Chemical Engineering Exam  >  Chemical Engineering Tests  >  Test: One-Dimensional Steady-state Conduction - 1 - Chemical Engineering MCQ

Test: One-Dimensional Steady-state Conduction - 1 - Chemical Engineering MCQ


Test Description

10 Questions MCQ Test - Test: One-Dimensional Steady-state Conduction - 1

Test: One-Dimensional Steady-state Conduction - 1 for Chemical Engineering 2025 is part of Chemical Engineering preparation. The Test: One-Dimensional Steady-state Conduction - 1 questions and answers have been prepared according to the Chemical Engineering exam syllabus.The Test: One-Dimensional Steady-state Conduction - 1 MCQs are made for Chemical Engineering 2025 Exam. Find important definitions, questions, notes, meanings, examples, exercises, MCQs and online tests for Test: One-Dimensional Steady-state Conduction - 1 below.
Solutions of Test: One-Dimensional Steady-state Conduction - 1 questions in English are available as part of our course for Chemical Engineering & Test: One-Dimensional Steady-state Conduction - 1 solutions in Hindi for Chemical Engineering course. Download more important topics, notes, lectures and mock test series for Chemical Engineering Exam by signing up for free. Attempt Test: One-Dimensional Steady-state Conduction - 1 | 10 questions in 30 minutes | Mock test for Chemical Engineering preparation | Free important questions MCQ to study for Chemical Engineering Exam | Download free PDF with solutions
Test: One-Dimensional Steady-state Conduction - 1 - Question 1

Steady state heat flow implies

Test: One-Dimensional Steady-state Conduction - 1 - Question 2

Consider the following statements:
The Fourier heat conduction equation presumes


1. Steady state conditions
2. Constant value of thermal conductivity
3. Uniform temperature at the wait surfaces
4. One - dimensional heat flow.

Which of these statements are correct?

Detailed Solution for Test: One-Dimensional Steady-state Conduction - 1 - Question 2

k may be constant or vary.

Test: One-Dimensional Steady-state Conduction - 1 - Question 3

The heat conducted through a wall of thickness δ is given by

Which amongst the following is not valid pertaining to above equation?

Test: One-Dimensional Steady-state Conduction - 1 - Question 4

One end of iron rod of cross-sectional area A and length L is kept in a steambath. After same time steady state conditions prevail and Q unit of heat per second passes through any cross- section of the rod. The heat flow rate will be adversely affected if

Detailed Solution for Test: One-Dimensional Steady-state Conduction - 1 - Question 4

Test: One-Dimensional Steady-state Conduction - 1 - Question 5

Match the List-1 (Coordinate system) with ListII (Steady state governing equation) the following:

Test: One-Dimensional Steady-state Conduction - 1 - Question 6

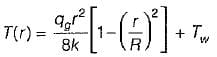
Temperature distribution in a cylindrical rod with heat generation is given by

Test: One-Dimensional Steady-state Conduction - 1 - Question 7

The Fourier law of heat conduction is valid for

Detailed Solution for Test: One-Dimensional Steady-state Conduction - 1 - Question 7

While deriving Fourier law of heat conduction some assumptions are made, which are
1. Steady-state condition
2. One-directional heat transfer
3. No heat generation
4. Material is homogeneous and isotropic

Test: One-Dimensional Steady-state Conduction - 1 - Question 8

Fourier law of heat conduction is given by

where
I = thickness of the slab
dT = temperature difference
In this term l/kA is given by

Detailed Solution for Test: One-Dimensional Steady-state Conduction - 1 - Question 8

In case of plane slab

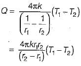
Test: One-Dimensional Steady-state Conduction - 1 - Question 9

Heat transfer by conduction through hollow cylinder is given by

Detailed Solution for Test: One-Dimensional Steady-state Conduction - 1 - Question 9

From Fourier law of heat conduction 

For hollow cylinder

Test: One-Dimensional Steady-state Conduction - 1 - Question 10

Heat transfer by conduction through sphere is given by

Detailed Solution for Test: One-Dimensional Steady-state Conduction - 1 - Question 10

From Fourier law of heat conduction 



 

Information about Test: One-Dimensional Steady-state Conduction - 1 Page
In this test you can find the Exam questions for Test: One-Dimensional Steady-state Conduction - 1 solved & explained in the simplest way possible. Besides giving Questions and answers for Test: One-Dimensional Steady-state Conduction - 1, EduRev gives you an ample number of Online tests for practice
Download as PDF