CBSE Class 8  >  Class 8 Test  >  Mathematics (Maths)   >  Test: Factorisation- 2 - Class 8 MCQ

Test: Factorisation- 2 - Class 8 MCQ


Test Description

10 Questions MCQ Test Mathematics (Maths) Class 8 - Test: Factorisation- 2

Test: Factorisation- 2 for Class 8 2026 is part of Mathematics (Maths) Class 8 preparation. The Test: Factorisation- 2 questions and answers have been prepared according to the Class 8 exam syllabus.The Test: Factorisation- 2 MCQs are made for Class 8 2026 Exam. Find important definitions, questions, notes, meanings, examples, exercises, MCQs and online tests for Test: Factorisation- 2 below.
Solutions of Test: Factorisation- 2 questions in English are available as part of our Mathematics (Maths) Class 8 for Class 8 & Test: Factorisation- 2 solutions in Hindi for Mathematics (Maths) Class 8 course. Download more important topics, notes, lectures and mock test series for Class 8 Exam by signing up for free. Attempt Test: Factorisation- 2 | 10 questions in 10 minutes | Mock test for Class 8 preparation | Free important questions MCQ to study Mathematics (Maths) Class 8 for Class 8 Exam | Download free PDF with solutions
Test: Factorisation- 2 - Question 1

Factorise 12a2b+ 15ab2

Detailed Solution for Test: Factorisation- 2 - Question 1

The correct answer is Option A - 3ab (4a + 5b)

Find the greatest common factor of the numeric coefficients: the numbers 12 and 15 have common factor 3.

Find the common factor in the literal parts: between a2 and a the common power is a, and between b and b2 the common power is b; so the common literal factor is ab.

Combining numeric and literal parts gives the common factor 3ab.

Divide the coefficients by the common numeric factor: 12 ÷ 3 = 4 and 15 ÷ 3 = 5. The remaining literal parts after removing ab are a and b, so the terms become 4a and 5b.

Therefore, after factoring out 3ab the expression becomes 3ab(4a + 5b), which matches the chosen option.

Test: Factorisation- 2 - Question 2

Factorise: x2+ 8x + 16

Detailed Solution for Test: Factorisation- 2 - Question 2

C ) (x2 +8x +16)
= (x2 + 4x + 4x + 16)
= ( x2 + 4x ) + (4x + 16 )
= x(x + 4 ) +4(x + 4 )
=(x + 4)(x + 4)
=(x + 4)2 

Test: Factorisation- 2 - Question 3

Solve: –20(x)÷ 10(x)2

Detailed Solution for Test: Factorisation- 2 - Question 3

Solution:

To solve the expression –20(x)4 ÷ 10(x)2, we start by simplifying the coefficients and the variables.
First, simplify the coefficients: –20 ÷ 10 = –2.
Next, simplify the variable parts: (x)4 ÷ (x)2 = (x)4-2 = (x)2.
Combining these results gives us: –2(x)2.
Thus, the final answer is –2x2.
Test: Factorisation- 2 - Question 4

When we factorise an expression, we write it as a ________ of factors.

Detailed Solution for Test: Factorisation- 2 - Question 4

When we factorise an algebraic expression, we write it as a product of factors. These factors may be numbers, algebraic variables or algebraic expressions. 

Test: Factorisation- 2 - Question 5
Factorise 6xy – 4y + 6 – 9x.
Detailed Solution for Test: Factorisation- 2 - Question 5

To factorise the expression 6xy - 4y + 6 - 9x, we can follow these steps:

Rearrange the expression: 6xy - 9x - 4y + 6.
Group the terms: (6xy - 9x) + (-4y + 6).
Factor out common factors from each group:
From the first group, factor out 3x: 3x(2y - 3).
From the second group, factor out -2: -2(2y - 3).
Now, we can combine the factored terms: 3x(2y - 3) - 2(2y - 3).
Factor out the common term (2y - 3): (2y - 3)(3x - 2).

Thus, the fully factored form of the expression is (3x - 2)(2y - 3).

Test: Factorisation- 2 - Question 6

Factorize x² + 8x + 12

Detailed Solution for Test: Factorisation- 2 - Question 6

x² + 8x + 12 
two no whose product is 12 and sum is 8
ie. 2 and 6 so;
x2+2x+6x+12
x(x+2)+6(x+2)
(x+2)(x+6)

Test: Factorisation- 2 - Question 7

Which of the following is quotient obtained on dividing –18 xyz2 by –3 xz?

Detailed Solution for Test: Factorisation- 2 - Question 7

To find the quotient of -18xyz2 divided by -3xz, follow these steps:

Start with the expression: -18xyz2 / -3xz.
The negative signs cancel each other out, resulting in:
18xyz2 / 3xz.
Now, divide the coefficients:
18 / 3 = 6.
Next, simplify the variables:
z2 / z simplifies to z, as one z cancels out.
Thus, the expression simplifies to:
6y (from y) and z (from the simplification).

Therefore, the final quotient is 6yz.

Test: Factorisation- 2 - Question 8

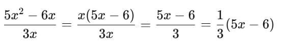
Divide the given polynomial by the given monomial: (5x2− 6x) ÷ 3x

Detailed Solution for Test: Factorisation- 2 - Question 8

Test: Factorisation- 2 - Question 9

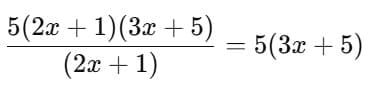
Divide as directed: 5 (2x + 1) (3x + 5) ÷ (2x + 1)

Detailed Solution for Test: Factorisation- 2 - Question 9

First cancel the common factor (2x+1):

So, option (c) is the correct answer.

Test: Factorisation- 2 - Question 10

Factorise: p4– 81

Detailed Solution for Test: Factorisation- 2 - Question 10

We have  p4 - 81 = (p2)2 - (9)2 

Now using a2 - b2 = (a + b)(a - b), we have

         (p2)2 - (9)2 = (p2 + 9)(p2 -9)

We can factorise p2 - 9  further as

              p2 - 9 = (p)2 - (3)2

                       = (p + 3)(p - 3)

∴           p4 - 81 = (p + 3)(p - 3)(p2 + 9)

111 videos|658 docs|49 tests
Information about Test: Factorisation- 2 Page
In this test you can find the Exam questions for Test: Factorisation- 2 solved & explained in the simplest way possible. Besides giving Questions and answers for Test: Factorisation- 2, EduRev gives you an ample number of Online tests for practice
111 videos|658 docs|49 tests
Download as PDF