UGC NET Exam  >  UGC NET Tests  >  Test: CSIR-NET Chemical Sciences Mock Test - 8 - UGC NET MCQ

Test: CSIR-NET Chemical Sciences Mock Test - 8 - UGC NET MCQ


Test Description

30 Questions MCQ Test - Test: CSIR-NET Chemical Sciences Mock Test - 8

Test: CSIR-NET Chemical Sciences Mock Test - 8 for UGC NET 2025 is part of UGC NET preparation. The Test: CSIR-NET Chemical Sciences Mock Test - 8 questions and answers have been prepared according to the UGC NET exam syllabus.The Test: CSIR-NET Chemical Sciences Mock Test - 8 MCQs are made for UGC NET 2025 Exam. Find important definitions, questions, notes, meanings, examples, exercises, MCQs and online tests for Test: CSIR-NET Chemical Sciences Mock Test - 8 below.
Solutions of Test: CSIR-NET Chemical Sciences Mock Test - 8 questions in English are available as part of our course for UGC NET & Test: CSIR-NET Chemical Sciences Mock Test - 8 solutions in Hindi for UGC NET course. Download more important topics, notes, lectures and mock test series for UGC NET Exam by signing up for free. Attempt Test: CSIR-NET Chemical Sciences Mock Test - 8 | 75 questions in 180 minutes | Mock test for UGC NET preparation | Free important questions MCQ to study for UGC NET Exam | Download free PDF with solutions
Test: CSIR-NET Chemical Sciences Mock Test - 8 - Question 1

The sugar unit present in DNA is derived from-

Detailed Solution for Test: CSIR-NET Chemical Sciences Mock Test - 8 - Question 1
  • Sugar unit present in DNA is derived from Deoxyribose.
  • The DNA molecule is a polymer of nucleotides. Each nucleotide is composed of a nitrogenous base, a five-carbon sugar i.e. Deoxyribose, and a phosphate group.
Test: CSIR-NET Chemical Sciences Mock Test - 8 - Question 2

The next term in the series
2, 5, 10, 17, 26, 37, ___?___ is:

Detailed Solution for Test: CSIR-NET Chemical Sciences Mock Test - 8 - Question 2


So, option A is the right answer.

Test: CSIR-NET Chemical Sciences Mock Test - 8 - Question 3

What is Threshold Frequency?

Detailed Solution for Test: CSIR-NET Chemical Sciences Mock Test - 8 - Question 3

The Threshold Frequency is the minimum frequency of radiation that will produce a photoelectric effect.

  • Einstein explained this discrepancy in 1905 with a theory that light carried discrete packets of energy called “quanta” (now “photons”) and that each “quantum” has an energy EE, which is related to its frequency νν by the Planck (or Planck-Einstein) Relation: E=hνE=hν.
  • He won the Nobel Prize for this work.
Test: CSIR-NET Chemical Sciences Mock Test - 8 - Question 4

At present a person is 4 time older than his son and is 3 years older than his wife. After 3 years the age of the son will be 15 years. The age of the person’s wife after 5 years will be:

Detailed Solution for Test: CSIR-NET Chemical Sciences Mock Test - 8 - Question 4

3 years hence, son’s age = 15
Therefore, present age of son=15-3 = 12 years
Person present age= present age of son * 4 =12*4 = 48 years
Wife present age= Person present age -3 = 48-3 = 45 years
After 5 years’ person wife’s age = 45 + 5 = 50 years.

Test: CSIR-NET Chemical Sciences Mock Test - 8 - Question 5

Which is a terrestrial ecosystem?

Detailed Solution for Test: CSIR-NET Chemical Sciences Mock Test - 8 - Question 5

A terrestrial ecosystem is an ecosystem found on landforms only.
The primary terrestrial ecosystems are tundra, taiga, temperate deciduous forest, grassland, desert.

Test: CSIR-NET Chemical Sciences Mock Test - 8 - Question 6

Assertion (A): Informal fallacies have a defect because of the poor form of the argument.
Reasoning  (R): Informal fallacies have good form in the argument itself, but there is a defect in the content.

Detailed Solution for Test: CSIR-NET Chemical Sciences Mock Test - 8 - Question 6

An assertion is incorrect because formal fallacies have a defect because of the poor form of the argument.
The informal fallacy has a defect in the content of the arguments.
So, Assertion is incorrect and Reason is correct. 
So, option B is the correct answer.

Test: CSIR-NET Chemical Sciences Mock Test - 8 - Question 7

The ratio of two numbers a and b is 3:7. After adding 9 to each number, the ratio becomes 9:17. The numbers a and b are:

Detailed Solution for Test: CSIR-NET Chemical Sciences Mock Test - 8 - Question 7

Let the number be 3x and 7x.
(3x+9):(7x+9) = 9:17, or
17(3x+9) = 9(7x+9), or
51x+153 = 63x+81, or
x = 6
Therefore the numbers are :-
First number = 3x = 3*6 = 18
Second number = 7x = 7*6 = 42
So, the correct option is (D)

Test: CSIR-NET Chemical Sciences Mock Test - 8 - Question 8

Single-grain density and bulk density of four varieties of grains are given in the table. If we take 1 kg of each of these, which one will have the largest volume?

Detailed Solution for Test: CSIR-NET Chemical Sciences Mock Test - 8 - Question 8

Density = Mass/Volume
For rice, volume = (1000/1.13) + (1000/0.56) = 2670 cm3
For wheat, volume = (1000/1.39) + (1000/0.80) = 1969 cm3
For millet, volume = (1000/1.27) + (1000/0.77) = 2086 cm3
For maize, volume = (1000/0.97) + (1000/0.68) = 2510 cm3
∴ Rice have largest volume.

Test: CSIR-NET Chemical Sciences Mock Test - 8 - Question 9

Suppose there are 6 non-stop flights from Chennai to Mumbai in the morning and 4 non-stop flights from Mumbai to Goa in the evening. In how many ways can one fly from Chennai to Goa via Mumbai using these flights in a day?

Detailed Solution for Test: CSIR-NET Chemical Sciences Mock Test - 8 - Question 9

Number of ways of going from Chennai to Mumbai = 6
Number of ways of going from Mumbai to Goa = 4
∴ The number of ways of going from Chennai to Goa 
= 6 × 4
= 24 ways.

Test: CSIR-NET Chemical Sciences Mock Test - 8 - Question 10

The present age of a father is square of the age of his son. After six years, the age of the father would be 3(1/2) times the age of the son. The present age of the father is

Detailed Solution for Test: CSIR-NET Chemical Sciences Mock Test - 8 - Question 10

Let present age of father be 'x' years and present age of son be 'y' years.
At present, x = y2...(i)
After 6 years, (x + 6) = 7/2(y + 6)
⇒ 2(x + 6) = 7(y + 6)
⇒ 2x + 12 = 7y + 42
⇒ 2x = 7y + 30
⇒ 2y2 = 7y + 30 [Using (i)]
⇒ 2y2 - 7y - 30 = 0
⇒ y = 6, −(5/2)
∴ Present age of son = 6 years [∵ age cannot be negative]
∴ Present age of father = 62 = 36 years

Test: CSIR-NET Chemical Sciences Mock Test - 8 - Question 11

A bug moves in a straight line from a point A0 to a point A1 1 cm away. It then turns by an angle of 90° and moves straight another 1 cm to reach a point A2. Then it moves 1 cm perpendicular to the line joining A0 to A2 to a point A3. It continues this way as shown, moving 1cm every time till it reaches a point A25. What is the straight line distance from A0 to A25?

Detailed Solution for Test: CSIR-NET Chemical Sciences Mock Test - 8 - Question 11


Given,
A0A= 1 cm, A1A2 = 1 cm
Let's Consider the Triangle A0A1A2 
As this is a right angled triangle to get A0A= √ (12 + 12 ) = √2
Coming to Triangle A0A2A
As this is a right angled triangle to get A 0A3 = √(A0A2+ A2A32) = √ (√22 + 12 ) = √3
Simillarly for distance A0A4 = √(A0A32 + A3A42) = √ (√32 + 12 ) = √4
On Continuing we get A0A24 = √24 
A0A25 = √ (A0A242 + A24A252) = √ (√242 + 12) = √25 = 5

Test: CSIR-NET Chemical Sciences Mock Test - 8 - Question 12

There are 150 vehicles in a parking place. Each vehicle is either a bike or a car, and is either red or green. Sixty vehicles are red, and 100 vehicles are cars. If there are 20 green bikes, how many red cars are there?

Detailed Solution for Test: CSIR-NET Chemical Sciences Mock Test - 8 - Question 12

Let number of :
red cars = x
green car = y
red bike = z
green bike = w
According to the questions, x + y + z + w = 150...(i)
x + z = 60...(ii)
x + y = 100...(iii)
and, w = 20...(iv)
∴ (i) ⇒ 100 + z + 20 = 150 [Using (iii) and (iv)]
⇒ z = 30
Putting value of z in (ii) 
⇒ x + 30 = 60
⇒ x = 30
∴ Number of red cars = 30

Test: CSIR-NET Chemical Sciences Mock Test - 8 - Question 13

The number of times the minute hand and the hour hand, in a clock, are exactly above each other (i.e. angle between them is zero) from 1 am of a day to 1 am on the next day is

Detailed Solution for Test: CSIR-NET Chemical Sciences Mock Test - 8 - Question 13

From 1 am ,in every 12 hours the minute hand and the hour hand are exactly above each other 11 times.
⇒ In 24 hours they are exactly above each other 22 times
∴ From 1 am of a day to 1 am on the next day the minute hand and the hour hand are exactly above each other 22 times.

Test: CSIR-NET Chemical Sciences Mock Test - 8 - Question 14

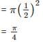
The shaded circles having diameter of 1, 0.5, 0.25 and 0.125 cm are inside squares of side 1 cm as shown in the figure. The ratio of shaded area in A and B is one.

The ratio of shaded area in C and D would be

Detailed Solution for Test: CSIR-NET Chemical Sciences Mock Test - 8 - Question 14

In square D, there are 2 circle of diameter 0.5, 4 circles of diameter 0.25 and 16 circles of diameter 0.125
∴ Shaded area of C

Shaded area of D

= π/4
Ratio of shaded area = 
∴ The ratio of shaded area in C and D would be 1.
If any square plane is covered by a single circle or by n different circles, in both cases the shaded area will be same.

Test: CSIR-NET Chemical Sciences Mock Test - 8 - Question 15

Each person in a group of teachers and students is given the same number of chocolates as the number of students. If 4 more students are added then in order to have the same number of chocolates per person as earlier, 28 more chocolates are needed. The total number of students now is

Detailed Solution for Test: CSIR-NET Chemical Sciences Mock Test - 8 - Question 15

Let number of students = s
and, number of teachers = t
Initially, each person is given the same number of chocolates as the number of students
⇒ Number of chocolates per person = s
⇒ Total number of chocolates = s(t + s) = ts + s2
Now, when 4 more students, total number of chocolates (considering same number of chocolates as earlier)
= s(t + s + 4)
= st + s2 + 4s
According to the question; st + s2 + 4s = ts + s2 + 28
⇒ 4s = 28
⇒ s = 7
∴ Number of students now = 7 + 4 = 11 students

Test: CSIR-NET Chemical Sciences Mock Test - 8 - Question 16

Methane is at the rate 50 moles is supplied to a reactor with air at the rate 1000 moles, the reactor leaves O2, N2, COand H2O, what is the percentage of N2 in products?

Detailed Solution for Test: CSIR-NET Chemical Sciences Mock Test - 8 - Question 16

The reaction is CH4+ 2O2 → CO2+ 2H2O. O2supplied = 1000*21/100 = 210 moles, N2supplied = 1000*79/100 = 790 moles, ⇒ O2unreacted = 210 – 100 = 110 moles, CO2formed = 50 moles, H2O formed = 100 moles. ⇒ Percentage of N2 = 790/1050*100 = 75.2%.

Test: CSIR-NET Chemical Sciences Mock Test - 8 - Question 17

Change in phase is an example of which process?

Detailed Solution for Test: CSIR-NET Chemical Sciences Mock Test - 8 - Question 17

Change in phase is an irreversible process.

Test: CSIR-NET Chemical Sciences Mock Test - 8 - Question 18

On which factor the rate constant of a reaction does not depend upon?

Detailed Solution for Test: CSIR-NET Chemical Sciences Mock Test - 8 - Question 18

The rate constant of reaction does not depend on concentration of reactant & product (only on nature of reactant & product).

Test: CSIR-NET Chemical Sciences Mock Test - 8 - Question 19

How many chiral stereoisomers can be drawn for CH3CHFCHFCH(CH3)2?

Detailed Solution for Test: CSIR-NET Chemical Sciences Mock Test - 8 - Question 19

CH3CHFCHFCH(CH3)2 contains 2 chiral atoms. So, the number of possible stereoisomers is 4 (22).

Test: CSIR-NET Chemical Sciences Mock Test - 8 - Question 20

Which one of the following statements best describes the enthalpy change of a reaction?

Detailed Solution for Test: CSIR-NET Chemical Sciences Mock Test - 8 - Question 20

The enthalpy change of a reaction is the overall change in enthalpy as a reaction proceeds, taking into account the energy consumed by bond cleavage and the energy liberated by bond formation. The increase in disorder of the system is represented by its entropy, not its enthalpy.

Test: CSIR-NET Chemical Sciences Mock Test - 8 - Question 21

Methane is at the rate 50 moles is supplied to a reactor with air at the rate 1000 moles, the reactor leaves O2, N2, COand H2O, what is the percentage of H2O in products?

Detailed Solution for Test: CSIR-NET Chemical Sciences Mock Test - 8 - Question 21

The reaction is CH4+ 2O→ CO2+ 2H2O. O2supplied = 1000*21/100 = 210 moles, N2supplied = 1000*79/100 = 790 moles, => Osub>2 unreacted = 210 – 100 = 110 moles, COsub>2 formed = 50 moles, Hsub>2O formed = 100 moles. ⇒ Percentage of H2O = 100/1050*100 = 9.5%

Test: CSIR-NET Chemical Sciences Mock Test - 8 - Question 22

Acetone reacts with HCN to form a cyanohydrin. It is an example of which type of reaction?

Detailed Solution for Test: CSIR-NET Chemical Sciences Mock Test - 8 - Question 22

In the reaction, Acetone reacts with HCN to form a cyanohydrin, dissociated proton from HCN activates the carbonyl, which facilitates the nucleophilic attack of CN.

Test: CSIR-NET Chemical Sciences Mock Test - 8 - Question 23

How much nitrogen must be added to a 20% nitrogen solution to obtain 100 Kg of 40% nitrogen solution?

Detailed Solution for Test: CSIR-NET Chemical Sciences Mock Test - 8 - Question 23

Let the amount of nitrogen added be x, and amount of 20% nitrogen solution be P. Nitrogen balance: x + 0.2(P) = 0.4(100), Water balance: 0.8(P) = 0.6(100), ⇒ P = 75 Kg, ⇒ x = 0.4(100) – 0.2(75), ⇒ x = 25 Kg.

Test: CSIR-NET Chemical Sciences Mock Test - 8 - Question 24

 Which of the following statement is incorrect about nucleophiles?

Detailed Solution for Test: CSIR-NET Chemical Sciences Mock Test - 8 - Question 24

A nucleophile is a chemical species that donates an electron pair to an electrophile to form a chemical bond in relation to a reaction, it is an electron rich species.

Test: CSIR-NET Chemical Sciences Mock Test - 8 - Question 25

Which of the following is the definition of a pair of diastereomers?

Detailed Solution for Test: CSIR-NET Chemical Sciences Mock Test - 8 - Question 25

Not all stereoisomers are diastereomers. For example, a pair of molecules which are non-superimposable mirror images of one another are enantiomers, not diastereomers.

Test: CSIR-NET Chemical Sciences Mock Test - 8 - Question 26

1 mole glucose reacts completely with excess air, if 25 liter of bone dry air is produced at 27oC and 5 atm, what is the humidity?

Detailed Solution for Test: CSIR-NET Chemical Sciences Mock Test - 8 - Question 26

Moles of bone dry air = 5, moles of H2O produced = 6, ⇒ humidity = 6/5*100 = 120%.

Test: CSIR-NET Chemical Sciences Mock Test - 8 - Question 27

The rate of reaction that does not involve gases, is not dependent on:

Detailed Solution for Test: CSIR-NET Chemical Sciences Mock Test - 8 - Question 27

The rate of reaction that does not involve gases does not depend on pressure.

Test: CSIR-NET Chemical Sciences Mock Test - 8 - Question 28

What is the pressure of 1 mole of an ideal gas at 27ºC occupying 1 Liter of volume?

Detailed Solution for Test: CSIR-NET Chemical Sciences Mock Test - 8 - Question 28

For ideal gas PV = nRT, ⇒ P = 1*0.0821*300/1 = 24.63 atm.

Test: CSIR-NET Chemical Sciences Mock Test - 8 - Question 29

Which of the following compounds can exhibit geometrical isomerism?

Detailed Solution for Test: CSIR-NET Chemical Sciences Mock Test - 8 - Question 29

There are several isomers of hexene, depending on the position and geometry of the double bond in the chain. One of the most common industrially useful isomers is 1-hexene an alpha-olefin.

Test: CSIR-NET Chemical Sciences Mock Test - 8 - Question 30

The rate of flow in stream with 50% O2 and 50% CO2 is 10 mole/hr, the contained was initially filled with 10 mole of O2, what will be the percentage of O2 in product stream?

Detailed Solution for Test: CSIR-NET Chemical Sciences Mock Test - 8 - Question 30

Percentage of O2 = 15/(10 + 10)*100 = 75%

View more questions
Information about Test: CSIR-NET Chemical Sciences Mock Test - 8 Page
In this test you can find the Exam questions for Test: CSIR-NET Chemical Sciences Mock Test - 8 solved & explained in the simplest way possible. Besides giving Questions and answers for Test: CSIR-NET Chemical Sciences Mock Test - 8, EduRev gives you an ample number of Online tests for practice
Download as PDF