GATE Exam  >  GATE Tests  >  Sample GATE Mock Test - Civil Engineering (CE) - GATE MCQ

Sample GATE Mock Test - Civil Engineering (CE) - GATE MCQ


Test Description

30 Questions MCQ Test - Sample GATE Mock Test - Civil Engineering (CE)

Sample GATE Mock Test - Civil Engineering (CE) for GATE 2025 is part of GATE preparation. The Sample GATE Mock Test - Civil Engineering (CE) questions and answers have been prepared according to the GATE exam syllabus.The Sample GATE Mock Test - Civil Engineering (CE) MCQs are made for GATE 2025 Exam. Find important definitions, questions, notes, meanings, examples, exercises, MCQs and online tests for Sample GATE Mock Test - Civil Engineering (CE) below.
Solutions of Sample GATE Mock Test - Civil Engineering (CE) questions in English are available as part of our course for GATE & Sample GATE Mock Test - Civil Engineering (CE) solutions in Hindi for GATE course. Download more important topics, notes, lectures and mock test series for GATE Exam by signing up for free. Attempt Sample GATE Mock Test - Civil Engineering (CE) | 65 questions in 180 minutes | Mock test for GATE preparation | Free important questions MCQ to study for GATE Exam | Download free PDF with solutions
Sample GATE Mock Test - Civil Engineering (CE) - Question 1

His reactions to unpleasant situations tended to _________ everyone’s nerves.

The word that best fills the blank in the above sentence is 

Detailed Solution for Sample GATE Mock Test - Civil Engineering (CE) - Question 1

The sentence implies that his reactions to unpleasant situations annoyed everyone. The correct word to fill in the blank is aggravate as it means 'to annoy or exasperate'.

The meaning of the other words is:

Deviate: depart from an established course 

Revue: a light theatrical entertainment consisting of a series of short sketches, songs, and dances, typically dealing satirically with topical issues

Meander: wander at random

Sample GATE Mock Test - Civil Engineering (CE) - Question 2

If XY + Z = X(Y + Z) which of the following must be true?

Detailed Solution for Sample GATE Mock Test - Civil Engineering (CE) - Question 2

XY + Z = X(Y + Z)

⇒ XY + Z = XY + XZ

⇒ Z = XZ ⇒ Z - XZ = 0 ⇒ Z (1 - X) = 0

Either Z = 0 (in this case X can take any value) OR X = 1 (in this case Z can take any value).

X = 1 or Z = 0

Sample GATE Mock Test - Civil Engineering (CE) - Question 3

What is the number missing from the table?

Detailed Solution for Sample GATE Mock Test - Civil Engineering (CE) - Question 3

5 × 3 + 1 = 16

16 × 3 + 1 = 49

9 × 3 + 2 = 29

29 × 3 + 2 = 89

15 × 3 + 3 = 48

48 × 3 + 3 = 147

Sample GATE Mock Test - Civil Engineering (CE) - Question 4

ARCHIPELAGO : ISLAND

Detailed Solution for Sample GATE Mock Test - Civil Engineering (CE) - Question 4

An ‘archipelago’ is ‘a group of islands’, i.e. it is it is formed of several ‘islands’. So the answer should be the option where the group of the latter word forms the former. Option 1 is incorrect as a group links forms a chain and not the other way round. Similarly, option C and D can be disqualified. An encyclopedia is ‘a book or set of books giving information on many subjects’. The correct answer is option B as many beads form a necklace.

*Answer can only contain numeric values
Sample GATE Mock Test - Civil Engineering (CE) - Question 5

There are three basket of fruits. First basket has twice the number of fruits in the second basket. Third basket has 3/4 th of the fruits in the first. The average of the fruits in all the basket is 30. The number of fruits in the first basket is


Detailed Solution for Sample GATE Mock Test - Civil Engineering (CE) - Question 5

Sample GATE Mock Test - Civil Engineering (CE) - Question 6

Until now only injectable vaccines against Swine Flu have been available. They have been primarily used by older adults who are at risk for complications from Swine Flu. A new vaccine administered in an oral form has proven effective in preventing Swine Flu in children. Since children are significantly more likely than adults to contract and spread Swine Flu, making the new vaccine widely available for children will greatly reduce the spread of Swine Flu across the population.          

Which of the following, if true, most strengthens the argument? 

Detailed Solution for Sample GATE Mock Test - Civil Engineering (CE) - Question 6

The passage points out that the oral form of vaccine will allow Swine Flu to be greatly reduced among the children who are more susceptible to catching the Flu (as compared to adults). Undoubtedly, the non painful method of oral vaccination is more likely to encourage the parents to get their children vaccinated who are skeptical of injections that cause pain. Thus, among all the given options, 4 strengthens the given argument. Options 1, 2 and 3 are completely irrelevant and 5 would weaken the argument as it cites the probable negative effects of the new vaccine which will definitely not encourage parents to get their children vaccinated.

Sample GATE Mock Test - Civil Engineering (CE) - Question 7

Four friends Rishabh, Keshav, Lavish and Hemang are out for shopping. Rishabh has less money than three times the amount that Keshav has. Lavish has more money than Keshav. Hemang has an amount equal to the difference of amounts with Keshav and Lavish. Rishabh has three times the money with Hemang. Each of them has to buy at least one shorts, or one sleeper, or one sleeveless t-shirt, or one goggle that is priced 200, 400, 600, and 1000 a piece, respectively. Lavish borrows 300 from Rishabh and buys a goggle. Keshav buys a Sleeveless t-shirt after borrowing 100 from Rishabh and is left with no money. Rishabh buys three shorts. What is the costliest item that Hemang could buy with his own money?

Detailed Solution for Sample GATE Mock Test - Civil Engineering (CE) - Question 7

Let, Rishabh has 'P' amount of money, Keshav has 'Q' amount of money, Lavish has 'R' amount of money, and Hemang has 'S' amount of money.

Therefore, according to the question

P < 3 × Q

R > Q,

S = R - Q

P = 3 × S

Also, Lavish borrows 300 from Rishabh and buys a goggle and Keshav buys a Sleeveless t-shirt after borrowing 100 from Rishabh and is left with no money. Implies that, 

Q = 600 - 100 (Rishabh) = 500

R ≥ 1000 - 300 (Rishabh) ≥ 700

Also, Rishabh buys three shorts means he has a minimum of 1000 (100 + 300 + 3 × 200 = 1000) and the maximum is less than 3Q.

Therefore, 1000 ≤ P < 3Q

1000 ≤ P < 3 × 500

1000 ≤ P < 1500

Since Rishabh has three times the money with Hemang

1000 ≤ 3 × S  < 1500

333 ≤  S  < 500

Hence, Hemang could buy a sleeper with his own money.

Sample GATE Mock Test - Civil Engineering (CE) - Question 8

I wouldn’t _______ with a soldier who was wearing a metal _______, awarded for a display of _______.

The words that best fill the blanks in the above sentence are:

Detailed Solution for Sample GATE Mock Test - Civil Engineering (CE) - Question 8

The sentence implies that I would not poke a soldier who was wearing a metal medal which was awarded for the display of determination.

The meaning of the words is:

Meddle: interfere in something that is not one's concern

Medal: a metal disc typically of the size of a large coin and bearing an inscription or design, made to commemorate an event or awarded as a distinction to someone such as a soldier or athlete

Mettle: a person's ability to cope well with difficulties; spirit and resilience

Therefore, the correct sequence of words to fill in the blanks is option 2.

*Answer can only contain numeric values
Sample GATE Mock Test - Civil Engineering (CE) - Question 9

A paper sheet is in the shape of a right angle triangle and cut along a line parallel to hypotenuse leaving a smaller triangle. There was 25% reduction in the length of the hypotenuse of the triangle. If area of triangle initially was 28 cm2 then area of smaller triangle will be ______ cm2.


Detailed Solution for Sample GATE Mock Test - Civil Engineering (CE) - Question 9

Let PQR is the initial triangle and SQT is the final triangle.

ΔPQR is similar to ΔSQT

∵ ST = 0.75 PR

∴ SQ = 0.75 PQ

And QT = 0.75 QR

Initial Area = ×QR×PQ = 28cm

Final Area = ×QT×QS 

=×0.75QR×0.75PQ 

= (0.75)2 × 28 = 15.75 cm2

Sample GATE Mock Test - Civil Engineering (CE) - Question 10

A drinks machine offers three selections - Tea, Coffee or Random but the machine has been wired up wrongly so that each button does not give what it claims. If each drink costs 50p, how much minimum money do you have to put into the machine to work out which button gives which selection?

Detailed Solution for Sample GATE Mock Test - Civil Engineering (CE) - Question 10

For the first drink press, the button labelled Random. We know this is NOT the Random button so if it dispenses Tea it is the Tea button likewise if it dispenses Coffee it is the Coffee button. From here it is simple to work out the other buttons knowing that they can't be what they say they are.

There are only two possible combinations each only requires 50p, or one goes to find it.

Sample GATE Mock Test - Civil Engineering (CE) - Question 11

Let A and B be two 3 × 3 matrices such that A ≠ B, A2 = B2, AB = BA and A2 + 2A + I = 0 where I is the identity matrix. Let |T| denote the determinant of any matrix T. Then

Detailed Solution for Sample GATE Mock Test - Civil Engineering (CE) - Question 11

(A + B) (A - B) = A2 - AB + BA - B2

Given that, AB = BA

⇒ (A + B) (A - B) = A2 - B2

Given that A2 = B2 ⇒ A2 - B2 = 0

⇒ (A + B) (A - B) = 0

Given that, A ≠ B

⇒ A + B = 0

⇒ |A + B| = 0

Given that,

A2 + 2A + I = 0

Multiply both sides with A-1

⇒ (A2 + 2A + I) A-1 = 0

⇒ A + 2I + A-1 = 0

⇒ A-1 = -A - 2I

A-1 is exists hence |A| ≠ 0

*Answer can only contain numeric values
Sample GATE Mock Test - Civil Engineering (CE) - Question 12

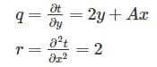
The positive value of A for which the equation f(x,y) = x2 + y+ Axy + 5x + 18, does not yields optimum values (i.e. no conclusion can be drawn on the nature of f(x,y) ) and required further investigation ______.


Detailed Solution for Sample GATE Mock Test - Civil Engineering (CE) - Question 12

f(x, y) = x2 + y2 + Axy + 5x + 18

For the case to require further investigation

(r × t) – s2 should be equal to zero

∴ (r × t) – s2 = 0

⇒ (2 × 2) – A2 =0

⇒ A = 2

Sample GATE Mock Test - Civil Engineering (CE) - Question 13

Customers arrive in a certain store according to a possion process at rate 4 per hour. Given that the store opens at 9.00 am what is the probability that exactly 1 customer has arrived by 9:30

Detailed Solution for Sample GATE Mock Test - Civil Engineering (CE) - Question 13

For ½ h 

Sample GATE Mock Test - Civil Engineering (CE) - Question 14

The differential equation 4yy’ - 12x = 0, satisfying condition y (1) = 3. Then the point (5, 3) will lie:

Detailed Solution for Sample GATE Mock Test - Civil Engineering (CE) - Question 14

Since given differential equation is

4yy’ - 12x = 0

4y dy = + 12x dx

On integrating both the sides

2y2 = 6x2 + c

2y2 - 6x2 = c

Given y (1) = 3

Thus, 2(3)2 - 6(1)2 = c

18 - 6 = C

C = 12

Thus, 2y2 - 6x= 12

Now, f (x, y) = 2y2 - 6x2 - 12

At point (5, 3)

= 50 - 54 - 12

= -16

Thus, the point will lie inside the solution curve.

*Answer can only contain numeric values
Sample GATE Mock Test - Civil Engineering (CE) - Question 15

For a certain distributed data, the middle observation is 10 and mean observation is 8. The maximum occurring data is____


Detailed Solution for Sample GATE Mock Test - Civil Engineering (CE) - Question 15

Mode = 3 medium – 2 mean

= 3 (10) – 2(8)

= 30 – 16

=14

Sample GATE Mock Test - Civil Engineering (CE) - Question 16

As per IS 456:2000, the diagonal tension failure in RCC beams depends upon:

Detailed Solution for Sample GATE Mock Test - Civil Engineering (CE) - Question 16

According to Table No. 19 of IS 456:2000,

The allowable shear stress (design shear strength) depends on both percentage of longitudinal steel provided and grade of concrete used in the beam.

Sample GATE Mock Test - Civil Engineering (CE) - Question 17

The technique utilized for the disposal of biomedical waste​, in which it is in contact with steam under controlled pressure and temperature condition with the end goal to complete sterilization is

Detailed Solution for Sample GATE Mock Test - Civil Engineering (CE) - Question 17

Autoclaving: - The method used for the disposal of biomedical waste is , in which it is brought in closed contact with steam under controlled pressure and temperature condition in order to carry out disinfection.

Pulverization and Shredding:  Basically this is not a method of disposal but in these method heavier solids are broken into the lighter one either by cutting action or by grinding action.

Pulverization refers to the action of crushing and grinding, whereas shredding refers to the action of cutting and tearing.

Pyrolysis: is a method of disposal of the refuse in which burning of refuse is generally done at high temperature in the almost absence of oxygen.

 

Sample GATE Mock Test - Civil Engineering (CE) - Question 18

As per Indian Road Congress (IRC) the stripping value of aggregate should not exceed X% for the use in bituminous surface dressing, penetration macadam, bituminous macadam, and carpet construction when aggregate coated with bitumen is immersed in water bath at YoC for Z hours. The value of X, Y and Z will, respectively, be

Detailed Solution for Sample GATE Mock Test - Civil Engineering (CE) - Question 18

The stripping value of aggregates is determined as the ratio of the uncovered area observed visually to the total area of aggregates, expressed as a percentage. If the road aggregates are dry and free from dust then the bitumen adheres well to all normal types of aggregate. In the absence of water there is practically no problem of adhesion with bituminous construction. Adhesion problem occurs when the aggregate is wet and cold. This problem can be dealt with by removing moisture from the aggregate by drying and increasing the mixing temperature. Further, the presence of water causes stripping of binder from the coated aggregates. This problems occur when bitumen mixture is permeable to water.

Static immersion test is one specified by IRC and is quite simple. As per Indian Road Congress (IRC) the stripping value of aggregate should not exceed 5% for the use in bituminous surface dressing, penetration macadam, bituminous macadam, and carpet construction when aggregate coated with bitumen is immersed in water bath at 48oC for 24 hours. 

Sample GATE Mock Test - Civil Engineering (CE) - Question 19

The laboratory test results of the soil sample are given below:

Liquid limit = 37%

Plastic limit = 22%

% passing through 75 μ sieve = 26%

% retained over 4.75 mm IS sieve = 65%

% retained over 0.075 mm but passing through 4.75 mm = 26%

As per IS 1498 – 1970, the soil is classified as:

Detailed Solution for Sample GATE Mock Test - Civil Engineering (CE) - Question 19

% passing through 75 μ sieve = 26%

% retained over 75 μ sieve = 100 – 26% = 74 % > 50%

Hence the soil is coarse grained soil.

As, larger proportion of soil is retained over 4.75 mm IS sieve, so the soil is termed as Gravel.

Now, % fineness = 26% > 12%

So, use Ip to further classify the soil

IP = wL - wP = 37 – 22 = 15%

IP = 15% > 7%

So, soil is termed as clayey Gravel

Sample GATE Mock Test - Civil Engineering (CE) - Question 20

What will be range of plasticity index for the fine grained soil below A - line having intermediate compressibility in the plasticity chart.

Detailed Solution for Sample GATE Mock Test - Civil Engineering (CE) - Question 20

As liquid limit (w2) for lined grained soils having intermediate compressibility is:

35% ≤ WL ≤ 50%

Ip = 0.73 [WL - 20]

For WL = 35%

Ip = 10.95

For WL = 50%

Ip = 21.9

Range 10.95 ≤ Ip ≤ 21.9

Sample GATE Mock Test - Civil Engineering (CE) - Question 21

A tank full of water is shown in figure below,

Assume width of tank to be 1.5m.

Identify the correct statement made:

Detailed Solution for Sample GATE Mock Test - Civil Engineering (CE) - Question 21

Weight of water in the tank = ρw g × volume of tank

Volume of tank = 3 × 4 × 1.5 + 0.8 × 1.2 × 1.5

Volume of tank = 19.44m3

Weight of water in the tank = 1000 × 9.81 × 19.44

W = 190.706 kN

Hydrostatic Force at the bottom of the tank

Pbottom = ρw gh A

Pbottom = 1000 × 9.81 × 5.2 × 0.8 × 1.5

Pbottom = 61.21 kN

Hydrostatic Paradox occurs when the total weight of water in the tank is less than the total pressure at the bottom of the tank.

But in the case, total weight of water in the tank is more than the total pressure at bottom of the tank, so there is no Hydrostatic Paradox.

Sample GATE Mock Test - Civil Engineering (CE) - Question 22

Consider the following Statement:

P) Creep or creep length is the length of the path travelled by the percolating water.

Q) The head loss per unit length of creep is constant throughout the percolating passage.

R) There is no difference between horizontal and vertical creep.

Which of the following is not an assumption of Bligh Creep theory?

Detailed Solution for Sample GATE Mock Test - Civil Engineering (CE) - Question 22

Assumptions involved in Bligh Creep Theory:

1) The water percolating through sub-surface condition creeps along the base profile of the impervious floor. Creep or creep length is the length of the path travelled by the percolating water.

2) The head loss per unit length of creep is constant throughout the percolating passage. Leading to the conclusion that the loss of head is proportional to the length of creep.

3) There is no difference between horizontal and vertical creep.

Sample GATE Mock Test - Civil Engineering (CE) - Question 23

The static indeterminacy of the plane frame shown in figure below is?

Detailed Solution for Sample GATE Mock Test - Civil Engineering (CE) - Question 23

Concept:

Static indeterminacy of the plane frame.

Ds = R - re - rr

R = No. of unknown reaction components

re = No. of equilibrium conditions available

rr = Released reaction = m – 1

m = no. of member meeting at Hinge Joint [internal]

R = 13

re = 3         [∑FH = 0, ∑FV = 0, ∑FZ = 0]

rr = m – 1

rr = 3 – 1 = 2

Ds = 13 – 3 – 2

Ds = 8

Sample GATE Mock Test - Civil Engineering (CE) - Question 24

A three hinge parabolic arch is subjected to uniformly distributed load as shown in figure below

If there is an increase in temperature by 10°C, then the final change in rise of crown will be?

Take coefficient of thermal expansion = 10 × 10-6 per ° C.

Detailed Solution for Sample GATE Mock Test - Civil Engineering (CE) - Question 24

Let l = length of the parabolic three hinge arch

Let T be increase by T°C.

Then, rise of crown will increased by

l = 12 m

h = 3 m

∝ = 10 × 10-6 per °C

T = 10°C

Δh = 1.5 × 10-3 m

Δh = 1.5 mm

Final rise of crown = 3000 + 1.5

= 3001.5 mm

Initial rise of crown = 3000 mm

Change = 3001.5 – 3000 = 1.5 mm.

Sample GATE Mock Test - Civil Engineering (CE) - Question 25

Following statements are made with regard to temporary adjustment of a theodolite:

P. Levelling is done before centring of a theodolite.

Q. centring is done before levelling of a theodolite.

R. After centring and levelling, the eye piece is to be focused to make the cross hairs distinct and clear.

S. After focusing the eye piece, the objective is to be focused to bring the image of the object in the plane of cross-hairs.

Detailed Solution for Sample GATE Mock Test - Civil Engineering (CE) - Question 25

The adjustments to be made at every setting of the instrument are called temporary adjustments.

Following are the five temporary adjustments are required:

1. Setting up: Tripod stand is set on the ground firmly so that its top is at a convenient height.

2. Centring: It is done to place the vertical axis exactly over the station mark

3. Levelling: The levelling is done to make the vertical axis of the instrument truly vertical or to make horizontal plate truly horizontal

4. Focusing the eye piece: The eye piece is focused to make the cross hairs distinct and clear

5. Focusing the objective: This is done to bring the image of the object in plane of the cross hairs

Sample GATE Mock Test - Civil Engineering (CE) - Question 26

The refraction correction required for taking a staff reading held at 3 km from the instrument is ______ cms.

Detailed Solution for Sample GATE Mock Test - Civil Engineering (CE) - Question 26

Refraction correction is given by

CR = +0.0112 D2

Where,

D = distance in (kms)

CR = correction in (metres)

For D = 3 km

CR = 0.1008 m = 10.08 cm

Sample GATE Mock Test - Civil Engineering (CE) - Question 27

The coefficient of restitution between a snooker ball and side cushion is 0.4. If the ball hits the cushion and then rebounds at an angle of 90° to the original direction then angle made by the ball with side cushion before and after impact will respectively be

Detailed Solution for Sample GATE Mock Test - Civil Engineering (CE) - Question 27

The coefficient of restitution,

After impact

From equation (1) and (2)

v = 0.4 μ sin θ and

⇒ tan2θ =2.5

⇒ θ = 57.7°

∴ (90 – θ) = 32.3°

Sample GATE Mock Test - Civil Engineering (CE) - Question 28

The float that can be used by an activity without affecting successor activities is 

Detailed Solution for Sample GATE Mock Test - Civil Engineering (CE) - Question 28

Free Float is that portion of total float that can be used by an activity without affecting successor activities i.e. the successor activity can start at their Earliest Start Time (EST). But the preceding activities are affected by free float. 

Free Float = Total Float - Head event Slack

Sample GATE Mock Test - Civil Engineering (CE) - Question 29

As per Indian road congress, the suggested expression for the design of overlay thickness equivalent to granular material of WBM layer is

Where, h0 = thickness of granular or WBM overlay in mm

Dc = characteristic deflection.

Da = allowable deflection

The value of Da if the projected design traffic is 450 to 1500 is

Detailed Solution for Sample GATE Mock Test - Civil Engineering (CE) - Question 29

Da = Allowable deflection which depends upon the pavement type and the desired design life.

Projected design traffic

Where, P = Present traffic.

R = % annual increase in traffic.

  • N = deign life of pavement
*Answer can only contain numeric values
Sample GATE Mock Test - Civil Engineering (CE) - Question 30

A flow fluid is represented as u = + 2xy, v = x2 + 2, w = x2 z. What will be the value of y-component of vorticity (in radians per unit time) at point (1, - 2, 0)_____ (up to two decimal places)


Detailed Solution for Sample GATE Mock Test - Civil Engineering (CE) - Question 30

Concept:

Vorticity in y-direction

Ωy = 2 ωy

Calculation:

u = 2xy

at (1, -2, 0)

Ωy = 2 × (-0.5) = -1.0

View more questions
Information about Sample GATE Mock Test - Civil Engineering (CE) Page
In this test you can find the Exam questions for Sample GATE Mock Test - Civil Engineering (CE) solved & explained in the simplest way possible. Besides giving Questions and answers for Sample GATE Mock Test - Civil Engineering (CE), EduRev gives you an ample number of Online tests for practice
Download as PDF