In a certain code language, ‘heaven plate’ is coded as ‘flower rage’, ‘curtain kingdom’ is coded as ‘computer blanket, ‘kingdom plate’ is coded as ‘blanket rage’, and ‘heaven curtain’ is coded as ‘flower computer’. What is the code word for ‘kingdom’?
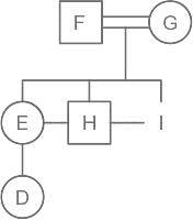
‘A + B’ means ‘A is the daughter of B’
‘A – B’ means ‘A is the husband of B’
‘A × B’ means ‘A is the mother of B’
‘A ÷ B’ means ‘A is brother of B’
If D + E + F – G × H ÷ I – J, then which of the following statements is not correct?
Which of the following numbers will replace the question mark (?) in the given series?
11, ?, 29, 53, 101, 197
Which of the given letter-clusters will replace the question mark (?) in the following series?
DMHR, AJEO, XGBL, ?, RAVF
Each question given below consists of a statement, followed by two arguments numbered I and II. You have to decide which of the arguments is a 'strong' argument and which is a 'weak' argument.
Give answer:
(A) If only argument I is strong
(B) If only argument II is strong
(C) If either I or II is strong
(D) If neither I nor II is strong and
(E) If both I and II are strong.
Statement:
Should cellphones be banned in public places?
Arguments:
I. Yes, cellphone batteries drain off quickly when used in public places
II. No, cellphones need not be banned as they can be easily turned off or put to silent in public places.
By folding the given paper, which of the following box can be made?
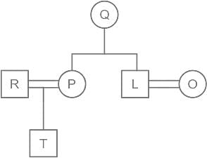
L is the husband of O. Q is the mother-in-law of O. P is the sister of L. P is married to R. R has one son T. How is Q related to T?
Directions: In the following question below are given a question and two statements numbered I and II. You have to decide whether the data provided in the statements are sufficient to answer the question. Read both the statements and give your answer.
What is the code for 'walks' in the code language?
Statements:
I. In the code language, 'she walks fast' is written as 'he ka to'.
II. In the code language, 'she learns fast' is written as 'jo ka he'.
The sequence of folding a piece of paper and the manner in which the folded paper has been cut is shown below. Choose the figure that would most closely resemble the unfolded form of the paper.
Read the given statement and decide which of the suggested courses of action logically follow(s) on the basis of the information given in the statement.
Statement:
The question paper had many wrong questions due to which many students failed the examination.
Courses of Action:
1. Re-conduct the examination with the correct question paper.
2. Grace marks should be given for wrong questions.
Select the Venn diagram that best represents the relationship between the following classes.
Mothers, Husbands and Males
Select the figure from the options that can replace the question mark (?) and complete the given pattern (rotation is NOT allowed).
Select the option which is related to the third word in the same way as the second word is related to the first word.
Maharashtra : Mumbai :: West Bengal : ?
(The words are to be treated as meaningful words, and not to be related to each other on the basis of the number of letters/consonants/vowels in the word.)
Seven boxes H, I, J, K, L, M, and N are kept in a stack one above the other but not necessarily in the same order. Box J is Six boxes above box L. Box M is positioned at a prime numbered position and is immediate below box I. Box I is positioned at an odd-numbered position. Box N is kept immediately above box H, who is not adjacent to box I. Which of the following box is kept in the middle of the stack?
Seven people A, B, C, D, E, F and G live in a seven-floor building. The lowermost floor is numbered as 1, the floor above it is numbered 2, and so on till the topmost floor is numbered 7. Only four people live below the floor on which D lives. Only two people live below C. B lives on the lowermost floor. E lives immediately above B. A lives on one of the floors above F but on one of the floors below G. Who lives on the floor numbered 4?
Read the given statement and conclusions carefully. Assuming that the information given in the statements is true, even if it appears to be at variance with commonly known facts, decide which of the given conclusions is true based on the given statement.
Statement: M = N ≥ Q > R = W ≤ Z
Conclusions:
I. M > R
II. Z ≥ RIn a class of 100 students, 24 students score more marks than Sharmistha whereas 18 students score lesser marks than Amit. How many students score lesser marks than Sharmistha but more marks than Amit?
Seven boys Rahul, Ram, Ramesh, Sohan, Sahil, Sonu and Monu are sitting around a circular table facing towards the centre (not necessarily in the same order). Monu is second to the left of Sonu. Sonu is second to the left of Rahul. Sahil is not the immediate neighbour of Sonu. Sahil is third to the right of Ram. Sohan is third to the right of Ramesh.
Who is third to the left of Rahul?
In a class, four students ranked between Rahul and Sreeja. Sreeja ranked 14th from the top while Rahul ranked 7th from the bottom. How many students are there in the class?
Four words have been given, out of which three are alike in some manner and one is different. Select the odd word.
Select the figure from among the given options that can replace the question mark (?) in the following series.
Statement - A man must be wise to be a good wrangler. Good wranglers are talkative and boring.
Conclusions -
I. All the wise persons are boring.
Il. All the wise persons are good wranglers.
Select the correct combination of mathematical signs to sequentially replace the * signs and to balance the given equation.
(120 * 15) * 9 * * 17 * 28 * 95
In the following question the numbers form a series and there is one missing term at the end of the sequence, you have to insert the missing term:
60, 291, 485, 642, 762, __
Find suitable alternative in place of question mark (?).
Botany : Plants :: Entomology : (?)
The second number in the given number pairs is obtained by performing certain mathematical operations(s) on the first number. The same operation(s) are followed in all the number pairs except one. Find that odd number pair.
In a certain code language, 'BOOTS' is coded as '64', and 'SHOES' is coded as '69'. How will 'HEELS' be coded in that language?
Five friends Smith, Kriss, Luies, Donald and Rosy are sitting on a straight bench facing towards the North. Smith is sitting to the immediate left of Rosy who is third to the right of Luies. Donald is sitting at the extreme right end. Who is sitting at the second position from the left end?
In the figure given below are three intersecting circles each representing different types of people. Read statements and choose the letter of combination which correctly represents the statement.
Which region represents the people who are both Intelligent and active but NOT lazy?
The question given below has statement with two conclusions. Choose which of the conclusions are implicit according to the statement by selecting an option.
Statements: Royan is taller than Raman, who is taller than Rajan
Conclusion I: Royan is the tallest among the three
Conclusion II: Rajan is the shortest among the three