CUET Exam  >  CUET Tests  >  Test: Wave Optics - 2 - CUET MCQ

Test: Wave Optics - 2 - CUET MCQ


Test Description

10 Questions MCQ Test - Test: Wave Optics - 2

Test: Wave Optics - 2 for CUET 2025 is part of CUET preparation. The Test: Wave Optics - 2 questions and answers have been prepared according to the CUET exam syllabus.The Test: Wave Optics - 2 MCQs are made for CUET 2025 Exam. Find important definitions, questions, notes, meanings, examples, exercises, MCQs and online tests for Test: Wave Optics - 2 below.
Solutions of Test: Wave Optics - 2 questions in English are available as part of our course for CUET & Test: Wave Optics - 2 solutions in Hindi for CUET course. Download more important topics, notes, lectures and mock test series for CUET Exam by signing up for free. Attempt Test: Wave Optics - 2 | 10 questions in 10 minutes | Mock test for CUET preparation | Free important questions MCQ to study for CUET Exam | Download free PDF with solutions
Test: Wave Optics - 2 - Question 1

At the time of total solar eclipse, the spectrum of the solar radiation will have

Detailed Solution for Test: Wave Optics - 2 - Question 1

When the visible light from below the Sun's surface passes through the layers above it (the photosphere and the chromospheres), some of the light at particular wavelengths is absorbed by atoms and ions, so the missing lines are called Fraunhofer lines. At the time of the solar eclipse, there is no light from the central part (photosphere) of the sun on the earth. The light on the earth comes from chromospheres, which contains various elements of the excited gaseous state. The spectrum consists of bright emission lines against dark background. These bright lines correspond to the Fraunhofer lines observed in normal solar spectrum.

Test: Wave Optics - 2 - Question 2

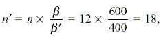
In a Young's double slit experiment, 12 fringes are observed to be formed in a certain region of the screen when light of wavelength 600 nm is used. If the light of wavelength 400 nm is used, the number of fringes observed in the same region of the screen will be

Detailed Solution for Test: Wave Optics - 2 - Question 2

Number of fringes = (width of region/fringes width) or n = L/β.
Now, fringe width β is proportional to wavelength. Hence the new number of fringes will be   which is choice (2).

Test: Wave Optics - 2 - Question 3

Diffraction pattern of a single slit consists of a central band, which is

Detailed Solution for Test: Wave Optics - 2 - Question 3

It is found that the width of central maxima is twice as that of a secondary maxima. Also, the intensity of the secondary maxima goes on decreasing with the order of maxima.

Test: Wave Optics - 2 - Question 4

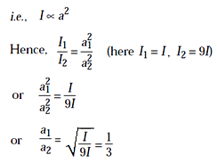
Two waves have the intensities I and 9I. What will be the ratio of their amplitudes?

Detailed Solution for Test: Wave Optics - 2 - Question 4

We know that the intensity is proportional to square of amplitude.

Test: Wave Optics - 2 - Question 5

If the distance between the slits of Young's double slit experiment is halved, the fringe width will become

Detailed Solution for Test: Wave Optics - 2 - Question 5

Fringe width, w = xn+1 – xn = Dλ/d
Since D is halved, w (fringe width) will become double.

Test: Wave Optics - 2 - Question 6

Suppose in a double slit experiment, d = 0.150 mm, L = 120 cm, λ = 833 nm and y = 2 cm. What is the path difference δ for the rays from the two slits arriving at a point?

Detailed Solution for Test: Wave Optics - 2 - Question 6

The path difference is given by δ = dsin θ​​​​​​​. When L >> y, θ​​​​​​​ is small and we can make the approximation sinθ​​​​​​​ ≈ tanθ = y/L. Thus,

Test: Wave Optics - 2 - Question 7

In Young's double slit experiment, the central maxima is observed to be Io. If one of the slits is covered, then the intensity at the central maxima will become

Detailed Solution for Test: Wave Optics - 2 - Question 7


When one slit is covered then I2 = 0.
∴ I'0 = I
= I0/4

Test: Wave Optics - 2 - Question 8

To analyse a plane polarised light, an analyser is rotated. In one complete rotation of the analyser, one finds

Detailed Solution for Test: Wave Optics - 2 - Question 8

I = I0 cos
When θ lies between 0 and 2πextinction occurs at π/2 and 3π/2and brightness occurs at 0 and π.

Test: Wave Optics - 2 - Question 9

Monochromatic light is refracted from air into glass of refractive index μ. The ratio of the wavelengths of the incident and refracted waves is

Detailed Solution for Test: Wave Optics - 2 - Question 9

Since, the frequency n of the light does not change as light travels from air into glass, we have 
Therefore, 

Test: Wave Optics - 2 - Question 10

In the phenomenon of interference, energy is

Detailed Solution for Test: Wave Optics - 2 - Question 10

Energy is neither destroyed nor created.
In case of interference, the superposition of two or more waves takes place resulting in a new wave pattern. So, energy is distributed in case of interference.

Information about Test: Wave Optics - 2 Page
In this test you can find the Exam questions for Test: Wave Optics - 2 solved & explained in the simplest way possible. Besides giving Questions and answers for Test: Wave Optics - 2, EduRev gives you an ample number of Online tests for practice
Download as PDF