Mechanical Engineering Exam  >  Mechanical Engineering Tests  >  Test: Laurent Series - Mechanical Engineering MCQ

Test: Laurent Series - Mechanical Engineering MCQ


Test Description

9 Questions MCQ Test - Test: Laurent Series

Test: Laurent Series for Mechanical Engineering 2025 is part of Mechanical Engineering preparation. The Test: Laurent Series questions and answers have been prepared according to the Mechanical Engineering exam syllabus.The Test: Laurent Series MCQs are made for Mechanical Engineering 2025 Exam. Find important definitions, questions, notes, meanings, examples, exercises, MCQs and online tests for Test: Laurent Series below.
Solutions of Test: Laurent Series questions in English are available as part of our course for Mechanical Engineering & Test: Laurent Series solutions in Hindi for Mechanical Engineering course. Download more important topics, notes, lectures and mock test series for Mechanical Engineering Exam by signing up for free. Attempt Test: Laurent Series | 9 questions in 30 minutes | Mock test for Mechanical Engineering preparation | Free important questions MCQ to study for Mechanical Engineering Exam | Download free PDF with solutions
Test: Laurent Series - Question 1

The coefficient of z2 in the expansion of   in the region 1 < |z| < 2

Detailed Solution for Test: Laurent Series - Question 1

Concept:

The given region is a ring-shaped region bounded by two concentric circles with center at origin.

The expansion will be Laurent's series.

Calculation:

Given function is 
By partial fractions,

Now using standard expansions,

∴ the coefficient of z2 is – 1/8

Test: Laurent Series - Question 2

In the Laurent series expression of valid for 0 < |z - 1|< 1, the co-efficient of 1/(z−1)is

Detailed Solution for Test: Laurent Series - Question 2

Concept:

Laurentz Series is obtained by the arrangement and manipulation of standard series or expansions, i.e.

(1 - x)-1 = 1 + x + x2 + x3 + …… |x| < 1

(1 + x)-1 = 1 – x + x2 – x3 + ….. |x| < 1

(1 - x)-2 = 1 + 2x + 3x2 + ….. |x| < 1

(1 + x)-2 1 – 2x + 3x2 – 4x2 + …. |x| < 1

Observe that in all the expansions; |x| should be less than 1.

 ∴ We need to manipulate the variable to satisfy the above condition.

Calculation:

Given:

= -1 [1 - (z - 1)]-1 - [z - 1]-1
= -[z - 1]-1 - [1 + (z - 1) + (z - 1)2 + (z - 1)3 +…]
Co-efficient of 1z−1 is -1

Test: Laurent Series - Question 3

In the Laurent expansion of f(z) =   valid in the region 1 < |z| < 2, the co-efficient of 1/z2 is

Detailed Solution for Test: Laurent Series - Question 3

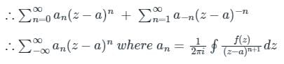
Concept:

Laurent series of f(z) is given by:

Calculation:
Given:

The given region is 1 < |z| < 2

Co-efficient of 1/z2 is -1

Test: Laurent Series - Question 4

The Laurent’s series of f(z) = z/((z2 + 1)(z2 + 4)) is, where |z| < 1

Detailed Solution for Test: Laurent Series - Question 4

Test: Laurent Series - Question 5

Expand the function  in Laurent’s series for 1 < |z| < 2

Detailed Solution for Test: Laurent Series - Question 5

Concept:
Laurent Series:
If f(z) is analytic at every point inside and on the boundary of a ring-shaped region 'R' bounded by two concentric circle C1 and C2 having centre at 'a' & respective radii r1 and r2 (r1 > r2).


Calculation:

Given:

 and 1 < |z| < 2

Here region of convergence is 1 < |z| and |z| < 2


Test: Laurent Series - Question 6

The first few terms in the Laurent series for  in the region 1 ≤ |z| ≤ 2 and around z = 1 is 

Detailed Solution for Test: Laurent Series - Question 6


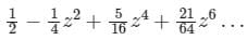
Test: Laurent Series - Question 7

The Laurent series expansion of the function valid in the region 0 < |z| < 2, is given by

Detailed Solution for Test: Laurent Series - Question 7


ex – 1 has a zero at ‘0’ of multiplicity one and hence f(z) has pole at 0 of order 1. So, the Laurent series f(z) is given by

Since (ez – 1) f(z) = 1

By comparing both the sides,
a-1 = 1

Test: Laurent Series - Question 8

Find the Laurent expansion of f(z) = in the region 1 < z + 1 < 3

Detailed Solution for Test: Laurent Series - Question 8

Calculation:
Let z +1 = u ⇒ z = u – 1

Given 1 < z + 1 < 3
⇒ 1 < u < 3

Test: Laurent Series - Question 9

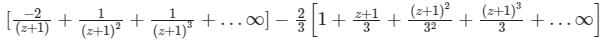
The value of 

Detailed Solution for Test: Laurent Series - Question 9


Now it is known that 
Applying this result to the second term ( n = 6) of the expression of I we get,

Again, applying this result to the term of the expression of I we get,

Information about Test: Laurent Series Page
In this test you can find the Exam questions for Test: Laurent Series solved & explained in the simplest way possible. Besides giving Questions and answers for Test: Laurent Series, EduRev gives you an ample number of Online tests for practice
Download as PDF