 150 लड़कियां हैं, तो स्कूल में कुल कितने विद्यार्थी हैं?

Detailed Solution for Quant (Hindi) - MCQ - 27 - Question 12

Quant (Hindi) - MCQ - 27 - Question 13

रवि 6 वर्ष पहले जितनी आयु का था, रुपेश उसका तीन गुना है. रवि 6 वर्ष बाद जितनी आयु का होगा रुपेश उसका 5/3 गुना होगा. वर्तमान में रवि की आयु क्या है ?

Detailed Solution for Quant (Hindi) - MCQ - 27 - Question 13

Quant (Hindi) - MCQ - 27 - Question 14

3 भैंसें उतना खाती हैं जितना 4 गाय या 2 बैल खाते हैं. एक फार्म में 15 भैंस हैं, 8 बैल हैं और 24 गाय हैं. इन पशुओं के लिए 24 दिनों के लिए चारा उपलब्ध है. यदि 8 और गाय तथा 9 और भैंस ले आई जाएँ तो चारा कितने दिन तक चलेगा ?

Detailed Solution for Quant (Hindi) - MCQ - 27 - Question 14

Quant (Hindi) - MCQ - 27 - Question 15

अजय 30000 रु निवेश करके एक दुकान खोलता है. अंजू 45000 रु के निवेश के साथ 2 महीने बाद उसके साथ शामिल हो जाती है. 1 वर्ष पूरा होने पर वे 54000 रु का लाभ कमाते हैं. अंजू का लाभ  का कितना हिस्सा होगा ?

Quant (Hindi) - MCQ - 27 - Question 16

खेल दिवस के दिन, यदि 30 बच्चे एक कॉलम में खड़े किये जाते हैं तो 16 कॉलम बनाये जा सकते हैं. यदि 24 बच्चे एक कॉलम में खड़े किये जाते हैं तो कितने कॉलम बनाये जा सकते हैं?

Detailed Solution for Quant (Hindi) - MCQ - 27 - Question 16

Quant (Hindi) - MCQ - 27 - Question 17

30 प्रश्नों के एक टेस्ट में, गलत उत्तरों की संख्या, सही उत्तरों की संख्या से 50 प्रतिशत कम है. प्रत्येक उत्तर या तो सही है या गलत है. सही उत्तरों का गलत उत्तरों के प्रति क्या अनुपात है ?

Detailed Solution for Quant (Hindi) - MCQ - 27 - Question 17


Quant (Hindi) - MCQ - 27 - Question 18

A और B एक व्यापार में समान पूंजी निवेश करते हैं. वर्ष के अंत में वे लाभ को 3:2 के अनुपात में बांटते हैं. यदि A ने अपनी पूंजी पूरे वर्ष के लिये निवेश की थी तो B ने कितने महीनों के लिये अपनी पूंजी निवेश की थी ?

Detailed Solution for Quant (Hindi) - MCQ - 27 - Question 18

Quant (Hindi) - MCQ - 27 - Question 19

अंशु और ब्रॉन की आय 5:3 के अनुपात में है. अंशु, ब्रॉन और चेन का व्यय, 8:5:3 के अनुपात में है.अंशु की आय ज्ञात करने के लिये निम्न में से कौन सी सूचना/सूचनाएं पर्याप्त है/हैं ?

(A) चेन 2000 रु खर्च करता है
(B) ब्रॉन 700 रु बचाता है
(C) ब्रॉन 5000 रु खर्च करता है

Detailed Solution for Quant (Hindi) - MCQ - 27 - Question 19

Either A and B together or C alone sufficient

Quant (Hindi) - MCQ - 27 - Question 20

मनीष और सतीश कुछ वर्षों के लिये व्यापार में साझेदार थे. 1997 के अंत में,  दोनों के द्वारा35000 रु का लाभ कमाया जाता है. मनीष का लाभ का हिस्सा ज्ञात करने के लिये निम्न में से कौन सी सूचना/सूचनाएं पर्याप्त है/हैं ?

A. मनीष ने वर्ष 1997 की शुरुआत में 35000 रु का निवेश किया था.
B. सतीश ने जुलाई महीने के अंत में अपनी पूंजी वापस निकल ली थी.
C. सतीश को अपने निवेश का 1/5, लाभ के हिस्से के रूप में प्राप्त हुआ.

Detailed Solution for Quant (Hindi) - MCQ - 27 - Question 20

No information is provided about the capital of Satish.
So using all the statements together is not sufficient to get the answer.

Quant (Hindi) - MCQ - 27 - Question 21

व्यापार में कुल कितना लाभ हुआ ?

A. हरि और विजय क्रमशः Rs. 20,000 और Rs. 30,000 एक व्यापार में निवेश करते हैं. ये व्यापार में केवल निवेशक हैं.
B. वे अपने लाभ का 75% बराबर बाँटने का फैसला करते हैं.
C. शेष लाभ निवेश के अनुपात में बांटा जाएगा.

Detailed Solution for Quant (Hindi) - MCQ - 27 - Question 21

Statements nowhere mention the profit generated (in Rs.)

Quant (Hindi) - MCQ - 27 - Question 22

D, K और A एक कार्य क्रमशः 5, 15 और 35 दिन में कर सकते हैं. उन्हें एक साथ काम करके एक कार्य को पूरा करने के लिये Rs. 1054 की राशि मिलती है. उस राशि में K का कितना हिस्सा होगा ?

Detailed Solution for Quant (Hindi) - MCQ - 27 - Question 22

Quant (Hindi) - MCQ - 27 - Question 23

पाइप में पानी के प्रवाह की दर का अनुपात, पाइप की त्रिज्या के वर्ग के रूप में विपरीत रूप से भिन्न होता है. 2 cm और 4 cm के व्यास वाले दो पाइपों में प्रवाह की दर का अनुपात क्या है ?

Detailed Solution for Quant (Hindi) - MCQ - 27 - Question 23

Quant (Hindi) - MCQ - 27 - Question 24

एक कॉलेज की आधी लड़कियां और एक-तिहाई लड़के हॉस्टल में रहते हैं. विद्यार्थियों का कितना आंशिक हिस्सा छात्रावास में रहता है यदि कॉलेज में लड़कियों की कुल संख्या 100 है और यह कुल विद्यार्थियों का ¼ है ?

Detailed Solution for Quant (Hindi) - MCQ - 27 - Question 24

Quant (Hindi) - MCQ - 27 - Question 25

दिया गया है कि 24 कैरेट का सोना शुद्ध सोना है; 18 कैरेट का सोना 3/4 सोना है और 20 कैरेट का सोना 5/6 सोना है. 18 कैरेट सोने में शुद्ध सोना और 20 कैरेट सोने में शुद्ध सोने का अनुपात होगा -

Detailed Solution for Quant (Hindi) - MCQ - 27 - Question 25

Quant (Hindi) - MCQ - 27 - Question 26

एक व्यक्ति 4400 रुपये का निवेश दो भागो में करता है पहला 6% तथा दूसरा 10% की ब्याज दर पर निवेश करता है. यदि उसके निवेश का कुल लाभ 9% है, तो 10% पर किये गए निवेश की राशी ज्ञात कीजिये.

Quant (Hindi) - MCQ - 27 - Question 27

P तथा Q की औसत आयु 20 वर्ष है. यदि R, P का स्थान लेता है, तो औसत 19 हो जाती है और यदि R, Q का स्थान लेता है तो औसत 21 वर्ष हो जाती है. तो P, Q तथा R की आयु ज्ञात कीजिये?

Quant (Hindi) - MCQ - 27 - Question 28

3 वर्ष पूर्व, एक परिवार के 5 सदस्यों की औसत आयु 17 वर्ष है. एक नवजात शिशु के जन्म के बाद भी, उस परिवार के छ: सदस्यों की आयु आज भी समान है. नवजात शिशु की आयु ज्ञात कीजिये.

Quant (Hindi) - MCQ - 27 - Question 29

एक नियमित सप्ताह में, पांच दिन कार्य होता है तथा प्रत्येक दिन, आठ घंटे कार्य होता है. एक व्यक्ति को प्रत्येक घंटे नियमित कार्य करने के 2.40 रुपये मिलते है और ओवरटाइम के प्रत्येक घंटे के 3.20 रुपये मिलते है. यदि वे 432 रुपये चार सप्ताह में कमाता है, तो वह कितने घंटे काम करता है?

Quant (Hindi) - MCQ - 27 - Question 30

डेविड एक इमारत की 11 वीं मंजिल पर लिफ्ट लेता है और प्रति मिनट 57 मंजिलों की दर से उपर जाता है. उसी समय, अल्बर्ट उसी इमारत की 51 वीं मंजिल पर लिफ्ट लेता है और प्रति मिनट 63 मंजिलों की दर से नीचे पहुंचता है. यदि वह इसी दर से यात्रा करते है तो वह किस मंजिल पर एक दूसरे से मिलेंगे?

Information about Quant (Hindi) - MCQ - 27 Page
In this test you can find the Exam questions for Quant (Hindi) - MCQ - 27 solved & explained in the simplest way possible. Besides giving Questions and answers for Quant (Hindi) - MCQ - 27, EduRev gives you an ample number of Online tests for practice
Download as PDF