Civil Engineering (CE) Exam  >  Civil Engineering (CE) Tests  >  Test: Properties of Metals, Simple Stress Strain & Elastic Constants - 2 - Civil Engineering (CE) MCQ

Test: Properties of Metals, Simple Stress Strain & Elastic Constants - 2 - Civil Engineering (CE) MCQ


Test Description

10 Questions MCQ Test - Test: Properties of Metals, Simple Stress Strain & Elastic Constants - 2

Test: Properties of Metals, Simple Stress Strain & Elastic Constants - 2 for Civil Engineering (CE) 2025 is part of Civil Engineering (CE) preparation. The Test: Properties of Metals, Simple Stress Strain & Elastic Constants - 2 questions and answers have been prepared according to the Civil Engineering (CE) exam syllabus.The Test: Properties of Metals, Simple Stress Strain & Elastic Constants - 2 MCQs are made for Civil Engineering (CE) 2025 Exam. Find important definitions, questions, notes, meanings, examples, exercises, MCQs and online tests for Test: Properties of Metals, Simple Stress Strain & Elastic Constants - 2 below.
Solutions of Test: Properties of Metals, Simple Stress Strain & Elastic Constants - 2 questions in English are available as part of our course for Civil Engineering (CE) & Test: Properties of Metals, Simple Stress Strain & Elastic Constants - 2 solutions in Hindi for Civil Engineering (CE) course. Download more important topics, notes, lectures and mock test series for Civil Engineering (CE) Exam by signing up for free. Attempt Test: Properties of Metals, Simple Stress Strain & Elastic Constants - 2 | 10 questions in 30 minutes | Mock test for Civil Engineering (CE) preparation | Free important questions MCQ to study for Civil Engineering (CE) Exam | Download free PDF with solutions
Test: Properties of Metals, Simple Stress Strain & Elastic Constants - 2 - Question 1

According to St. Venant’s principle

Detailed Solution for Test: Properties of Metals, Simple Stress Strain & Elastic Constants - 2 - Question 1
Explanation of St. Venant's Principle:

  • Definition: St. Venant's principle states that stress conditions approach uniformly as the distance from the point of application of the load increases.

  • Uniform Stress Distribution: This principle implies that within a certain distance from the applied load, the stress distribution in a material will be uniform.

  • Equal Stress: The principle also suggests that as the distance from the load increases, the deformations of all materials for a given loading become equal.

  • Relieving Stresses: Contrary to option D, St. Venant's principle does not imply that stresses in a loaded member tend to relieve after a point of time. Instead, it focuses on the uniformity of stress distribution.

  • Application: Engineers often use St. Venant's principle to simplify stress analysis in structural mechanics, allowing for easier calculations and predictions of material behavior under loads.

Test: Properties of Metals, Simple Stress Strain & Elastic Constants - 2 - Question 2

Notched bar tests are frequently used for testing the

Detailed Solution for Test: Properties of Metals, Simple Stress Strain & Elastic Constants - 2 - Question 2

Notched bar test- Impact Strength of a Material
Indentation Test- Hardness of a Material
The machinability rating is determined by measuring the weighted averages of the normal cutting speed, surface finish, and tool life for each material.
Salt Spray/Fog Test- Corrosion resistance of the material.

Test: Properties of Metals, Simple Stress Strain & Elastic Constants - 2 - Question 3

In the creep test, the following type of stress is applied to the specimen

Detailed Solution for Test: Properties of Metals, Simple Stress Strain & Elastic Constants - 2 - Question 3
Explanation:

  • Creep Test: The creep test is a type of test used to measure the behavior of materials under a constant load over an extended period of time.

  • Type of Stress: In the creep test, uniaxial tension stress is applied to the specimen.

  • Uniaxial Tension: Uniaxial tension stress refers to the stress applied in a single direction, causing the specimen to elongate.

  • Behavior of Materials: By subjecting the specimen to uniaxial tension stress in the creep test, researchers can observe how the material deforms over time and analyze its creep behavior.

  • Creep Behavior: Creep behavior is the tendency of a material to deform slowly under a constant load, which is important to understand in various engineering applications.

Test: Properties of Metals, Simple Stress Strain & Elastic Constants - 2 - Question 4

A free bar of length / is uniformly heated from 0°C to a temperature t°C, α is the coefficient of linear expansion and E is the modulus of elasticity. The stress in the bar is

Detailed Solution for Test: Properties of Metals, Simple Stress Strain & Elastic Constants - 2 - Question 4

Since the bar is free to expand, no stresses will be developed in the bar.

Test: Properties of Metals, Simple Stress Strain & Elastic Constants - 2 - Question 5

A test specimen is stressed slightly beyond the yield point and then unloaded. Its yield strength

Detailed Solution for Test: Properties of Metals, Simple Stress Strain & Elastic Constants - 2 - Question 5

Test: Properties of Metals, Simple Stress Strain & Elastic Constants - 2 - Question 6

Cup-and-cone type fracture occurs in the case of

Detailed Solution for Test: Properties of Metals, Simple Stress Strain & Elastic Constants - 2 - Question 6
Cup-and-cone type fracture occurs in the case of:

  • Explanation of Cup-and-Cone Fracture: Cup-and-cone fracture is a type of fracture that occurs in ductile materials when subjected to tensile stress.

  • Characteristics of Cup-and-Cone Fracture: This type of fracture is characterized by the formation of a cup-shaped cavity on one side of the fracture surface and a cone-shaped projection on the other side.

  • Reason for Occurrence: Cup-and-cone type fracture occurs in round specimens of ductile metals because the stress distribution is symmetrical around the circumference of the specimen.

  • Explanation of Other Options:

    • Cast iron typically exhibits a brittle fracture.

    • Tough steel is more likely to exhibit a ductile fracture rather than a cup-and-cone fracture.

    • Soft brass is also more likely to exhibit a ductile fracture rather than a cup-and-cone fracture.



Test: Properties of Metals, Simple Stress Strain & Elastic Constants - 2 - Question 7

Materials having elongation less than 5% are considered brittle. In such cases, factor of safety is based on

Detailed Solution for Test: Properties of Metals, Simple Stress Strain & Elastic Constants - 2 - Question 7

Brittle materials have very little or no plastic deformation before they fracture, which means they do not exhibit a distinct yield point (unlike ductile materials). They tend to fail suddenly when they reach their ultimate stress rather than yielding or undergoing plastic deformation.

  • Ultimate Stress (d): This is the maximum stress that a material can withstand before failure. Since brittle materials fracture at this point without significant plastic deformation, the factor of safety for brittle materials is based on the ultimate stress to ensure they do not reach the stress level at which they would break.

     

 

Test: Properties of Metals, Simple Stress Strain & Elastic Constants - 2 - Question 8

A rod of length 'l’ and cross-sectional area ‘A’ rotates about an axis passing through one end of the rod. The extension produced in the rod due to centrifugal forces is (w is the weight of the rod per unit length and ω is the angular velocily of rotation of the rod)

Detailed Solution for Test: Properties of Metals, Simple Stress Strain & Elastic Constants - 2 - Question 8





Test: Properties of Metals, Simple Stress Strain & Elastic Constants - 2 - Question 9

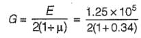
Young’s modulus of elasticity and Poisson’s ratio of a material are 1.25 x 105 MPa and 0.34 respectively. The modulus of rigidity of the material is

Detailed Solution for Test: Properties of Metals, Simple Stress Strain & Elastic Constants - 2 - Question 9

 = 0.4664 x 105 MPa

Test: Properties of Metals, Simple Stress Strain & Elastic Constants - 2 - Question 10

In a homogeneous, isotropic elastic material, the modulus of elasticity E in terms of G and K is equal to

Detailed Solution for Test: Properties of Metals, Simple Stress Strain & Elastic Constants - 2 - Question 10


Information about Test: Properties of Metals, Simple Stress Strain & Elastic Constants - 2 Page
In this test you can find the Exam questions for Test: Properties of Metals, Simple Stress Strain & Elastic Constants - 2 solved & explained in the simplest way possible. Besides giving Questions and answers for Test: Properties of Metals, Simple Stress Strain & Elastic Constants - 2, EduRev gives you an ample number of Online tests for practice
Download as PDF