Class 7 Exam  >  Class 7 Tests  >  Test: Rational Numbers- 2 - Class 7 MCQ

Test: Rational Numbers- 2 - Class 7 MCQ


Test Description

15 Questions MCQ Test - Test: Rational Numbers- 2

Test: Rational Numbers- 2 for Class 7 2025 is part of Class 7 preparation. The Test: Rational Numbers- 2 questions and answers have been prepared according to the Class 7 exam syllabus.The Test: Rational Numbers- 2 MCQs are made for Class 7 2025 Exam. Find important definitions, questions, notes, meanings, examples, exercises, MCQs and online tests for Test: Rational Numbers- 2 below.
Solutions of Test: Rational Numbers- 2 questions in English are available as part of our course for Class 7 & Test: Rational Numbers- 2 solutions in Hindi for Class 7 course. Download more important topics, notes, lectures and mock test series for Class 7 Exam by signing up for free. Attempt Test: Rational Numbers- 2 | 15 questions in 30 minutes | Mock test for Class 7 preparation | Free important questions MCQ to study for Class 7 Exam | Download free PDF with solutions
Test: Rational Numbers- 2 - Question 1

Find a rational number between 1/2 and 1/4 such that, its denominator is 8.

Detailed Solution for Test: Rational Numbers- 2 - Question 1

as 3/8 lie between 1/2 and 1/4
1/4 < 3/8 <1/2

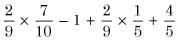
Test: Rational Numbers- 2 - Question 2

Simplify:  = ?

Detailed Solution for Test: Rational Numbers- 2 - Question 2



Test: Rational Numbers- 2 - Question 3

Which rational number has no reciprocal?

Detailed Solution for Test: Rational Numbers- 2 - Question 3

as we 1/0 is not defined that 's why 0 does not have reciprocal

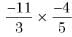
Test: Rational Numbers- 2 - Question 4

Simplify:  = ?

Detailed Solution for Test: Rational Numbers- 2 - Question 4


-33/40 + 3/40 -11/4
-33/40 + 3/40 -110/40
-140/40
-7/2

Test: Rational Numbers- 2 - Question 5

Which of the following rational number lies between the rational numbers a and b?

Detailed Solution for Test: Rational Numbers- 2 - Question 5

(a + b)/2

Test: Rational Numbers- 2 - Question 6

Which number should be subtracted from 11/12  so that we obtain -3/4 ?

Detailed Solution for Test: Rational Numbers- 2 - Question 6

5/3

Test: Rational Numbers- 2 - Question 7

The rational number lying between is -1 / 3 and 1 / 2 .

Detailed Solution for Test: Rational Numbers- 2 - Question 7

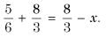
Test: Rational Numbers- 2 - Question 8

Find the missing number x

Detailed Solution for Test: Rational Numbers- 2 - Question 8

-5/6

Test: Rational Numbers- 2 - Question 9

The sum of two rational numbers is -7. If one of the numbers is –15/19, the other number is _____

Detailed Solution for Test: Rational Numbers- 2 - Question 9

Test: Rational Numbers- 2 - Question 10

What number should be added to 15/16 so that we get the rational number 77/48 ?

Detailed Solution for Test: Rational Numbers- 2 - Question 10

2/3

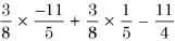
Test: Rational Numbers- 2 - Question 11

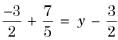
Find the missing number ‘y'

Detailed Solution for Test: Rational Numbers- 2 - Question 11

-3/2 gets cancel out from each side
so y = 7/5

Test: Rational Numbers- 2 - Question 12

What is the multiplicative inverse of ?

Detailed Solution for Test: Rational Numbers- 2 - Question 12

15/44

Test: Rational Numbers- 2 - Question 13

Ramesh’s camera was loaded with a new roll of film. The film can take 36 snaps. During the class picnic he took 20 pictures. What fraction of the roll can still be used to take snaps?

Detailed Solution for Test: Rational Numbers- 2 - Question 13

4/9

Test: Rational Numbers- 2 - Question 14

What is the reciprocal of 8 x 3/2?

Detailed Solution for Test: Rational Numbers- 2 - Question 14

1/12

Test: Rational Numbers- 2 - Question 15

What is the value of ?

Detailed Solution for Test: Rational Numbers- 2 - Question 15

5/3

Information about Test: Rational Numbers- 2 Page
In this test you can find the Exam questions for Test: Rational Numbers- 2 solved & explained in the simplest way possible. Besides giving Questions and answers for Test: Rational Numbers- 2, EduRev gives you an ample number of Online tests for practice
Download as PDF