JEE Exam  >  JEE Tests  >  Sample BITSAT Physics Test - JEE MCQ

Sample BITSAT Physics Test - JEE MCQ


Test Description

30 Questions MCQ Test - Sample BITSAT Physics Test

Sample BITSAT Physics Test for JEE 2025 is part of JEE preparation. The Sample BITSAT Physics Test questions and answers have been prepared according to the JEE exam syllabus.The Sample BITSAT Physics Test MCQs are made for JEE 2025 Exam. Find important definitions, questions, notes, meanings, examples, exercises, MCQs and online tests for Sample BITSAT Physics Test below.
Solutions of Sample BITSAT Physics Test questions in English are available as part of our course for JEE & Sample BITSAT Physics Test solutions in Hindi for JEE course. Download more important topics, notes, lectures and mock test series for JEE Exam by signing up for free. Attempt Sample BITSAT Physics Test | 40 questions in 50 minutes | Mock test for JEE preparation | Free important questions MCQ to study for JEE Exam | Download free PDF with solutions
Sample BITSAT Physics Test - Question 1

If E₀ represents the peak value of the voltage in an A.C. circuit, the r.m.s. value of the voltage will be

Detailed Solution for Sample BITSAT Physics Test - Question 1
For an a.c. circuit
Er.m.s=Eo/√2
So D is the answer.
Sample BITSAT Physics Test - Question 2

After two hours, one sixteenth of the starting amount of a certain radioactive isotope remained undecayed. The half of the isotope is

Detailed Solution for Sample BITSAT Physics Test - Question 2
Use the equation of first order reaction lnCt=lnC0-kt. where Ct is the concentration at given time andC0 is the initial concentration and t is the given time here Ct=C0/16 and t=2 on solving you will get k =2ln2 and half life =ln2/k on solving you will get t=30 minutes
Sample BITSAT Physics Test - Question 3

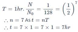
A freshly prepared radioactive sample of half-lif 1 hour emits radiations that are 128 times as intense as the permissible safe limit. The minimum time after which this sample can be safely used is

Detailed Solution for Sample BITSAT Physics Test - Question 3

Sample BITSAT Physics Test - Question 4

In a Meter-bridge with a standard resistance of 5 Ω in the left gap, the ratio of balancing lengths on the Meter bridge wire is 2:3. The unknown resistance is

Detailed Solution for Sample BITSAT Physics Test - Question 4

For meter bridge

Unknown resistance

R=l2/l1×X = 3/2×5=7.5Ω

Sample BITSAT Physics Test - Question 5

A uniform resistance wire of length L and diameter d has a resistance R. Another wire of same material has length 4 L and diameter 2 d, the resistance will be

Detailed Solution for Sample BITSAT Physics Test - Question 5

Sample BITSAT Physics Test - Question 6

What is the stopping potential when the metal with work function 0.6 eV is illuminated with the light of 2 eV?

Detailed Solution for Sample BITSAT Physics Test - Question 6
where Vo is the Stopping potential.
Sample BITSAT Physics Test - Question 7

Which of the following is a correct statement?

Detailed Solution for Sample BITSAT Physics Test - Question 7

Correct Statement: Beta rays are same as cathode rays


  • Beta Rays vs Cathode Rays: Beta rays are actually high-speed electrons emitted from the nucleus of an atom during radioactive decay. On the other hand, cathode rays are streams of electrons that are produced in a vacuum tube when a high voltage is applied between two electrodes. While both involve electrons, they are not the same thing.
Sample BITSAT Physics Test - Question 8

During a current change from 2 A to 4 A in 0.05 second, 8 V of emf is developed in a coil. the coefficient of self-induction is

Detailed Solution for Sample BITSAT Physics Test - Question 8

Explanation:

Given:
- Initial current (I1) = 2 A
- Final current (I2) = 4 A
- Change in current (ΔI) = 4 A - 2 A = 2 A
- Time taken for the change (Δt) = 0.05 s
- Electromotive force (emf) developed (ε) = 8 V

Formula:
- According to Faraday's law of electromagnetic induction, the emf induced in a coil is given by the formula:
ε = -L * (ΔI/Δt)
where L is the coefficient of self-induction

Calculation:
- Substituting the given values into the formula:
8 V = -L * (2 A / 0.05 s)
L = -8 V / (2 A / 0.05 s)
L = -8 V / 40 A/s
L = -0.2 H

Conclusion:
- The coefficient of self-induction (L) is 0.2 H, which corresponds to option B.

Sample BITSAT Physics Test - Question 9

Five equal capacitors connected in series have a resultant capacitance of 4 μ F. The total energy stored in these, when these are connected in parallel and charged to 400V is

Detailed Solution for Sample BITSAT Physics Test - Question 9

Sample BITSAT Physics Test - Question 10

A body of 2 gm carrying a charge of 0·1 μ C starts from rest at the positive plate and moves to the negative plate of a parallel plate condenser connected to a voltage supply of 30KV. The final velocity is

Detailed Solution for Sample BITSAT Physics Test - Question 10

Sample BITSAT Physics Test - Question 11

A heavy uniform chain lies on a horizontal table-top. If the coefficient of friction between the chain and table surface is 0.25, then the maximum fraction of length of the chain, that can hang one edge of the table is

Detailed Solution for Sample BITSAT Physics Test - Question 11

Sample BITSAT Physics Test - Question 12

Who among the following gave first the experimental value of G ?

Detailed Solution for Sample BITSAT Physics Test - Question 12

Experimental Value of G by Cavendish

- Henry Cavendish was the first to give an experimental value of the gravitational constant, denoted by G.
- He conducted an experiment in 1798 to determine the density of the Earth and the value of G.
- Cavendish's experiment involved measuring the gravitational attraction between two lead spheres in a torsion balance apparatus.
- His meticulous measurements led to the determination of the value of G as 6.674 × 10^-11 N m^2/kg^2, which is very close to the current accepted value.
- Therefore, Cavendish's groundbreaking experiment provided the first experimental value of the gravitational constant G.

Sample BITSAT Physics Test - Question 13

In a closed room, heat transfer takes place by

Detailed Solution for Sample BITSAT Physics Test - Question 13
Convection occurs when particles with a lot of heat energy in a liquid or gas move and take the place of particles with less heat energy. Heat energy is transferred from hot places to cooler places by convection. Liquids and gases expand when they are heated.
Sample BITSAT Physics Test - Question 14

In thermal equilibrium, the average velocity of gas molecules is

Detailed Solution for Sample BITSAT Physics Test - Question 14

Explanation:

- Average Velocity of Gas Molecules in Thermal Equilibrium:
- In thermal equilibrium, the average kinetic energy of gas molecules is directly proportional to the temperature of the gas.
- The kinetic energy of gas molecules is given by the formula: KE = 1/2 mv^2, where m is the mass of the molecule and v is its velocity.
- Since the average kinetic energy is proportional to the temperature, the average velocity of gas molecules is also proportional to the temperature.

- Proportional to √T:
- The relationship between the average velocity of gas molecules and temperature is not linear but follows a square root relationship.
- Mathematically, the average velocity of gas molecules is proportional to the square root of the temperature: v ∝ √T.
- This relationship is derived from the Maxwell-Boltzmann distribution of molecular speeds, which shows that the most probable speed of gas molecules is proportional to the square root of the temperature.

- Conclusion:
- Therefore, in thermal equilibrium, the average velocity of gas molecules is proportional to the square root of the temperature, not to the temperature squared or cubed.

Sample BITSAT Physics Test - Question 15

If 10% of the current passes through a moving coil galvanometer of resistance 99 ohm, then the shunt resistance will be

Detailed Solution for Sample BITSAT Physics Test - Question 15

Sample BITSAT Physics Test - Question 16

Ferromagnetic materials used in a transformer must have

Sample BITSAT Physics Test - Question 17

A liquid flows through a pipe of non-uniform cross-section. If A₁ and A₂ are the cross-sectional areas of the pipe at two points, the ratio of velocities of the liquid at these points will be

Sample BITSAT Physics Test - Question 18

In a liquid flowing through a pipe, the pressure difference between its ends is made half and radius is doubled. If the initial rate of flow of liquid was Q, then new rate of flow of liquid through the pipe is

Detailed Solution for Sample BITSAT Physics Test - Question 18

Sample BITSAT Physics Test - Question 19

How much force is required to produce an elongation of 0.2% in the length of a brass wire of diameter 0.6 mm? (Take Young's modulus for brass = 0.9*1011 N-m⁻2)

Sample BITSAT Physics Test - Question 20

A ball is dropped from a bridge at a height of 176.4 m over a river. After 2 s, a second ball is thrown straight downwards. What should be the initial velocity of the second ball so that both hit the water simultaneously ?

Sample BITSAT Physics Test - Question 21

A car is moving at a speed of 72 km−h⁻1. The diameter of its wheels is 0.5 m. If the wheels are stopped in 20 rotations by applying brakes, then the angular retardation produced by the brakes is

Sample BITSAT Physics Test - Question 22

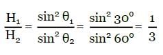
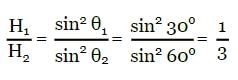
Two bodies are projected with the same velocity. If one is projected at an angle of 30o and the other at an angle of 60o to the horizontal, the ratio of the maximum heights reached is

Detailed Solution for Sample BITSAT Physics Test - Question 22

Sample BITSAT Physics Test - Question 23

A body of mass 2 kg is moving with a velocity of 8m/s on a smooth surface.if it is to be brought to rest in 4 seconds,then the force to be applied is?

Detailed Solution for Sample BITSAT Physics Test - Question 23

Sample BITSAT Physics Test - Question 24

The ability of eye to focus near as well as distant objects is called

Sample BITSAT Physics Test - Question 25

A child is sitting on a swing. Its minimum and maximum heights from the ground are 0.75 m and 2m respectively. Its maximum speed will be

Detailed Solution for Sample BITSAT Physics Test - Question 25

Drop in P.E. =  maximum K.E.

Sample BITSAT Physics Test - Question 26

When a force of 0.1 N is applied, the spring is stretched by 1.5 cm. The spring is cut into three parts and one part is stretched by 3 cm. Find the force required for doing so.

Sample BITSAT Physics Test - Question 27

An air bubble is contained inside water. It behaves as a

Sample BITSAT Physics Test - Question 28

A mass is revolving in a circle which is in the plane of paper. The direction of angular acceleration is

Sample BITSAT Physics Test - Question 29

When a sphere of moment of inertia I about an axis through its centre of gravity and mass m rolls down from rest, on an inclined plane without slipping, its kinetic energy is

Sample BITSAT Physics Test - Question 30

A cylinder of mass 500 g and radius 10 cm has moment of inertia about its central axis in kg-m2 is equal to

Detailed Solution for Sample BITSAT Physics Test - Question 30

View more questions
Information about Sample BITSAT Physics Test Page
In this test you can find the Exam questions for Sample BITSAT Physics Test solved & explained in the simplest way possible. Besides giving Questions and answers for Sample BITSAT Physics Test, EduRev gives you an ample number of Online tests for practice
Download as PDF