JEE Exam  >  JEE Test  >  Mathematics (Maths) Main & Advanced  >  Test: Introduction to Inverse Trigonometry - JEE MCQ

Test: Introduction to Inverse Trigonometry - JEE MCQ


Test Description

10 Questions MCQ Test Mathematics (Maths) for JEE Main & Advanced - Test: Introduction to Inverse Trigonometry

Test: Introduction to Inverse Trigonometry for JEE 2026 is part of Mathematics (Maths) for JEE Main & Advanced preparation. The Test: Introduction to Inverse Trigonometry questions and answers have been prepared according to the JEE exam syllabus.The Test: Introduction to Inverse Trigonometry MCQs are made for JEE 2026 Exam. Find important definitions, questions, notes, meanings, examples, exercises, MCQs and online tests for Test: Introduction to Inverse Trigonometry below.
Solutions of Test: Introduction to Inverse Trigonometry questions in English are available as part of our Mathematics (Maths) for JEE Main & Advanced for JEE & Test: Introduction to Inverse Trigonometry solutions in Hindi for Mathematics (Maths) for JEE Main & Advanced course. Download more important topics, notes, lectures and mock test series for JEE Exam by signing up for free. Attempt Test: Introduction to Inverse Trigonometry | 10 questions in 10 minutes | Mock test for JEE preparation | Free important questions MCQ to study Mathematics (Maths) for JEE Main & Advanced for JEE Exam | Download free PDF with solutions
Test: Introduction to Inverse Trigonometry - Question 1

The value of 15540_100(3) is given by​

Detailed Solution for Test: Introduction to Inverse Trigonometry - Question 1

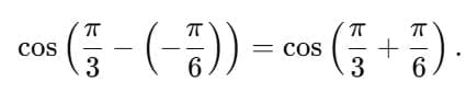
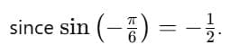
First, recall that the principal value of  is 

So the expression becomes

Add the angles: 

So we have 

Test: Introduction to Inverse Trigonometry - Question 2

if 5 sin θ = 3, then  is equal to

Detailed Solution for Test: Introduction to Inverse Trigonometry - Question 2

sin θ is 3/5.
on simplifying:
(secθ + tanθ)/(secθ - tanθ)
We get, (1+sin θ)/(1-sin θ)
=(1+3/5)/(1-3/5)
=(8/2)
=4

Test: Introduction to Inverse Trigonometry - Question 3

cos⁻¹(1/2) + 2 sin⁻¹(1/2)

Detailed Solution for Test: Introduction to Inverse Trigonometry - Question 3

cos⁻¹(1/2) = cos⁻¹(cos(π/3)) = π/3
sin⁻¹(1/2) = sin⁻¹(sin(π/6)) = π/6

Therefore
cos⁻¹(1/2) + 2 sin⁻¹(1/2)
= π/3 + 2·(π/6)
= π/3 + π/3
= 2π/3

Test: Introduction to Inverse Trigonometry - Question 4

What is the solution of cot⁡(sin-1⁡x)?

Detailed Solution for Test: Introduction to Inverse Trigonometry - Question 4

Let sin-1⁡x = y.
From ∆ABC, we get

y = sin-1⁡x

∴cot⁡(sin-1⁡x)

 

Test: Introduction to Inverse Trigonometry - Question 5

The principal value of 
is.

Detailed Solution for Test: Introduction to Inverse Trigonometry - Question 5

tan-1 (tan 3π/5)
This can be written as:
tan-1 (tan 3π/5) = tan-1 (tan[π – 2π/5])
= tan-1 (- tan 2π/5) {since tan(π – x) = -tan x}
= –tan-1 (tan 2π/2)
= –2π/5

Test: Introduction to Inverse Trigonometry - Question 6

If x< 0 then value of tan-1(x) + tan-1 (1/x) is equal to

Detailed Solution for Test: Introduction to Inverse Trigonometry - Question 6

Test: Introduction to Inverse Trigonometry - Question 7

Find the value of tan-1⁡(1/3) + tan-1⁡(1/5) + tan-1⁡(1/7).

Detailed Solution for Test: Introduction to Inverse Trigonometry - Question 7


Test: Introduction to Inverse Trigonometry - Question 8

Evaluate 

Detailed Solution for Test: Introduction to Inverse Trigonometry - Question 8


   

Test: Introduction to Inverse Trigonometry - Question 9

What is the value of 2 tan-1⁡x?

Detailed Solution for Test: Introduction to Inverse Trigonometry - Question 9

 Let 2 tan-1⁡x = y

Test: Introduction to Inverse Trigonometry - Question 10

The complete solution set of the inequality cos−1(cos4) > 3x2 − 4x is

Detailed Solution for Test: Introduction to Inverse Trigonometry - Question 10

173 videos|510 docs|154 tests
Information about Test: Introduction to Inverse Trigonometry Page
In this test you can find the Exam questions for Test: Introduction to Inverse Trigonometry solved & explained in the simplest way possible. Besides giving Questions and answers for Test: Introduction to Inverse Trigonometry, EduRev gives you an ample number of Online tests for practice
Download as PDF