Civil Engineering (CE) Exam  >  Civil Engineering (CE) Tests  >  Test: Fluid Flow Kinematics - 1 - Civil Engineering (CE) MCQ

Test: Fluid Flow Kinematics - 1 - Civil Engineering (CE) MCQ


Test Description

10 Questions MCQ Test - Test: Fluid Flow Kinematics - 1

Test: Fluid Flow Kinematics - 1 for Civil Engineering (CE) 2025 is part of Civil Engineering (CE) preparation. The Test: Fluid Flow Kinematics - 1 questions and answers have been prepared according to the Civil Engineering (CE) exam syllabus.The Test: Fluid Flow Kinematics - 1 MCQs are made for Civil Engineering (CE) 2025 Exam. Find important definitions, questions, notes, meanings, examples, exercises, MCQs and online tests for Test: Fluid Flow Kinematics - 1 below.
Solutions of Test: Fluid Flow Kinematics - 1 questions in English are available as part of our course for Civil Engineering (CE) & Test: Fluid Flow Kinematics - 1 solutions in Hindi for Civil Engineering (CE) course. Download more important topics, notes, lectures and mock test series for Civil Engineering (CE) Exam by signing up for free. Attempt Test: Fluid Flow Kinematics - 1 | 10 questions in 30 minutes | Mock test for Civil Engineering (CE) preparation | Free important questions MCQ to study for Civil Engineering (CE) Exam | Download free PDF with solutions
Test: Fluid Flow Kinematics - 1 - Question 1

Local acceleration in fluid-flow situations exists only when

Detailed Solution for Test: Fluid Flow Kinematics - 1 - Question 1


Test: Fluid Flow Kinematics - 1 - Question 2

A flownet is a graphical representation of streamlines and equipotential lines such that

Detailed Solution for Test: Fluid Flow Kinematics - 1 - Question 2

The correct answer is:

B: these lines intersect each other orthogonally forming curvilinear squares

Explanation:
A flownet is a graphical representation used in fluid mechanics and groundwater flow analysis. It consists of two sets of lines:
1. Streamlines: Represent the path followed by fluid particles.
2. Equipotential lines: Represent lines of constant potential (e.g., hydraulic head in groundwater flow).

These lines intersect each other orthogonally (at right angles) and form a grid of curvilinear squares. This property is a key characteristic of a flownet and is used to analyze flow patterns and calculate quantities like flow rate or pressure distribution. 

The other options are incorrect:
- A: Streamlines indicate the direction of flow, but not the magnitude of the velocity vector directly.
- C: The lines do not intersect at various angles; they intersect orthogonally.
- D: The velocity potential does not necessarily increase in the direction of flow; it depends on the specific flow conditions.

Test: Fluid Flow Kinematics - 1 - Question 3

A free vortex

Test: Fluid Flow Kinematics - 1 - Question 4

Stream lines, streak lines and path lines are all identical in case of

Detailed Solution for Test: Fluid Flow Kinematics - 1 - Question 4

The correct answer is:

B: steady flow

Explanation:
In fluid mechanics, streamlines, streak lines, and path lines are concepts used to describe the motion of fluid particles. These lines are defined as follows:

Streamlines: Lines that are tangent to the velocity vector of the fluid at every point at a given instant in time. They represent the instantaneous direction of flow.

Streak Lines: Lines formed by all the fluid particles that have passed through a specific point in the flow field over a period of time.

Path Lines: The actual trajectories followed by individual fluid particles over time.

In steady flow, the velocity field does not change with time. As a result:

Streamlines remain fixed in space.

Path lines (trajectories of particles) coincide with streamlines because the flow direction does not change over time.

Streak lines (traces of particles passing through a point) also coincide with streamlines and path lines because the flow pattern is constant.

Other options can't be right as:

A: Uniform flow: Uniform flow means the velocity is the same at every point in the flow field, but it does not guarantee that the flow is steady (time-independent). If the flow is unsteady, the lines will not coincide.

C: Unsteady flow: In unsteady flow, the velocity field changes with time, so streamlines, streak lines, and path lines will generally differ.

D: Non-uniform flow: Non-uniform flow means the velocity varies in space, but this does not imply steadiness. If the flow is unsteady, the lines will not coincide.

 

Test: Fluid Flow Kinematics - 1 - Question 5

In irrotational flow of an ideal fluid

Detailed Solution for Test: Fluid Flow Kinematics - 1 - Question 5

A is correct because a velocity potential exists in irrotational flow.

B, C, and D are incorrect because they do not necessarily apply to irrotational flow of an ideal fluid.

Test: Fluid Flow Kinematics - 1 - Question 6

Match List-I (Format of representation) with List-ll (Context/Relevant to) and select the correct answer using the codes given below the lists:

List-ll
1. Relevant to a velocity potential
2. Rate of rotation about a relevant axis
3. Pressure gradient in a relevant direction
4. Continuity of flow

Test: Fluid Flow Kinematics - 1 - Question 7

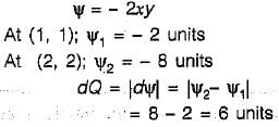
A two-dimensional flow is described by velocity components u = 2x and v = - 2y. The discharge between points (1,1) and (2, 2) is equal to

Detailed Solution for Test: Fluid Flow Kinematics - 1 - Question 7


Integrating (i), we get,

Differentiating (iii) w.r.t. y, we get,

Equating (ii) and (iv), we get,
f'(y) = 0    ....... (v)
Integrating (v), we get,
f(y) = C
where C is a numerical constant which can be treated as zero.
From (iii),. we get,
 

Test: Fluid Flow Kinematics - 1 - Question 8

Consider the following statements in respect of two-dimensional incompressible flow with velocity components u and v in x and y directions respectively:
1. The continuity equation is 
2. The acceleration in x-direction is 
3. The condition of irrotationality is 
4. The equation of a streamline is udy = -vdx

Which of these statements are correct?

Detailed Solution for Test: Fluid Flow Kinematics - 1 - Question 8

For two dimensional incompressible flow, :
(i) the continuity equation is' 
(ii) the equation of a stream line is vdx - udy = 0

Test: Fluid Flow Kinematics - 1 - Question 9

An imaginary tangent at a point which shows the direction of velocity of a liquid particle at that point is

Detailed Solution for Test: Fluid Flow Kinematics - 1 - Question 9

In fluid mechanics, an imaginary line that represents the direction of the velocity of a liquid particle at a specific point is known as a streamline. Streamlines help visualise the flow of fluid, showing how particles move through space. Here are key points about streamlines:

  • A streamline indicates the direction of flow at every point in the fluid.
  • Particles of fluid follow these lines, which do not intersect.
  • They are useful in analysing fluid behaviour in different scenarios, such as around objects or within channels.

In contrast, other types of lines like path lines, streak lines, and vortex lines serve different purposes in flow analysis, but for representing velocity at a point, streamlines are the most relevant.

Test: Fluid Flow Kinematics - 1 - Question 10

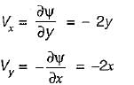
A two dimensional flow field is given by stream function ψ = x2 - y2. The magnitude of absolute velocity at a point (1, 1) is

Detailed Solution for Test: Fluid Flow Kinematics - 1 - Question 10


at (1, 1) Vx = -2 m/s = Vy

Information about Test: Fluid Flow Kinematics - 1 Page
In this test you can find the Exam questions for Test: Fluid Flow Kinematics - 1 solved & explained in the simplest way possible. Besides giving Questions and answers for Test: Fluid Flow Kinematics - 1, EduRev gives you an ample number of Online tests for practice
Download as PDF