Class 7 Exam  >  Class 7 Tests  >  Test: Exponents and Powers- 1 - Class 7 MCQ

Test: Exponents and Powers- 1 - Class 7 MCQ


Test Description

10 Questions MCQ Test - Test: Exponents and Powers- 1

Test: Exponents and Powers- 1 for Class 7 2025 is part of Class 7 preparation. The Test: Exponents and Powers- 1 questions and answers have been prepared according to the Class 7 exam syllabus.The Test: Exponents and Powers- 1 MCQs are made for Class 7 2025 Exam. Find important definitions, questions, notes, meanings, examples, exercises, MCQs and online tests for Test: Exponents and Powers- 1 below.
Solutions of Test: Exponents and Powers- 1 questions in English are available as part of our course for Class 7 & Test: Exponents and Powers- 1 solutions in Hindi for Class 7 course. Download more important topics, notes, lectures and mock test series for Class 7 Exam by signing up for free. Attempt Test: Exponents and Powers- 1 | 10 questions in 20 minutes | Mock test for Class 7 preparation | Free important questions MCQ to study for Class 7 Exam | Download free PDF with solutions
Test: Exponents and Powers- 1 - Question 1

What is the base of the exponent 96?

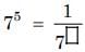
Test: Exponents and Powers- 1 - Question 2

Find the missing number

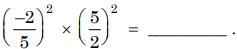
Test: Exponents and Powers- 1 - Question 3

Find 

Test: Exponents and Powers- 1 - Question 4

Find the value of (32)2.

Test: Exponents and Powers- 1 - Question 5

Calculate 25 + 52

Test: Exponents and Powers- 1 - Question 6

Find the value of 32 × 23

Test: Exponents and Powers- 1 - Question 7

If (x5 × x–2)2 = 64, what is x?

Test: Exponents and Powers- 1 - Question 8

13 + 1–3 = ?

Test: Exponents and Powers- 1 - Question 9

Find the value (211 + 32 – 51)0.

Test: Exponents and Powers- 1 - Question 10

Find the value of a2b3 when a = 2 and b = 3.

Information about Test: Exponents and Powers- 1 Page
In this test you can find the Exam questions for Test: Exponents and Powers- 1 solved & explained in the simplest way possible. Besides giving Questions and answers for Test: Exponents and Powers- 1, EduRev gives you an ample number of Online tests for practice
Download as PDF