JEE Exam  >  JEE Tests  >  Test: Refining & Reduction of Crude Metal, Flux and Refractory materials - JEE MCQ

Test: Refining & Reduction of Crude Metal, Flux and Refractory materials - JEE MCQ


Test Description

15 Questions MCQ Test - Test: Refining & Reduction of Crude Metal, Flux and Refractory materials

Test: Refining & Reduction of Crude Metal, Flux and Refractory materials for JEE 2025 is part of JEE preparation. The Test: Refining & Reduction of Crude Metal, Flux and Refractory materials questions and answers have been prepared according to the JEE exam syllabus.The Test: Refining & Reduction of Crude Metal, Flux and Refractory materials MCQs are made for JEE 2025 Exam. Find important definitions, questions, notes, meanings, examples, exercises, MCQs and online tests for Test: Refining & Reduction of Crude Metal, Flux and Refractory materials below.
Solutions of Test: Refining & Reduction of Crude Metal, Flux and Refractory materials questions in English are available as part of our course for JEE & Test: Refining & Reduction of Crude Metal, Flux and Refractory materials solutions in Hindi for JEE course. Download more important topics, notes, lectures and mock test series for JEE Exam by signing up for free. Attempt Test: Refining & Reduction of Crude Metal, Flux and Refractory materials | 15 questions in 20 minutes | Mock test for JEE preparation | Free important questions MCQ to study for JEE Exam | Download free PDF with solutions
Test: Refining & Reduction of Crude Metal, Flux and Refractory materials - Question 1

Which of the following statements regarding electrolytic refining of copper is incorrect?

Detailed Solution for Test: Refining & Reduction of Crude Metal, Flux and Refractory materials - Question 1
During electrolytic refining of copper electrolyte used is acidified solution of copper sulphate.
Test: Refining & Reduction of Crude Metal, Flux and Refractory materials - Question 2

Which one of the following ores is concentrated by chemical leaching method?

Detailed Solution for Test: Refining & Reduction of Crude Metal, Flux and Refractory materials - Question 2

In this process the finely divided powdered argentite or the native silver or gold is treated with a dilute solution (0.5%) of sodium or potassium cyanide while a current of air is continuously passed. As a result silver pass into solution forming their respective soluble complex cyanides while the impurities remain unaffected which are filtered off.

Test: Refining & Reduction of Crude Metal, Flux and Refractory materials - Question 3

If an impurity in a metal has a greater affinity for oxygen and is more easily oxidised than the metal, then the purification of metal may be carried out by

Detailed Solution for Test: Refining & Reduction of Crude Metal, Flux and Refractory materials - Question 3
Cupellation can be used in such a case.
Test: Refining & Reduction of Crude Metal, Flux and Refractory materials - Question 4
van Arkel method of purification of metals involves converting the metal to a
Detailed Solution for Test: Refining & Reduction of Crude Metal, Flux and Refractory materials - Question 4
(stable compound)
Test: Refining & Reduction of Crude Metal, Flux and Refractory materials - Question 5
Which of the following pairs of metals is purified by van Arkel method?
Detailed Solution for Test: Refining & Reduction of Crude Metal, Flux and Refractory materials - Question 5




Pure titanium
Test: Refining & Reduction of Crude Metal, Flux and Refractory materials - Question 6
Which of the following processes involve the roasting process?
Detailed Solution for Test: Refining & Reduction of Crude Metal, Flux and Refractory materials - Question 6
Roasting involves heating the ore strongly in presence of excess of air
Test: Refining & Reduction of Crude Metal, Flux and Refractory materials - Question 7
In electrorefining of copper some gold is deposited as
Detailed Solution for Test: Refining & Reduction of Crude Metal, Flux and Refractory materials - Question 7
Gold is deposited as anode mud.
Test: Refining & Reduction of Crude Metal, Flux and Refractory materials - Question 8
In electro-refining of metal the impure metal is made the anode and a strip of pure metal, the cathode, during the electrolysis of an aqueous solution of a complex metal salt. This method cannot be used for refining of
Detailed Solution for Test: Refining & Reduction of Crude Metal, Flux and Refractory materials - Question 8
Na reacts vigorously with water (exothermic process)
Test: Refining & Reduction of Crude Metal, Flux and Refractory materials - Question 9

Match the following items of List-I with those of List-II

The correct answer is

Detailed Solution for Test: Refining & Reduction of Crude Metal, Flux and Refractory materials - Question 9

(A) The Mond process, sometimes known as the carbonyl process, is a technique created by Ludwig Mond in 1890, to extract and purify nickel. Thus, correct match for (A) - (4).
(B) van Arkel method is used for refining zirconium or titanium. In this method, oxygen and nitrogen, present as impurity are removed by heating metal in an evacuated vessel with iodine. Thus, correct match for (B) - (3).
(C) Zone refining is a very useful method to get metals with very high purity such as silicon and germanium. Thus, correct match for (c)-(2).
(D) Many metals, such as copper, zinc, tin, nickel, silver, gold etc. are refined by electrolysis. In this process, the impure metal is made the anode and a thin strip of pure metal is made the cathode. The solution of the metal salt is used as an electrolyte. Thus, correct match for (D) - (1).
Hence, the correct option is (c).

Test: Refining & Reduction of Crude Metal, Flux and Refractory materials - Question 10

The metal purified by. Mond process is and metal purified by van Arkel method is . X and Y respectively are

Detailed Solution for Test: Refining & Reduction of Crude Metal, Flux and Refractory materials - Question 10

Test: Refining & Reduction of Crude Metal, Flux and Refractory materials - Question 11

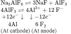
During the electrolysis of cryolite, aluminium and fluorine are formed in ........ molar ratio :

Detailed Solution for Test: Refining & Reduction of Crude Metal, Flux and Refractory materials - Question 11

Electrolysis of cryolite can be explained as

So, the molar ratio of Al and F2 is 4:6=2:3.

Test: Refining & Reduction of Crude Metal, Flux and Refractory materials - Question 12
Which method of purification is represented by the following equation?
Detailed Solution for Test: Refining & Reduction of Crude Metal, Flux and Refractory materials - Question 12


This process is also known as Van Arkel method. It is used for refining Zirconium or Titanium. In this method, oxygen and nitrogen present as impurity are removed by heating metal in an evacuated vessel with iodine.
Test: Refining & Reduction of Crude Metal, Flux and Refractory materials - Question 13
Refractory materials are generally used in furnaces because
Detailed Solution for Test: Refining & Reduction of Crude Metal, Flux and Refractory materials - Question 13
Refractories are the substances which can withstand very high temperature without melting or becoming soft.
Test: Refining & Reduction of Crude Metal, Flux and Refractory materials - Question 14
Which one of the following ores is not concentrated by froth floatation process?
Detailed Solution for Test: Refining & Reduction of Crude Metal, Flux and Refractory materials - Question 14
Pyrolusite is . Hence not concentrated by froth floatation process.
Test: Refining & Reduction of Crude Metal, Flux and Refractory materials - Question 15
Which one of the following is used as an acid flux in metallurgy?
Detailed Solution for Test: Refining & Reduction of Crude Metal, Flux and Refractory materials - Question 15
(silica) is used as an acid flux in metallurgy. It reacts with gangue to form slag.
Information about Test: Refining & Reduction of Crude Metal, Flux and Refractory materials Page
In this test you can find the Exam questions for Test: Refining & Reduction of Crude Metal, Flux and Refractory materials solved & explained in the simplest way possible. Besides giving Questions and answers for Test: Refining & Reduction of Crude Metal, Flux and Refractory materials, EduRev gives you an ample number of Online tests for practice
Download as PDF