RRB NTPC/ASM/CA/TA Exam  >  RRB NTPC/ASM/CA/TA Tests  >  RRB NTPC General Intelligence and Reasoning Test - 2 - RRB NTPC/ASM/CA/TA MCQ

RRB NTPC General Intelligence and Reasoning Test - 2 - RRB NTPC/ASM/CA/TA MCQ


Test Description

30 Questions MCQ Test - RRB NTPC General Intelligence and Reasoning Test - 2

RRB NTPC General Intelligence and Reasoning Test - 2 for RRB NTPC/ASM/CA/TA 2025 is part of RRB NTPC/ASM/CA/TA preparation. The RRB NTPC General Intelligence and Reasoning Test - 2 questions and answers have been prepared according to the RRB NTPC/ASM/CA/TA exam syllabus.The RRB NTPC General Intelligence and Reasoning Test - 2 MCQs are made for RRB NTPC/ASM/CA/TA 2025 Exam. Find important definitions, questions, notes, meanings, examples, exercises, MCQs and online tests for RRB NTPC General Intelligence and Reasoning Test - 2 below.
Solutions of RRB NTPC General Intelligence and Reasoning Test - 2 questions in English are available as part of our course for RRB NTPC/ASM/CA/TA & RRB NTPC General Intelligence and Reasoning Test - 2 solutions in Hindi for RRB NTPC/ASM/CA/TA course. Download more important topics, notes, lectures and mock test series for RRB NTPC/ASM/CA/TA Exam by signing up for free. Attempt RRB NTPC General Intelligence and Reasoning Test - 2 | 30 questions in 35 minutes | Mock test for RRB NTPC/ASM/CA/TA preparation | Free important questions MCQ to study for RRB NTPC/ASM/CA/TA Exam | Download free PDF with solutions
RRB NTPC General Intelligence and Reasoning Test - 2 - Question 1

Read the given question and decide which of the following statements are sufficient to answer the question.
Question: P, Q, W, V, and S are standing in a row in descending order of their weight. Who's standing in the middle?
Statements:
1. P is heavier than S and V is lighter than S.
2. Q is heavier than P and W is lighter than V.

Detailed Solution for RRB NTPC General Intelligence and Reasoning Test - 2 - Question 1

1. P is heavier than S and V is lighter than S.
P > S > V

  • Here, there is no information given about the weights of Q and W. Therefore, statement 1 alone is not sufficient.

2. Q is heavier than P and W is lighter than V.
Q > P, W < V

  • No information is given about the weight of S. Therefore, statement 2 alone is not sufficient.
  • From statements 1, and 2:-

Q > P > S > V > W .
So, S is in the middle.

  • Here, statements 1, and 2 together are sufficient.

Hence, "option D" is the correct answer.

RRB NTPC General Intelligence and Reasoning Test - 2 - Question 2

Select the missing pair (fifth letter group : sixth letter group) which is related in the same way as the first letter group is related to the second letter group and the third letter group is related to the fourth letter group.

AMS : UOC :: PGL : NIR :: ?

Detailed Solution for RRB NTPC General Intelligence and Reasoning Test - 2 - Question 2

The pattern followed here is:

AMS : UOC

PGL : NIR

similarly,
BMH: JOD

Hence, the correct answer is "Option (C)".

RRB NTPC General Intelligence and Reasoning Test - 2 - Question 3

Select the word that cannot be formed by using the alphabets of the word "INCONSISTENCE"

Detailed Solution for RRB NTPC General Intelligence and Reasoning Test - 2 - Question 3

A) SUN → INCONSISTENCE → It can’t be formed as ‘U’ is not present in INCONSISTENCE.
B) NOSE INCONSISTENCE It can be formed.
C) SON INCONSISTENCE → It can be formed.
D) COININCONSISTENCE → It can be formed.
Hence, SUN is the correct answer.

RRB NTPC General Intelligence and Reasoning Test - 2 - Question 4

Select the option figure in which the given figure is embedded. (rotation is NOT allowed)

Detailed Solution for RRB NTPC General Intelligence and Reasoning Test - 2 - Question 4

The image embedded in given figure is as shown below:

Hence, "Option D" is the correct answer.

RRB NTPC General Intelligence and Reasoning Test - 2 - Question 5

In a certain code language, 'HUMP' is written as 'GTLO' and 'LIKE' is written as 'KHJD'. How will 'PLAY' be written in that language?

Detailed Solution for RRB NTPC General Intelligence and Reasoning Test - 2 - Question 5

The logic followed here is:
For, 'HUMP' is written as 'GTLO',

For, 'LIKE' is written as 'KHJD',

Similarly, for 'PLAY'

So, 'PLAY' will be written as 'OKZX'.
Hence, the correct answer is "Option C".

RRB NTPC General Intelligence and Reasoning Test - 2 - Question 6

U, V, W, X, Y and Z live on different floors of the same building. The lowermost floor in the building is numbered 1, the floor above it is numbered 2, and so on till the topmost floor is numbered 6. Z lives on the floor immediately above Y. Only one person lives between U and V. W lives immediately above Z and immediately below V. Who lives on the second floor?

Detailed Solution for RRB NTPC General Intelligence and Reasoning Test - 2 - Question 6

Given,
U, V, W, X, Y, and Z live on different floors of the same building.
Step 1: The lowermost floor in the building is numbered 1, the floor above it is numbered 2, and so on till the topmost floor is numbered 6.

Step 2: a) Z lives on the floor immediately above Y

b) W lives immediately above Z and immediately below V.

Step 3): Only one person lives between U and V.

According to the arrangement, Z lives on the second floor.
Hence, the correct answer is option A).

RRB NTPC General Intelligence and Reasoning Test - 2 - Question 7

Seven girls Mansi, Shweta, Monika, Payal, Aarti, Kajal and Laxmi are sitting around a circular table facing opposite to the centre (not necessarily in the same order). Aarti is second to the left of Kajal. Monika is third to the right of Kajal. Mansi is not the immediate neighbour of Kajal. Laxmi is second to the left of Mansi. Payal is not the immediate neighbour of Laxmi

Who is second to the left of Laxmi?

Detailed Solution for RRB NTPC General Intelligence and Reasoning Test - 2 - Question 7

Given :
Seven girls Mansi, Shweta, Monika, Payal, Aarti, Kajal and Laxmi are sitting around a circular table facing opposite to the centre
Explanation :
1) Aarti is second to the left of Kajal.
2) Monika is third to the right of Kajal.

3) Mansi is not the immediate neighbour of Kajal.

4) Laxmi is second to the left of Mansi.

5) Payal is not the immediate neighbour of Laxmi.

After positioning Payal only one position is left which will be occupied by the only person left i.e Shweta.

Thus, according to the final arrangement Kajal is second to the left of Laxmi.

Hence, "Kajal" is the correct answer.

RRB NTPC General Intelligence and Reasoning Test - 2 - Question 8

In the following question below are given some statements followed by some conclusions based on those statements. Taking the given statements to be true even if they seem to be at variance from commonly known facts. Read all the conclusions and then decide which of the given conclusion logically follows the given statements.

Statements:

I. No rat is cow.

II. Some animal are rat.

Conclusions:

I. Some animal are cow.

II. Some cow are not rat.

III. All rat are animal.

Detailed Solution for RRB NTPC General Intelligence and Reasoning Test - 2 - Question 8

Given Statements:
I. No rat is cow.
II. Some animal are rat.
The least possible Venn diagram for the given statement is:

Conclusions:
I. Some animal are cow - False (Because, No definite relation given between animal and cow, so it can be possible only).
II. Some cow are not rat - True (Because, No rat is cow also means some cow are not rat).
III. All rat are animal - False (Because, Some animal are rat gives some rat are animal, and all rat are animal can be
possible only).
So, Only conclusion II follows.
Hence, the correct answer is "Option C".

RRB NTPC General Intelligence and Reasoning Test - 2 - Question 9

Select the option that is related to the fifth number in the same way as the second number is related to the first number and fourth number is related to third number.

7 : 36 :: 16 : 225 :: 21 : ?

Detailed Solution for RRB NTPC General Intelligence and Reasoning Test - 2 - Question 9

The logic followed here is:
Logic: (1st number - 1)2 = 2nd number.
Now,
For, 7 : 36
⇒ (7 - 1)2
⇒ 62 = 36.
For, 16 : 225
⇒ (16 - 1)2
⇒ 152 = 225.
Similarly, for 21 : ?
⇒ (21 - 1)2
⇒ 202 = 400.

Hence, the correct answer is "Option A".

RRB NTPC General Intelligence and Reasoning Test - 2 - Question 10

If '×' means ‘subtraction’ '+' means ‘division’, '-' means 'addition’ and '÷' means ‘multiplication’, what will be the value of the following expression?

30 + [{(12 - 13) × (5 ÷ 2)} + (18 × 13)]

Detailed Solution for RRB NTPC General Intelligence and Reasoning Test - 2 - Question 10

Decoding the information,

Given:

30 + [{(12 - 13) × (5 ÷ 2)} + (18 × 13)]

After replacing the signs from left to right and using the BODMAS rule,

30 ÷ [{(12 + 13) - (5 × 2)} ÷ (18 - 13)]

= 30 ÷ {(25 - 10) ÷ 5}

= 30 ÷ (15 ÷ 5)

= 30 ÷ 3

= 10

Hence, “10” is the correct answer.

RRB NTPC General Intelligence and Reasoning Test - 2 - Question 11

Select the option that is related to the fifth letter-cluster in the same way as the second letter-cluster is related to the first letter-cluster and the fourth letter-cluster is related to the third letter-cluster.

HALF ∶ SFOT ∶∶ DAMP ∶ WFNJ ∶∶ AREA ∶ ?

Detailed Solution for RRB NTPC General Intelligence and Reasoning Test - 2 - Question 11

Logic :

  1. First and third letters ⇒ Opposite letter according to the English alphabetic series is written.
  2. Second letter ⇒ (5) is added to the position value according to the English alphabetic series.
  3. Fourth letter ⇒ Opposite letter is written and (1) is subtracted from the position value according to the English alphabetic series.

So,

  • HALF ∶ SFOT

​And,

  • DAMP ∶ WFNJ

​Similarly,

  • AREA ∶ ?

​​

​Hence, "ZWVY" is the correct answer.

RRB NTPC General Intelligence and Reasoning Test - 2 - Question 12

In a certain code language, 'STADIUM' is coded as 'TSADIMU'. What is the code for the word 'CRICKET' in that language?

Detailed Solution for RRB NTPC General Intelligence and Reasoning Test - 2 - Question 12

The logic followed here is:
'STADIUM' is coded as 'TSADIMU'.

Similarly, for 'CRICKET'

'CRICKET' is coded as 'RCICKTE'.
Hence, the correct answer is "Option B".

RRB NTPC General Intelligence and Reasoning Test - 2 - Question 13

Select the correct mirror image of the given figure when the mirror is placed at MIN as shown below.

Detailed Solution for RRB NTPC General Intelligence and Reasoning Test - 2 - Question 13

The mirror image of the given combination is:

Hence, the correct answer is Option C.

RRB NTPC General Intelligence and Reasoning Test - 2 - Question 14

A # B means ‘A is the brother of B’

A @ B means ‘A is the daughter of B’

A & B means ‘A is the husband of B’

A % B means ‘A is the wife of B’

A * B means ‘A is the son of B’

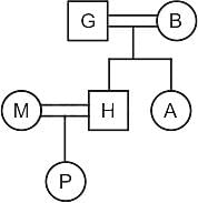
If P @ M % H # A @ G & B, then how is B related to P?

Detailed Solution for RRB NTPC General Intelligence and Reasoning Test - 2 - Question 14

P @ M % H # A @ G & B → P is daughter of M, M is wife of H, H is brother of A, A is daughter of G, G is husband of B.

By using the symbols in the table given below, we can draw the following family tree:

Clearly, B is paternal grandmother, i.e., father's mother of P.

Hence, ‘Father’s mother’ is the correct answer.

RRB NTPC General Intelligence and Reasoning Test - 2 - Question 15

Three of the following four words are alike in a certain way and one is different. Choose the odd one.

Detailed Solution for RRB NTPC General Intelligence and Reasoning Test - 2 - Question 15

The logic followed here is:
Each letter has an increasing gap between successive letters.


Option (A)  PRUY:


Option (B) GILP:


Option (C) DFIL:


Option (D) OQTX:

 

Here, All the given options follow the same logic except DFIL.

Hence, DFIL is the odd one out.

RRB NTPC General Intelligence and Reasoning Test - 2 - Question 16

Find the missing term in the following series.

1CV, 5FU, 9IT, ?, 17OR

Detailed Solution for RRB NTPC General Intelligence and Reasoning Test - 2 - Question 16

The positional values of the alphabet are:

The Logic followed here is as follows:

Here, "13LS" is the correct answer as per logic.
Hence, the correct answer is "13LS".

RRB NTPC General Intelligence and Reasoning Test - 2 - Question 17

A question and two statements labeled (I) and (II) are given. You have to decide which statement(s) is/are sufficient to answer the question.

Question:

Among four friends - Arjun, Pavan, Neeraj and Sunil, who is the heaviest?

Statements:

I. Arjun and Pavan are of the same weight.

II. Pavan weighs more than Neeraj, but less than Sunil.

Select the right option from the following.

Detailed Solution for RRB NTPC General Intelligence and Reasoning Test - 2 - Question 17

From statement 1 → Arjun = Pavan

From statement 2 → Sunil > Pavan > Neeraj

From combining both statements,

Sunil > Arjun = Pavan > Neeraj

From both the statements Sunil is heaviest.

So, Both statements are needed for the answer.

Thus, the correct answer is Both the statements together are needed.

RRB NTPC General Intelligence and Reasoning Test - 2 - Question 18

A statement is given followed by two conclusions numbered I and II. You have to assume everything in the statement to be true and decide which of the conclusion logically follow(s) beyond a reasonable doubt from the information given in the statement.
Statement:
It is reported that heavy and erratic rainfall has destroyed many agricultural crops and farmers are in debt.
Conclusions:
I. Farmers need not repay the debt.
II. Prices of groceries and other essential food items such as lentils and grains will surge.

Detailed Solution for RRB NTPC General Intelligence and Reasoning Test - 2 - Question 18

Statement:
It is reported that heavy and erratic rainfall has destroyed many agricultural crops and farmers are in debt.
Conclusions:
I. Farmers need not repay the debt → Does not follow → From the given statement there is no information that tells us about the repayment of debt so we cannot assume anything so the conclusion does not follow.
II. Prices of groceries and other essential food items such as lentils and grains will surge → Follow → Since the farmers are in debt and their crops has been destroyed, there will be an increase in the price of upcoming crops by the farmers so that they can make a good amount of money to pay their debt, we can see that this conclusion directly justifies the statement, therefore, the conclusion follow.
So only conclusion II follows.
Hence the correct answer is option D)

RRB NTPC General Intelligence and Reasoning Test - 2 - Question 19

The question below consists of some statements followed by some conclusions based on those statements. Consider the given statements to be true even if they seem to be at variance from commonly known facts. Read all the conclusions and then decide which of the given conclusions logically follows from the given statements.

Statement:

I. Some P are Q.

II. Some P are T.

III. All T are B.

Conclusion:

I. Some P are B.

II. Some B are Q.

III. No Q is B.

Detailed Solution for RRB NTPC General Intelligence and Reasoning Test - 2 - Question 19

Statement:

I. Some P are Q.

II. Some P are T.

III. All T are B.

The least possible diagram for the given statements is as follows:

Conclusion:

I. Some P are B → True (Because 'Some P are T' and ' All T are B', so some 'P' that are 'T' are also 'B', so it is definitely true)

II. Some B are Q → False (Because there is no direct relation between 'B' and 'Q', so it is possible but not definite)

III. No Q is B → False (Because there is no direct relation between 'Q' and 'B', so it is possible but not definite)

Hence, the correct answer is "Only conclusions I follows".

RRB NTPC General Intelligence and Reasoning Test - 2 - Question 20
Three persons, A, B and C, have two-rupee coins, five-rupee coins and ten-rupee coins, respectively. Each person has equal number of coins with them. They all have a total of ₹510. What was the total number of coins with each person?
Detailed Solution for RRB NTPC General Intelligence and Reasoning Test - 2 - Question 20

Given :

  • Three persons - A, B and C
  • A - Has two-rupee coins
  • B - Has five-rupee coins
  • C - Has ten-rupee coins
  • All of them have equal number of coins.
  • Total amount = Rs 510

Explanation :

Let the total number of coins each have be = X

So, according to the question:

2X + 5X + 10X = 510

17X = 510

X= 30

So, each person has total of 30 coins with them.

Hence, "30" is the correct answer.

RRB NTPC General Intelligence and Reasoning Test - 2 - Question 21

If ‘+’ means ‘-’, ‘-’ means ‘÷’, ‘÷’ means ‘×’, and ‘ב means ‘+’. Which of the following will be the value of the expression?

117 - 13 ÷ 6 + 24 × 26

Detailed Solution for RRB NTPC General Intelligence and Reasoning Test - 2 - Question 21

After replacing the signs, the equation we get:

117 ÷ 13 × 6 - 24 + 26

= 9 × 6 - 24 + 26

= 54 - 24 + 26

= 80 - 24

= 56

Hence, the correct answer is "56".

RRB NTPC General Intelligence and Reasoning Test - 2 - Question 22

Consider the given question and decide which of the following statements is sufficient to answer the question.

How long will X take to build the wall?

Statements:

1. X and Y together can build the wall in 8 days.

2. X takes 5 days more than Y to build the wall.

Detailed Solution for RRB NTPC General Intelligence and Reasoning Test - 2 - Question 22

The pattern followed here is:

How long will X take to build the wall?

Statements:

1. X and Y together can build the wall in 8 days.

⇒ X + Y = 8 Days

We can not determine the number of days for X or Y.

2. X takes 5 days more than Y to build the wall.

⇒ X - Y = 5 Days

After combining both statements 1 and 2:

(X + Y)'s one day work = 1/ 8

Suppose Y takes = a days

X takes (a + 5) days to complete the work.

According to the question,

1/a + 1/ (a + 5) = 1/8

We can find the value of 'a'. So from both statements together we can determine how many days X take to build the wall.

So, Both 1 and 2 are sufficient.

Hence, the correct answer is "Option D".

RRB NTPC General Intelligence and Reasoning Test - 2 - Question 23

In the given figure, how many teachers are neither married nor conservative?

Detailed Solution for RRB NTPC General Intelligence and Reasoning Test - 2 - Question 23

In the diagram given below, circle represents Teachers, triangle represents married and Square represents Conservative :

In the above diagram shaded portion represents teachers are neither married nor conservative is '10'.

Hence, "10" is the correct answer.

RRB NTPC General Intelligence and Reasoning Test - 2 - Question 24

Eight teachers, P, X, Q, Z, R, B, C and S, are sitting around a square table, facing the centre of the table. Four of them are sitting at the corners, while four are sitting at the exact centre of the sides. Q is sitting exactly between R and S. C and S are diagonally opposite to each other. X is sitting exactly between B and S. C is sitting exactly between P and Z. R is sitting at the immediate right of Z. Who is sitting at the immediate right of C?

Detailed Solution for RRB NTPC General Intelligence and Reasoning Test - 2 - Question 24

According to the given information,

1) C and S are diagonally opposite to each other.

2) X is sitting exactly between B and S

.

3) Q is sitting exactly between R and S.

4) R is sitting at the immediate right of Z.

→ This eliminates Case 2, as this is not possible in Case 2.

5) C is sitting exactly between P and Z.

Here, we can see that Z is sitting at the immediate right of C.

Hence, the correct answer is "Z".

RRB NTPC General Intelligence and Reasoning Test - 2 - Question 25

In the following question, if the letters of the given words are used as many times as one wants to use them, which one of the given four options CANNOT be formed?

POPULATION

Detailed Solution for RRB NTPC General Intelligence and Reasoning Test - 2 - Question 25

Let’s check each option,

1) LOTION → POPULATION → Can be formed.

2) TUTION → POPULATION → Can be formed.

3) NATION → POPULATION → Can be formed.

4) ACTION → POPULATIONCan not be formed (No C present)

Hence, "ACTION" is the correct answer.
Mistake Points

As per the question statement, "the letters of the given words are used as many times as one wants to use them, which one of the given four options CANNOT be formed?"

So we can use the letters given in the question word many times as per our requirement.

So we can form TUITION from the letters of given word.

RRB NTPC General Intelligence and Reasoning Test - 2 - Question 26

In the question given below, a statement is given, followed by two assumptions I and II. You have to take the statements to be true even if they seem to be at variance from commonly known facts. You have to decide which of the assumptions given by the given statement is definitely true.

Statement: The number of people living below the poverty line in the urban area has increased since last year.

Assumptions:

I. People living in rural areas are not below the poverty line.

II. One such survey was conducted last year.

Detailed Solution for RRB NTPC General Intelligence and Reasoning Test - 2 - Question 26

The statement talk about the number of people living below the poverty line in the urban area has increased since last year. It is not talking or nowhere mentioned about the rural area. So, this assumption is wrong.

Since the given statement states increase in the number of people living below the poverty line which can be said only when a survey must have been conducted. So, this assumptions is correct.

Hence, the correct answer is "Only Assumption II follows".

Additional Information

  1. Read the statement with an approach that the assumptions would be true with regard to the statement.
  2. Do not go too logical with the statements. Analyze the given information and the assumption must only be made based on the information in the statement. Do not over-complicate it.
  3. Common assumptions can always be followed but other than that do not align the statement with General Knowledge or other facts
  4. Use the elimination method if you are unable to apprehend the answer. Read the statement and then the assumptions given in the options, you shall notice that a few of them will most definitely not follow. Eliminate them and then choosing from lesser options may prove to be more convenient
  5. One thing to make a note of is that the assumption is something that the author believes to be true so while choosing the correct option, keep this thought in mind as well. If any option contradicts the statement, then that assumption will not follow.
RRB NTPC General Intelligence and Reasoning Test - 2 - Question 27

How many triangles are there in the following figure?

Detailed Solution for RRB NTPC General Intelligence and Reasoning Test - 2 - Question 27

Let's count the number of triangles in the figure,

There are 21 triangles in the given Figure.

Hence, the correct answer is "21".

Key PointsIn this type of question, we can solve the problem by counting the triangles and then adding them like given below:

The total number of triangles = 6 + 5 + 4 + 3 + 2 + 1= 21

RRB NTPC General Intelligence and Reasoning Test - 2 - Question 28

Consider the given statement and state which of the given assumptions are implicit in the statement.

Statement:

A notice indicating, "Don't spill the trash; please use the dustbin."

Assumptions:

1. People often do not follow instructions.

2. People tend to read notices and follow instructions.

Detailed Solution for RRB NTPC General Intelligence and Reasoning Test - 2 - Question 28

The notice is an imperative statement requesting people to follow the instruction- 'use the dustbin'.

  • From the given statement, it can be observed that the notice is displayed with the expectation or belief that people usually read it and follow the request. Thus, the assumption is implicit that people tend to read notices and follow the instructions given in them.
  • Only one of the assumptions can be implicit in this case. As assumption 2 is implicit, assumption 1 is not implicit.

Hence the correct answer is option D.

RRB NTPC General Intelligence and Reasoning Test - 2 - Question 29

Choose the alternative which is an odd word / number / letter pair out of the given alternatives.

13, 15, 27, 34, 37, 39

Detailed Solution for RRB NTPC General Intelligence and Reasoning Test - 2 - Question 29

The logic followed here is as follows:

Logic: All numbers except 34 in the data are odd numbers while only 34 is even number.

So, 34 is odd number here.

Hence, the correct answer is "34".

RRB NTPC General Intelligence and Reasoning Test - 2 - Question 30

Read the following statements and answer which of the following arguments is stronger?

Statement:

Should the government make it mandatory to install CCTV in all public places and workplaces?

Argument:

1. Yes. This will increase the level of public safety.

2. No. Privacy is the right of the people and installation of CCTV would be intrusive.

Detailed Solution for RRB NTPC General Intelligence and Reasoning Test - 2 - Question 30

logic:

1. Yes. This will increase the level of public safety.

The argument is strong.

Installing CCTV in all public places and workplaces will discourage criminals as they will be easily caught then. So, it will help create a safe environment. Therefore it will increase the level of public safety.

2. No. Privacy is the right of the people and installation of CCTV would be intrusive.

The argument is not strong.

The statement mentions installing CCTV's in public places and workplaces, which do not affect anyone's privacy.

Hence, only argument 1 is strong.

Information about RRB NTPC General Intelligence and Reasoning Test - 2 Page
In this test you can find the Exam questions for RRB NTPC General Intelligence and Reasoning Test - 2 solved & explained in the simplest way possible. Besides giving Questions and answers for RRB NTPC General Intelligence and Reasoning Test - 2, EduRev gives you an ample number of Online tests for practice
Download as PDF