Electrical Engineering (EE) Exam  >  Electrical Engineering (EE) Tests  >  Test: Parallel Operations of Alternators - Electrical Engineering (EE) MCQ

Test: Parallel Operations of Alternators - Electrical Engineering (EE) MCQ


Test Description

10 Questions MCQ Test - Test: Parallel Operations of Alternators

Test: Parallel Operations of Alternators for Electrical Engineering (EE) 2025 is part of Electrical Engineering (EE) preparation. The Test: Parallel Operations of Alternators questions and answers have been prepared according to the Electrical Engineering (EE) exam syllabus.The Test: Parallel Operations of Alternators MCQs are made for Electrical Engineering (EE) 2025 Exam. Find important definitions, questions, notes, meanings, examples, exercises, MCQs and online tests for Test: Parallel Operations of Alternators below.
Solutions of Test: Parallel Operations of Alternators questions in English are available as part of our course for Electrical Engineering (EE) & Test: Parallel Operations of Alternators solutions in Hindi for Electrical Engineering (EE) course. Download more important topics, notes, lectures and mock test series for Electrical Engineering (EE) Exam by signing up for free. Attempt Test: Parallel Operations of Alternators | 10 questions in 20 minutes | Mock test for Electrical Engineering (EE) preparation | Free important questions MCQ to study for Electrical Engineering (EE) Exam | Download free PDF with solutions
Test: Parallel Operations of Alternators - Question 1

The cylindrical rotor type alternators are driven by:

Detailed Solution for Test: Parallel Operations of Alternators - Question 1

In synchronous generators or alternator, generally salient-pole type of rotors is driven by hydro-turbines and cylindrical type rotors are driven by steam turbines 

Because cylindrical rotors are used in high speed alternators having speed between 1500 rpm to 3000 rpm and salient pole rotors are used in low speed devices, from 100 rpm to 1500 rpm.

Cylindrical type rotors are used in turbo alternators and these are made up of solid steel forging to get high mechanical stress.

Test: Parallel Operations of Alternators - Question 2

Which of the following is NOT a condition to be satisfied for the synchronisation of an alternator?

Detailed Solution for Test: Parallel Operations of Alternators - Question 2

Synchronization of alternator means connecting an alternator into the grid in parallel with many other alternators, which is in a live system of constant voltage and constant frequency.

Before connecting an incoming alternator with an already operating alternator, the following conditions must be satisfied:

  1. Equal voltage: The terminal voltage of incoming alternator must be equal to the bus-bar voltage.
  2. Same frequency: The frequency of generated voltage must be equal to the frequency of the bus-bar voltage.
  3. Phase sequence: The phase sequence of the three phases of alternator must be similar to that of the grid or busbars.
  4. Phase angle: The phase angle between the generated voltage and the voltage of the grid must be zero.
Test: Parallel Operations of Alternators - Question 3

Before an alternator can be connected to an infinite bus, which of the following must be the same for the alternator and the infinite bus?

Detailed Solution for Test: Parallel Operations of Alternators - Question 3

Necessary condition for parallel operation of two alternators:

  • The phase sequence of the busbar voltages and the incoming machine voltage must be the same
  • The busbar voltages and the incoming machine terminal voltage must be in phase.
  • The terminal voltage of the incoming machine and the alternator which is to be connected in parallel or with the Busbar voltage should be equal.
  • The frequency of the generated voltage of the incoming machine and the frequency of the voltage of the busbar should be equal.
  • The phase difference between the alternator and infinite voltages must be zero.
Test: Parallel Operations of Alternators - Question 4

The driving power from the prime-mover driving the alternator is lost but the alternator remains connected to the supply network; the field supply also remains on. The alternator will

Detailed Solution for Test: Parallel Operations of Alternators - Question 4

In case of failure of the prime mover of the generator and the excitation is present then the generator draws power from the other parallel generator and starts working as a synchronous motor with the same direction and for this motor, the turbine is working as a load.

Because of the huge mass of the turbine the motor draws a huge amount of current which damages the winding. It will absorb power from the bus bar.

Test: Parallel Operations of Alternators - Question 5

Which of the following statements related to parallel operating alternators is correct?

Detailed Solution for Test: Parallel Operations of Alternators - Question 5

Advantages of Parallel Operating Alternators:

  • When there is maintenance or an inspection, one machine can be taken out from service and the other alternators can keep up with the continuity of supply.
  • Load supply can be increased.
  • During light loads, more than one alternator can be shut down while the other will operate in a nearly full load.
  • High efficiency.
  • The operating cost is reduced.
  • Ensures the protection of supply and enables cost-effective generation.
  • The generation cost is reduced.
  • Breaking down of a generator does not cause any interruption in the supply.
  • Reliability of the whole power system increases.
Test: Parallel Operations of Alternators - Question 6

An alternator of 300 kW is driven by a prime mover of speed regulation of 4% and another alternator of 200 kW is driven by a prime mover of speed regulation of 3%, when operating in parallel, the total load they can take without any of them being overloaded is -

Detailed Solution for Test: Parallel Operations of Alternators - Question 6

Concept:

The speed regulation of the alternator is given by:

where, SR = Speed regulation

NNL = No-load speed

NFL = Full load speed

Calculation:

Given, P1 = 300 kW

P2 = 200 kW

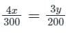
Let the load shared by two machines be x and y kW.

8x = 9y

Machine 2 produces less power than 1, so it will work at its rated condition.

8x = 9 × 200

x = 225 kW

P1 + P2 = 225 + 200

PT = 425 kW

Test: Parallel Operations of Alternators - Question 7

Synchroscope is used to check _________.

Detailed Solution for Test: Parallel Operations of Alternators - Question 7

Concept:

  • Synchroscopes are instruments that show the relative frequency (speed) difference and the phase angle between the machine to be synchronized and the system voltage.

  • The synchroscope works based on AC motor in principle. It has two poles connected across any two phases (say red and yellow) of the incoming machine. The armature windings are supplied from the similar two phases (red and yellow) in the switch board bus - bars.
  • Synchronization of alternator means connecting an alternator into the grid in parallel with many other alternators, that is in a live system of constant voltage and constant frequency.
  • Before connecting an alternator into the grid, the following conditions must be satisfied:
  • Equal voltage: The terminal voltage of incoming alternator must be equal to the bus-bar voltage.
  • Same frequency: The frequency of generated voltage must be equal to the frequency of the bus-bar voltage.
  • Phase sequence: The phase sequence of the three phases of alternator must be similar to that of the grid or busbars. Phase angle: The phase angle between the generated voltage and the voltage of the grid must be zero.
  • The first condition of voltage equality can be satisfied by a voltmeter. To satisfy the conditions of equal frequency and identical phases, one of the following two methods can be used: Synchronization using incandescent lamp Synchronization using synchroscope
Test: Parallel Operations of Alternators - Question 8

A change in the excitation of an alternator running in parallel with another alternator:

Detailed Solution for Test: Parallel Operations of Alternators - Question 8

Effect of Change in Excitation of Alternator:

  • A change in the excitation of an alternator running in parallel with others affects only its KVA output it does not affect the KW output.
  • A change in the excitation, thus, affects only the power factor of its output.

Explanation:

  • Let the initial operating conditions of the two parallel alternators be identical i.e. each alternator supplies equal kW and kVAr of load, thus the operating power factors being equal to the load power factor.
  • Now, let the excitation of alternator No. 1 be increased so that excitation emf of alternator 1 (E1) becomes greater than E2.
  • The difference between the two EMFs sets up a circulating current (IC)

  • As seen, IC is vectorially added to the load current of alternator No. 1 and subtracted from that of No. 2.
  • The two machines now deliver load currents I1 and I2 at respective power factors of cos φ1 and cos φ2.
  • These changes in load currents lead to changes in power factors, such that cos φ1 is reduced, whereas cos φ2 is increased.
  • However, the effect on the kW loading of the two alternators is negligible, but kVAR1 supplied by alternator No. 1 is increased, whereas kVAR2 supplied by alternator No. 2 is correspondingly decreased, as shown by the kVA triangles.

Test: Parallel Operations of Alternators - Question 9

Two identical synchronous machines A and B running at same speed are connected to each other through an inductor. Machine A is supplying an active power to Machine B and Machine B is supplying reactive power to Machine A, then which among the following is correct?

Detailed Solution for Test: Parallel Operations of Alternators - Question 9

Concept:

Active power is directly proportional to the load angle i.e. P ∝ δ

Reactive power is directly proportional to the voltage ∝ V

Application:

Machine A is supplying an active power to Machine B i.e.

⇒ δA > δB

Machine B is supplying reactive power to Machine A

⇒ |Va| < |Vb|

Test: Parallel Operations of Alternators - Question 10

Synchroscope is used to check _________.

Detailed Solution for Test: Parallel Operations of Alternators - Question 10

Concept:

  • Synchroscopes are instruments that show the relative frequency (speed) difference and the phase angle between the machine to be synchronized and the system voltage.

  • The synchroscope works based on AC motor in principle. It has two poles connected across any two phases (say red and yellow) of the incoming machine. The armature windings are supplied from the similar two phases (red and yellow) in the switch board bus - bars.
  • Synchronization of alternator means connecting an alternator into the grid in parallel with many other alternators, that is in a live system of constant voltage and constant frequency.
  • Before connecting an alternator into the grid, the following conditions must be satisfied:
  • Equal voltage: The terminal voltage of incoming alternator must be equal to the bus-bar voltage.
  • Same frequency: The frequency of generated voltage must be equal to the frequency of the bus-bar voltage.
  • Phase sequence: The phase sequence of the three phases of alternator must be similar to that of the grid or busbars. Phase angle: The phase angle between the generated voltage and the voltage of the grid must be zero.
  • The first condition of voltage equality can be satisfied by a voltmeter. To satisfy the conditions of equal frequency and identical phases, one of the following two methods can be used: Synchronization using incandescent lamp Synchronization using synchroscope
Information about Test: Parallel Operations of Alternators Page
In this test you can find the Exam questions for Test: Parallel Operations of Alternators solved & explained in the simplest way possible. Besides giving Questions and answers for Test: Parallel Operations of Alternators, EduRev gives you an ample number of Online tests for practice
Download as PDF