Mechanical Engineering Exam  >  Mechanical Engineering Tests  >  Test: CPM & PERT Level - 2 - Mechanical Engineering MCQ

Test: CPM & PERT Level - 2 - Mechanical Engineering MCQ


Test Description

20 Questions MCQ Test - Test: CPM & PERT Level - 2

Test: CPM & PERT Level - 2 for Mechanical Engineering 2025 is part of Mechanical Engineering preparation. The Test: CPM & PERT Level - 2 questions and answers have been prepared according to the Mechanical Engineering exam syllabus.The Test: CPM & PERT Level - 2 MCQs are made for Mechanical Engineering 2025 Exam. Find important definitions, questions, notes, meanings, examples, exercises, MCQs and online tests for Test: CPM & PERT Level - 2 below.
Solutions of Test: CPM & PERT Level - 2 questions in English are available as part of our course for Mechanical Engineering & Test: CPM & PERT Level - 2 solutions in Hindi for Mechanical Engineering course. Download more important topics, notes, lectures and mock test series for Mechanical Engineering Exam by signing up for free. Attempt Test: CPM & PERT Level - 2 | 20 questions in 40 minutes | Mock test for Mechanical Engineering preparation | Free important questions MCQ to study for Mechanical Engineering Exam | Download free PDF with solutions
Test: CPM & PERT Level - 2 - Question 1

Which of the following are the guidelines for the construction of a network diagram?

1. Each activity is represented by only one arrow in the network.

2. Two activities can be identified by the same beginning and end events.

3. Dangling must be avoided in a network diagram.

4. Dummy activity consumes no time or resource.

Select the correct answer using the codes given below

Test: CPM & PERT Level - 2 - Question 2

Match List-I (Term) with List-II (Characteristics) and select the correct answer using the code given below the lists:

Test: CPM & PERT Level - 2 - Question 3

Which one of the following statements is not correct?

Detailed Solution for Test: CPM & PERT Level - 2 - Question 3

(A) PERT → Event oriented CPM → Activity oriented

(B) PERT → 3 time estimates are made

to = optimistic time

tm = most likely time

tP = pessimistic time

CPM → only one time estimate

(C) In PERT slack is calculated, CPM floats calculated

(D) Both PERT and CPM are used for project management

Test: CPM & PERT Level - 2 - Question 4

If the earliest starting time for an activity is 10 weeks, the latest finish time is 30 weeks and the duration time of the activity is 11 weeks, then the total float is equal to

Detailed Solution for Test: CPM & PERT Level - 2 - Question 4
T. F. = LSi − ESij − tij = 30 − 10 − 11 = 9

Test: CPM & PERT Level - 2 - Question 5

The earliest occurrence time for event '1' is 8 weeks and the latest occurrence time for event' 1' is 26 weeks. The earliest occurrence time for event '2' is 32 weeks and the latest occurrence time for event '2' is 37 weeks.

If the activity time is 11 weeks, then the total float will be

Detailed Solution for Test: CPM & PERT Level - 2 - Question 5
Total float = 37 − 8 − 11 = 18 days

Test: CPM & PERT Level - 2 - Question 6

Consider an activity having a duration time of Tij. E is the earliest occurrence time and L the latest occurrence time (see figure given).

Consider the following statements in this regard:

1. Total float = Lj − Ei − Tij

2. Free float = Ej − Ei − Tij

3. Slack of the tail event = Lj − Ei

Of these statements

Test: CPM & PERT Level - 2 - Question 7

In a small engineering project, for an activity, the optimistic time is 2 minutes, the most likely time is 5 minutes and the pessimistic time is 8 minutes. What is the expected time of the activity?

Detailed Solution for Test: CPM & PERT Level - 2 - Question 7

Expected time

Test: CPM & PERT Level - 2 - Question 8

Consider the following project network

The number of merge events are

Detailed Solution for Test: CPM & PERT Level - 2 - Question 8
Merge event: If two or more than two activities are having same end event, then that event is known as merge event Merge events: 3, 5, 6, 8

Test: CPM & PERT Level - 2 - Question 9

For the network shown in the given figure, the expected completion time of the project is

Detailed Solution for Test: CPM & PERT Level - 2 - Question 9

Paths are: 1-2-6-8 = 18

1-2-3-4-5-6-8 = 30

1-2-3-4-5-8 = 27

1-2-3-4-7-8 = 26

1-3-4-5-6-8 = 25

1-3-4-5-8 = 22

1-3-4-7-8 = 21

1-4-5-6-8 = 24

1-4-5-8 = 21

1-4-7-8 = 20

Test: CPM & PERT Level - 2 - Question 10

The total float associated with the activity shown below is

Detailed Solution for Test: CPM & PERT Level - 2 - Question 10
Total float = LFT − (EST + Tij)

= 60 − (20 + 24)

= 16

Test: CPM & PERT Level - 2 - Question 11

Consider the network. Activity times are given in number of days. The earliest expected occurrence time (TE) for event 50 is

Detailed Solution for Test: CPM & PERT Level - 2 - Question 11

Given:

  • Activity times (te) are given on arrows.

  • Nodes are events: 10, 20, 30, 40, 50.

  • TE for some paths are given.

Step 1: Identify possible paths to event 50

From the network, event 50 can be reached via:

  • Path A: 10 → 50 directly, with time 22 days

  • Path B: 10 → 20 → 40 → 50
    Time = 8 (10→20) + 7 (20→40) + 8 (40→50) = 8 + 7 + 8 = 23 days

  • Path C: 10 → 30 → 40 → 50
    Time = 6 (10→30) + 9 (30→40) + 8 (40→50) = 6 + 9 + 8 = 23 days

Step 2: Calculate the earliest expected occurrence time for event 50

  • TE(50) = Maximum of all possible arrival times at node 50.

So,

  • TE(50) = max(22, 23, 23) = 23 days

The earliest expected occurrence time (TE) for event 50 is 23 days.

Test: CPM & PERT Level - 2 - Question 12

The variance (V1) for critical path a → b = 4 time units, b → c = 16 time units, c → d = 4 time units, d → e = 1 time unit. The standard deviation ‘d’ of the critical path a → e is

Detailed Solution for Test: CPM & PERT Level - 2 - Question 12
Standard Deviation = √4 + 16 + 4 + 1 = 5

Test: CPM & PERT Level - 2 - Question 13

Consider an activity ‘A’ which is having the following values:

NC = Rs 100

NT = 3 days

CC = Rs 150

CT = 2 days

Find the cost of crashing activity A’ by single day

Detailed Solution for Test: CPM & PERT Level - 2 - Question 13

*Answer can only contain numeric values
Test: CPM & PERT Level - 2 - Question 14

A project consist of following activities

Minimum time required to complete the project in (days) is __________


Detailed Solution for Test: CPM & PERT Level - 2 - Question 14

A‐ D‐ G = 4 + 5 + 8 = 17

A‐C‐E‐G = 4 + 6 + 5 + 8 = 23

B‐ E‐ G = 6 + 5 + 8 = 19

B‐ F = 6 + 6 = 12

A‐ C‐ F = 4 + 6 + 6 = 16

Test: CPM & PERT Level - 2 - Question 15

For the given project, to draw a network diagram how many dummy activities are required?

Detailed Solution for Test: CPM & PERT Level - 2 - Question 15

No. of dummy activities required = 2

Test: CPM & PERT Level - 2 - Question 16

In the network shown below. The critical path is along

Detailed Solution for Test: CPM & PERT Level - 2 - Question 16

1-2-3-4-8-9 = 21

1-2-3-4-7-8-9 = 22

1-2-3-5-6-7-8-9 = 24

1-2-5-6-7-8-9 = 22

Test: CPM & PERT Level - 2 - Question 17

The optimistic, most likely, and pessimistic estimates of time for an activity are 4 days, 11 days, and 12 days respectively. The expected completion time of this activity is.

Detailed Solution for Test: CPM & PERT Level - 2 - Question 17

Concept: The PERT (Project Evaluation and Review Technique) technique is used when activity time estimates are stochastic in nature. For each activity, three values of time (optimistic, most likely, pessimistic) are estimated:

  • Optimistic time (tₒ): The shortest possible time required for the completion of the activity.

  • Most likely time (tₘ): The time required for the completion of activity under normal circumstances.

  • Pessimistic time (tₚ): The longest possible time required for the completion of the activity.

In PERT, the expected time of an activity is determined using the following formula:

Expected time (tₑ) = (tₒ + 4tₘ + tₚ) / 6

Variance: σ² = [(tₚ - tₒ) / 6]²

Calculation: tₑ = (4 + 4(11) + 12) / 6 = 10 days

*Answer can only contain numeric values
Test: CPM & PERT Level - 2 - Question 18

Consider the following project find the critical path duration.


Detailed Solution for Test: CPM & PERT Level - 2 - Question 18

A‐ C = 9

A‐ D = 7

B‐ D = 8

Test: CPM & PERT Level - 2 - Question 19

The expected project completion time is found to be 34 days. The standard deviation of the critical path is 5 days. Find the probability of completing the project in 39 days.

Detailed Solution for Test: CPM & PERT Level - 2 - Question 19

P = 0.84

Test: CPM & PERT Level - 2 - Question 20

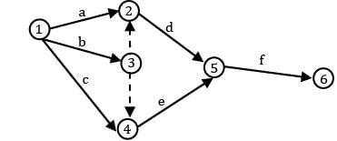
For the project network shown below calculate latest finish time of node 4.

Detailed Solution for Test: CPM & PERT Level - 2 - Question 20

Information about Test: CPM & PERT Level - 2 Page
In this test you can find the Exam questions for Test: CPM & PERT Level - 2 solved & explained in the simplest way possible. Besides giving Questions and answers for Test: CPM & PERT Level - 2, EduRev gives you an ample number of Online tests for practice
Download as PDF