Computer Science Engineering (CSE) Exam  >  Computer Science Engineering (CSE) Tests  >  Test: B+ Tree - Computer Science Engineering (CSE) MCQ

Test: B+ Tree - Computer Science Engineering (CSE) MCQ


Test Description

10 Questions MCQ Test - Test: B+ Tree

Test: B+ Tree for Computer Science Engineering (CSE) 2025 is part of Computer Science Engineering (CSE) preparation. The Test: B+ Tree questions and answers have been prepared according to the Computer Science Engineering (CSE) exam syllabus.The Test: B+ Tree MCQs are made for Computer Science Engineering (CSE) 2025 Exam. Find important definitions, questions, notes, meanings, examples, exercises, MCQs and online tests for Test: B+ Tree below.
Solutions of Test: B+ Tree questions in English are available as part of our course for Computer Science Engineering (CSE) & Test: B+ Tree solutions in Hindi for Computer Science Engineering (CSE) course. Download more important topics, notes, lectures and mock test series for Computer Science Engineering (CSE) Exam by signing up for free. Attempt Test: B+ Tree | 10 questions in 30 minutes | Mock test for Computer Science Engineering (CSE) preparation | Free important questions MCQ to study for Computer Science Engineering (CSE) Exam | Download free PDF with solutions
Test: B+ Tree - Question 1

In a B+ tree, both the internal nodes and the leaves have keys.

Detailed Solution for Test: B+ Tree - Question 1

In a B-tree, both the internal nodes and the leaves contain keys. This means that every node, whether it is an internal node or a leaf, plays a crucial role in maintaining the structure of the tree. The keys help in efficiently locating data, making B-trees suitable for databases and filesystems.

Therefore, the statement is true.

Test: B+ Tree - Question 2

A B+ tree can contain a maximum of 7 pointers in a node. What is the minimum number of keys in leaves?

Detailed Solution for Test: B+ Tree - Question 2

Maximum number of pointers in a node is 7, i.e. the order of the B+ -tree is 7. In a B+ tree of order n each leaf node contains at most n – 1 key and at least ⌈(n − 1)/2⌉ keys. Therefore, a minimum number of keys each leaf can have = ⌈(7 – 1)/2⌉ = 3.

Test: B+ Tree - Question 3

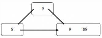
A B+ -tree of order 3 is generated by inserting 89, 9 and 8. The generated B+ -tree is __________

Detailed Solution for Test: B+ Tree - Question 3

In a B+ -tree of order 3 every non-root node has at most 2 keys.
After inserting 89 the tree formed will be, 

After inserting 9

After inserting 8, the node will get overflowed so we split the node and create a new root with key 9. So, the tree formed will be 

Test: B+ Tree - Question 4

Efficiency of finding the next record in B+ tree is ____

Detailed Solution for Test: B+ Tree - Question 4

In a B+ -tree finding the next recored (successor) involves accessing an additional leaf at most. So, the efficiency of finding the next record is O(1).

Test: B+ Tree - Question 5

Which of the following is false?

Detailed Solution for Test: B+ Tree - Question 5

A B+ -tree has larger fanout and therefore have a depth smaller than that of corresponding B-tree.

Test: B+ Tree - Question 6

Which of the following is true?

Detailed Solution for Test: B+ Tree - Question 6

The B+ -tree being a variation of B-tree allows rapid random access. In a B+ -tree the leaves are linked together, so it also provides rapid sequential access.

Test: B+ Tree - Question 7

Which of the following is false?

Detailed Solution for Test: B+ Tree - Question 7

A B+ -tree always grows upwards. And In a B+tree – i)The path from the root to every leaf node is of the same length, so the tree is balanced. ii) Leaves are linked, so allow sequential searching. iii) An index is built with a single key per block of data rather than with one key per data record, so it is shallower than B-tree.

Test: B+ Tree - Question 8

Statement 1: When a node is split during insertion, the middle key is promoted to the parent as well as retained in right half-node.
Statement 2: When a key is deleted from the leaf, it is also deleted from the non-leaf nodes of the tree.

Detailed Solution for Test: B+ Tree - Question 8

During the split, the middle key is retained in the right half node and also promoted to parent node. When a key is deleted from the leaf, it is retained in non-leaves, because it can be still a valid separator between keys in nodes below.

Test: B+ Tree - Question 9

What is the maximum number of keys that a B+ -tree of order 3 and of height 3 have?

Detailed Solution for Test: B+ Tree - Question 9

Test: B+ Tree - Question 10

Which one of the following data structures are preferred in database-system implementation?

Detailed Solution for Test: B+ Tree - Question 10

The database-system implementations use B+ -tree data structure because they can be used for multilevel indexing.

Information about Test: B+ Tree Page
In this test you can find the Exam questions for Test: B+ Tree solved & explained in the simplest way possible. Besides giving Questions and answers for Test: B+ Tree, EduRev gives you an ample number of Online tests for practice
Download as PDF