Class 10 Exam  >  Class 10 Tests  >  Mathematics (Maths) Class 10  >  RD Sharma Test: Introduction to Trigonometry - Class 10 MCQ

RD Sharma Test: Introduction to Trigonometry - Class 10 MCQ


Test Description

25 Questions MCQ Test Mathematics (Maths) Class 10 - RD Sharma Test: Introduction to Trigonometry

RD Sharma Test: Introduction to Trigonometry for Class 10 2025 is part of Mathematics (Maths) Class 10 preparation. The RD Sharma Test: Introduction to Trigonometry questions and answers have been prepared according to the Class 10 exam syllabus.The RD Sharma Test: Introduction to Trigonometry MCQs are made for Class 10 2025 Exam. Find important definitions, questions, notes, meanings, examples, exercises, MCQs and online tests for RD Sharma Test: Introduction to Trigonometry below.
Solutions of RD Sharma Test: Introduction to Trigonometry questions in English are available as part of our Mathematics (Maths) Class 10 for Class 10 & RD Sharma Test: Introduction to Trigonometry solutions in Hindi for Mathematics (Maths) Class 10 course. Download more important topics, notes, lectures and mock test series for Class 10 Exam by signing up for free. Attempt RD Sharma Test: Introduction to Trigonometry | 25 questions in 25 minutes | Mock test for Class 10 preparation | Free important questions MCQ to study Mathematics (Maths) Class 10 for Class 10 Exam | Download free PDF with solutions
RD Sharma Test: Introduction to Trigonometry - Question 1

In ΔABC, ∠B = 90°. If AB = 14 cm and AC = 50 cm then tan A equals :

Detailed Solution for RD Sharma Test: Introduction to Trigonometry - Question 1

3. In triangle ABC.angle B =90°. If AB =14 cm and AC =50 cm then tanA=O  24/2524/7O 7/2425/24​ - Brainly.in

RD Sharma Test: Introduction to Trigonometry - Question 2

In sin 3θ = cos (θ – 26°), where 3θ and (θ – 26°) are acute angles, then value of θ is :

Detailed Solution for RD Sharma Test: Introduction to Trigonometry - Question 2

sin3θ = cos(θ - 26°)

=> cos(90° - 3θ) = cos(θ - 26°)

=> 90° - 3θ = θ - 26°

=> 3θ + θ = 90° + 26°

=> 4θ = 116°

=> θ = 116°/4

=> θ = 29°

RD Sharma Test: Introduction to Trigonometry - Question 3

If angle A is acute and cos A = 8/17 then cot A is :

Detailed Solution for RD Sharma Test: Introduction to Trigonometry - Question 3

Cos A=8/17=B/H
base=8x, hypotenuse=17x
By pythagoras theorem,
H=P+ B2
289x= P+ 64x2

Cot A=B/P=8x/15x=8/15

RD Sharma Test: Introduction to Trigonometry - Question 4

sec θ is equal to –

Detailed Solution for RD Sharma Test: Introduction to Trigonometry - Question 4

As we know,

RD Sharma Test: Introduction to Trigonometry - Question 5

The value of 2 tan2 60° – 4 cos2 45° – 3 sec2 30° is :

Detailed Solution for RD Sharma Test: Introduction to Trigonometry - Question 5

Step-by-step explanation:

2tan2 60° - 4 cos2 45° -3sec2 30° ----(1)

tan 60° = √3

cos 45° = 1/√2

sec 30° = 2/√3

 

putting value in equation (1)

2(√3)2 - 4(1/√2)2 - 3(2/√3)2

=2(3) - 4(1/2) - 3(4/3)

=6-2-4

=6-6

=0 ANS

RD Sharma Test: Introduction to Trigonometry - Question 6

The value of 3/4 tan2 30° – 3 sin2 60° + cosec2 45° is

Detailed Solution for RD Sharma Test: Introduction to Trigonometry - Question 6

RD Sharma Test: Introduction to Trigonometry - Question 7

7 sin2 θ + 3 cos2 θ = 4 then :

Detailed Solution for RD Sharma Test: Introduction to Trigonometry - Question 7
Let t = tanθ, so sinθ = t cosθ and from the identity sin2θ + cos2θ = 1, we get (t2 + 1)cos2θ = 1 ⇒ cos2θ = 1/(t2 + 1). Substituting into 7 sin2θ + 3 cos2θ = 4: 7*(t2/(t2 + 1)) + 3*(1/(t2 + 1)) = 4. Combine terms: (7t2 + 3)/(t2 + 1) = 4 ⇒ 7t2 + 3 = 4(t2 + 1). Expand and solve: 7t2 + 3 = 4t2 + 4 ⇒ 3t2 = 1 ⇒ t = ±1/√3. Since tanθ is positive, the answer is D.
RD Sharma Test: Introduction to Trigonometry - Question 8

The solution of the trigonometric equation 

Detailed Solution for RD Sharma Test: Introduction to Trigonometry - Question 8


cos2θ = 3(cot2θ-cos2θ)
4cos2θ = 3cot2θ
4=3(1/sin2θ)
sin2θ = 3/4
sinθ = √3/2
θ = 60

RD Sharma Test: Introduction to Trigonometry - Question 9

In sin 3θ = cos (θ – 26°), where 3θ and (θ – 26°) are acute angles, then value of θ is :

Detailed Solution for RD Sharma Test: Introduction to Trigonometry - Question 9

RD Sharma Test: Introduction to Trigonometry - Question 10

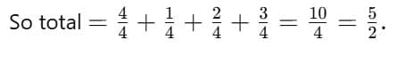
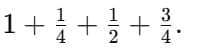
The value of sin2 15° + sin2 30° + sin2 45° + sin2 60° + sin2 75° is :

Detailed Solution for RD Sharma Test: Introduction to Trigonometry - Question 10

Using Complimentary angle properties:
sin(90 - θ) = cosθ
cos(90° − θ) = sin θ
sin15º = cos(90 - 15) = cos75º
Given: sin2 15° + sin2 30° + sin2 45° + sin2 60° + sin2 75°
Now we have,
cos275º + sin2 30° + sin2 45° + sin2 60° + sin275°
As we know,

  • sin275° +  cos275º = 1 [because sin⁡2θ + cos⁡2θ = 1]
  • sin30º =1/2 ​⇒ sin230º = 1/4​
  • sin45º =1/√2 ​​⇒ sin245º = 1/2
  • sin60º = √3/2 ​​⇒ sin260º = 3/4​​

Substituting the values,
cos275º + sin2 30° + sin2 45° + sin2 60° + sin275°
   

Therefore,Correct Option: C

RD Sharma Test: Introduction to Trigonometry - Question 11

The value of  is :

Detailed Solution for RD Sharma Test: Introduction to Trigonometry - Question 11

RD Sharma Test: Introduction to Trigonometry - Question 12

The values of x and y which make the following solutions true are: cos x° = sin 52° and cos y° = sin (y° + 10)

Detailed Solution for RD Sharma Test: Introduction to Trigonometry - Question 12
1. For the equation cos x° = sin 52°, we use the co-function identity: sin θ = cos(90° - θ). Thus, sin 52° = cos(38°), so x = 38°. 2. For the equation cos y° = sin(y° + 10°), rewrite using the co-function identity: sin(y° + 10°) = cos(80° - y°). Therefore, cos y° = cos(80° - y°). 3. Solving cos y° = cos(80° - y°): This gives two cases: a. y = 80° - y ⇒ 2y = 80° ⇒ y = 40° b. y = -(80° - y) + 360°k, which does not yield valid solutions within the standard range. Thus, y = 40° and x = 38°, corresponding to option B.
RD Sharma Test: Introduction to Trigonometry - Question 13

If α + β = 90° and α = 2β then cos2 α + sin2 β equal :

Detailed Solution for RD Sharma Test: Introduction to Trigonometry - Question 13
Given the equations α + β = 90° and α = 2β, we can substitute α in the first equation: 2β + β = 90° ⇒ 3β = 90° ⇒ β = 30°. Therefore, α = 60°. Now, calculate cos²α + sin²β: cos(60°) = 0.5 ⇒ cos²(60°) = (0.5)² = 0.25 sin(30°) = 0.5 ⇒ sin²(30°) = (0.5)² = 0.25 Adding these gives: cos²α + sin²β = 0.25 + 0.25 = 0.5 = 1/2 Thus, the correct answer is C.
RD Sharma Test: Introduction to Trigonometry - Question 14

A flagstaff 6 metres high throws a shadow 2 √3 metres long on the ground. The angle of elevation is :

Detailed Solution for RD Sharma Test: Introduction to Trigonometry - Question 14
The flagstaff forms a right-angled triangle with its shadow, where the height is 6 metres (opposite side) and the shadow length is 23 metres (adjacent side). Using the tangent function: tan(θ) = opposite / adjacent = 6 / (23) = 3 / 3 = 3. The angle whose tangent is 3 is 60°. Therefore, the angle of elevation is 60°.
RD Sharma Test: Introduction to Trigonometry - Question 15

An observer √3 m tall is 3 m away from the pole 2 √3 m high. The angle of elevation of the top from the pole is :

Detailed Solution for RD Sharma Test: Introduction to Trigonometry - Question 15

RD Sharma Test: Introduction to Trigonometry - Question 16

An observer 1.5 m tall is 28.5 m away from.a chimney. The angle of elevation of the top of the chimney from her eyes is 45°. The height of the chimney is :

Detailed Solution for RD Sharma Test: Introduction to Trigonometry - Question 16

RD Sharma Test: Introduction to Trigonometry - Question 17

The angle of elevation of the top of a tower from a distance 100 m from its foot is 60°. The height of the tower is :

Detailed Solution for RD Sharma Test: Introduction to Trigonometry - Question 17

RD Sharma Test: Introduction to Trigonometry - Question 18

A kite is flying at a height of 60 m above the ground. The string attached to the kite is temporarily tied to a point on the ground. The inclination of the string with the ground is 60°. The length of the string is:

Detailed Solution for RD Sharma Test: Introduction to Trigonometry - Question 18
[1. Given: Opposite side (height) = 60m, Angle θ = 60°, sin(θ) = √3/2. 2. Using sine formula: sin(60°) = opposite/hypotenuse implies (√3/2) = (60/hypotenuse). 3. Solving for hypotenuse: Hypotenuse = (60 × 2)/√3 = (120/√3) = 40√3 meters. 4. Conclusion: The length of the string is 40√3 meters, which corresponds to option A.]
RD Sharma Test: Introduction to Trigonometry - Question 19

A tree is broken by the wind. Its top struck the ground at an angle 30° at a distance of 30 m from its foot. The whole height of the tree is :

Detailed Solution for RD Sharma Test: Introduction to Trigonometry - Question 19
When the tree is broken, it forms a right triangle with: - The distance from the base to where the top landed (30 m) as the adjacent side. - The height of the tree as the opposite side. - The angle between the ground and the fallen tree is 30 degrees. Using trigonometry: tan(30°) = opposite/adjacent = h/30. Thus, h = 30 × tan(30°). Since tan(30°) = 1/√3: h = 30 × (1/√3) = 10√3 meters. Therefore, the height of the tree is 10√3 meters.
RD Sharma Test: Introduction to Trigonometry - Question 20

From a point on a bridge across a river, the angles of depression of the banks on opposite sides of the river are 30° and 45° respectively. If the bridge is at a height of 3 m from the banks then the width of the river is :

Detailed Solution for RD Sharma Test: Introduction to Trigonometry - Question 20
To find the width of the river, we calculate the horizontal distances from the bridge to each bank using the tangent function for each angle. 1. For the 30° angle: tan(30°) = opposite/adjacent = 3/x1 Since tan(30°) = √3/3, √3/3 = 3/x1 implies x1 = 3√3 meters. 2. For the 45° angle: tan(45°) = opposite/adjacent = 3/x2 Since tan(45°) = 1, 1 = 3/x2 implies x2 = 3 meters. The total width of the river is the sum of these two distances: Width = x1 + x2 = 3√3 + 3 = 3(√3 + 1) meters. Thus, the correct answer is B. 3(√3 +1) m.
RD Sharma Test: Introduction to Trigonometry - Question 21

The angles of elevation of the top of a tower from two points at a distance of 4 m and 9 m from the base of the tower and in the same straight line with it are complementary. The height of the tower is:

Detailed Solution for RD Sharma Test: Introduction to Trigonometry - Question 21

Given AB is the tower.

P and Q are the points at distance of 4m and 9m respectively.

From fig, PB = 4m, QB = 9m.

Let angle of elevation from P be α and angle of elevation from Q be β.

Given that α and β are supplementary. Thus, α + β = 90

In triangle ABP,

tan α = AB/BP – (i)

In triangle ABQ,

tan β = AB/BQ

tan (90 – α) = AB/BQ (Since, α + β = 90)

cot α = AB/BQ

1/tan α = AB/BQ

So, tan α = BQ/AB – (ii)

From (i) and (ii)

AB/BP = BQ/AB

AB^2 = BQ x BP

AB^2 = 4 x 9

AB^2 = 36

Therefore, AB = 6.

Hence, height of tower is 6m.

RD Sharma Test: Introduction to Trigonometry - Question 22

A 1.5 m tall boy is standing at some distance from a 30 m tall building. The angles of elevation from his eyes to the top of the building increases from 30 to 60° as he walks towards the building. The distance he walked towards the building is :

Detailed Solution for RD Sharma Test: Introduction to Trigonometry - Question 22
Let the height of the building be 30 m and the boy's eye level be 1.5 m. The vertical distance from his eyes to the top is 28.5 m. Using the tangent function: At 30°: tan(30°) = 28.5/d1; d1 = 28.5/tan(30°) = 28.5√3. At 60°: tan(60°) = 28.5/d2; d2 = 28.5/tan(60°) = 28.5/√3 = 28.5√3/3. The distance walked: d1 - d2 = 28.5√3 - 28.5√3/3 = (85.5√3 - 28.5√3)/3 = (57√3/3) = 19√3 m.
RD Sharma Test: Introduction to Trigonometry - Question 23

As observed from the top of a 75 m high lighthouse from the sea-level, the angles of depression of two ships are 30° and 60°. If one strip is exactly behind the other on the same side of the light-house then the distance between the two ships is :

Detailed Solution for RD Sharma Test: Introduction to Trigonometry - Question 23

Height of lighthouse =75m
Angles are 30 and 60
Let x be the distance between the ships and y be the distance between the foot of the lighthouse and closer ship.
So tan 60= 

Tan 30 = 
x = 

RD Sharma Test: Introduction to Trigonometry - Question 24

 In ∆ ABC, right-angled at B, AB = 24 cm, BC = 7 cm. The value of tan C is:

Detailed Solution for RD Sharma Test: Introduction to Trigonometry - Question 24

RD Sharma Test: Introduction to Trigonometry - Question 25

Which of the following identities is correct?

Detailed Solution for RD Sharma Test: Introduction to Trigonometry - Question 25

By definition,
tan A = sin A / cos A is always true for all angles (except where cos A = 0)

127 videos|585 docs|79 tests
Information about RD Sharma Test: Introduction to Trigonometry Page
In this test you can find the Exam questions for RD Sharma Test: Introduction to Trigonometry solved & explained in the simplest way possible. Besides giving Questions and answers for RD Sharma Test: Introduction to Trigonometry, EduRev gives you an ample number of Online tests for practice
127 videos|585 docs|79 tests
Download as PDF