JEE Exam  >  JEE Tests  >  Test: Integrals- 3 - JEE MCQ

Test: Integrals- 3 - JEE MCQ


Test Description

10 Questions MCQ Test - Test: Integrals- 3

Test: Integrals- 3 for JEE 2025 is part of JEE preparation. The Test: Integrals- 3 questions and answers have been prepared according to the JEE exam syllabus.The Test: Integrals- 3 MCQs are made for JEE 2025 Exam. Find important definitions, questions, notes, meanings, examples, exercises, MCQs and online tests for Test: Integrals- 3 below.
Solutions of Test: Integrals- 3 questions in English are available as part of our course for JEE & Test: Integrals- 3 solutions in Hindi for JEE course. Download more important topics, notes, lectures and mock test series for JEE Exam by signing up for free. Attempt Test: Integrals- 3 | 10 questions in 10 minutes | Mock test for JEE preparation | Free important questions MCQ to study for JEE Exam | Download free PDF with solutions
Test: Integrals- 3 - Question 1

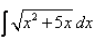
Evaluate: 

Detailed Solution for Test: Integrals- 3 - Question 1

I = ∫√(x² + 5x)dx

= ∫√(x² + 5x + 25/4 - 25/4)

= ∫√{(x + 5/2)² - (5/2)²}

={1/2(x+5/2)(√x² + 5x)} - {25/8 log{(x + 5/2)+√x²+ 5x}}

= {(2x + 5)/4 (√x² + 5x)} - {25/8 log{(x + 5/2)+√x²+ 5x}}

Thus, option D is correct...

Test: Integrals- 3 - Question 2

Evaluate: 

Detailed Solution for Test: Integrals- 3 - Question 2

sin2x = 1 - cos2x
∫sinx(sin2x - 3cos2x + 15)dx
Put cos2x = t
 ∫sinx(1 - cos2x - 3cos2x + 15)dx
=  ∫sinx (16 - 4cos2x)dx
Put t = cosx, differentiate with respect to x, we get 
dt/dx = -sinx
= -  ∫ [(16 - 4t2)]1/2dt
= -2 ∫ [(2)2 - (t)2]½
= -2{[(2)2 - (t)2]½ + 2sin-1(t/2)} + c
= - cosx {[4 - (cos)2x]½ - 4sin-1(cosx/2)} + c

Test: Integrals- 3 - Question 3

Evaluate:  

Detailed Solution for Test: Integrals- 3 - Question 3

Therefore , the answer is -cos(x3) + c

Test: Integrals- 3 - Question 4

Evaluate: 

Detailed Solution for Test: Integrals- 3 - Question 4

 (x)½ (a - x)½ dx
=  ∫(ax - x2)½ dx
=  ∫{-(x2 - ax)½} dx
=  ∫{-(x2 - ax + a2/4 - a2/4)½} dx
=  ∫{-(x - a/2)2 - a2/4} dx
=  ∫{(a/2)2 - (x - a/2)2} dx
=  ½(x - a/2) {(a/2)2 - (x - a/2)2} + (a2/4) (½ sin-1(x - a)/a2)
= {(2x - a)/4 (ax - x2)½} + {a2/8 sin-1(2x - a)/a} + c

Test: Integrals- 3 - Question 5

is equal to

Detailed Solution for Test: Integrals- 3 - Question 5

Test: Integrals- 3 - Question 6

Evaluate: 

Detailed Solution for Test: Integrals- 3 - Question 6

None

Test: Integrals- 3 - Question 7

Detailed Solution for Test: Integrals- 3 - Question 7

Test: Integrals- 3 - Question 8

Evaluate: 

Detailed Solution for Test: Integrals- 3 - Question 8

Apply Trig Substitution: x=4sin(u)​

Test: Integrals- 3 - Question 9

Evaluate: 

Detailed Solution for Test: Integrals- 3 - Question 9

Let y = ex
dy/dx = ex dx
= ∫(9 - y2)^½ dy
= ∫[(3)2 - (y)2]½ dy
Apply [(a)2 - (x)2] formula
⇒ y/2[(3)2 - (y)2]½ + [(3)2]/2 sin-1(y/3) + c
= ex/2[(3)2 - (y)2]½ + [9]/2 sin-1(ex/3) + c

Test: Integrals- 3 - Question 10

Integrate 1/(1 + x2) for limit [0, 1].

Detailed Solution for Test: Integrals- 3 - Question 10

 

= π / 4

Information about Test: Integrals- 3 Page
In this test you can find the Exam questions for Test: Integrals- 3 solved & explained in the simplest way possible. Besides giving Questions and answers for Test: Integrals- 3, EduRev gives you an ample number of Online tests for practice
Download as PDF