UGC NET Exam  >  UGC NET Tests  >  UGC NET Paper 2 Mock Test - 5 (Management) - UGC NET MCQ

UGC NET Paper 2 Mock Test - 5 (Management) - UGC NET MCQ


Test Description

30 Questions MCQ Test - UGC NET Paper 2 Mock Test - 5 (Management)

UGC NET Paper 2 Mock Test - 5 (Management) for UGC NET 2025 is part of UGC NET preparation. The UGC NET Paper 2 Mock Test - 5 (Management) questions and answers have been prepared according to the UGC NET exam syllabus.The UGC NET Paper 2 Mock Test - 5 (Management) MCQs are made for UGC NET 2025 Exam. Find important definitions, questions, notes, meanings, examples, exercises, MCQs and online tests for UGC NET Paper 2 Mock Test - 5 (Management) below.
Solutions of UGC NET Paper 2 Mock Test - 5 (Management) questions in English are available as part of our course for UGC NET & UGC NET Paper 2 Mock Test - 5 (Management) solutions in Hindi for UGC NET course. Download more important topics, notes, lectures and mock test series for UGC NET Exam by signing up for free. Attempt UGC NET Paper 2 Mock Test - 5 (Management) | 100 questions in 120 minutes | Mock test for UGC NET preparation | Free important questions MCQ to study for UGC NET Exam | Download free PDF with solutions
UGC NET Paper 2 Mock Test - 5 (Management) - Question 1

Additional revenue generated by selling an additional unit is:  

Detailed Solution for UGC NET Paper 2 Mock Test - 5 (Management) - Question 1

In microeconomics, marginal revenue (MR) is the additional revenue that will be generated by increasing product sales by one unit. In a perfectly competitive market, the additional revenue generated by selling an additional unit of a good is equal to the price the firm is able to charge the buyer of the good.

UGC NET Paper 2 Mock Test - 5 (Management) - Question 2

Which one of the following describes the metamorphosis stage of employee socialisation?  

Detailed Solution for UGC NET Paper 2 Mock Test - 5 (Management) - Question 2

In the opinion of Maanen and Schein, socialisation can be conceptualised as a process made up of three stages: pre-arrival, encounter and metamorphosis.

Employee orientation and induction is also called employee socialisation process. In today's world, socialisation is a continuous process due to the fact that the organisations have become dynamic. At metamorphosis stage of socialisation, employees understand the organisation and identify themselves with it. Employees develop a sense of belongingness and become contributors to achieve organisational goals and objectives.

UGC NET Paper 2 Mock Test - 5 (Management) - Question 3

Ethical challenges may arise on account of:  

Detailed Solution for UGC NET Paper 2 Mock Test - 5 (Management) - Question 3

Ethical challenges provides information and activities to help individuals or groups think through basic ethical concepts and considerations. Ethical challenges will not provide specific answers for the specific dilemmas that people face but will help readers bring to conscious awareness some understandings that help in thinking through ethical issues.
Ethical challenges may arise on account of:
(a) Failure of personal character, conflict of personal value and organisational goals and conflict of organisational goals and social values
(b) Hazardous but popular products

UGC NET Paper 2 Mock Test - 5 (Management) - Question 4

A 'dumb terminal' essentially consists of  

Detailed Solution for UGC NET Paper 2 Mock Test - 5 (Management) - Question 4

A dumb terminal is a very simple monitor with very little processing power and features. It does not have the ability to process escape sequences such as clearing a line, clearing the screen or controlling the cursor position. Information is presented as an array of pre-selected formed characters. When such devices use a video display such as a cathode-ray tube, they are called a "video display unit" or "visual display unit" (VDU) or "video display terminal" (VDT).

It is dubbed as a glass teletype as it has the same limited functionality of one. It is usually paired with a keyboard and sometimes a mouse to allow the user to input commands and data.

UGC NET Paper 2 Mock Test - 5 (Management) - Question 5

Match the items of List-II with the items of List-I and suggest the correct code:

Detailed Solution for UGC NET Paper 2 Mock Test - 5 (Management) - Question 5

Perceived Peripherality of Change: If the executives perceive that the change being introduced in the organisation is not critical for them of their unit, they are likely to resist such a change. Participation in diagnosis is a management strategy to overcome the resistance.

Fear of Loss of Power: Any change would result in some roles in the organisation to lose power. This feeling of loss of power could lead to resistance. In order to overcome this resistance, there is a need to redefine and redesign the roles.

Fear of Obsolescence: People resist change as they fear that they may become obsolete as they lack those skills which are required for coping with the change. Organisations should provide opportunities to those people in the development of the required skills, which could help to overcome resistance.

Fear of Imposition: When people see the change as being imposed, they tend to resist it. The resistance can be overcome by involving people in the introduction of change at several stages.

UGC NET Paper 2 Mock Test - 5 (Management) - Question 6

Which of the following is not a principle of 'Hot Stove Rule'?  

Detailed Solution for UGC NET Paper 2 Mock Test - 5 (Management) - Question 6

The Hot Stove Rule is a principle used in management and employee discipline. It is based on the analogy of touching a hot stove and the immediate consequences that follow. The four principles of the Hot Stove Rule are:

  • Prior Warning: Just as a hot stove emits heat before burning, employees should be given prior warning about the consequences of their actions or behaviors.
  • Immediate Response: Just as touching a hot stove results in an immediate burn, disciplinary action should be prompt and immediate after an employee violates a rule or policy.
  • Consistent Action: Just as touching a hot stove will always result in a burn, disciplinary actions should be consistent and applied uniformly to all employees who engage in similar behaviors.
  • Personal Approach: This option is not part of the Hot Stove Rule. Instead, it is often associated with effective management and leadership styles, emphasizing a personalized approach to understanding and addressing individual employee needs and concerns.

So, option 4 (Personal Approach) is not a principle of the Hot Stove Rule.

UGC NET Paper 2 Mock Test - 5 (Management) - Question 7

The extrinsic properties of the product or service, including the ways in which the brand attempts to meet customers' psychological or social needs, are known as:  

Detailed Solution for UGC NET Paper 2 Mock Test - 5 (Management) - Question 7

The extrinsic properties of the product or service, including the ways in which the brand attempts to meet customers' psychological or social needs are known as brand imagery. Brand imagery is the tangible or intangible elements that consumers associate with a brand. It could be a package, an experience, a small, a feeling, a taste, and so on. Brand imagery is visual, auditory, olfactory, or tactile.

UGC NET Paper 2 Mock Test - 5 (Management) - Question 8

Which is the oldest and simplest form of organisation?  

Detailed Solution for UGC NET Paper 2 Mock Test - 5 (Management) - Question 8

Line organisation is the oldest and simplest form of organisation. According to this type of organisation, the authority flows from top to bottom in a concern. The line of command is carried out from top to bottom.

UGC NET Paper 2 Mock Test - 5 (Management) - Question 9

The term ''Grapevine Communication'' is related to:  

Detailed Solution for UGC NET Paper 2 Mock Test - 5 (Management) - Question 9

Grapevine is an informal communication, unorganised and unofficial channel of communication in an organisation. When the formal channels fail or do not work properly and some over-smart people spread rumours, false and irresponsible statement or half-truths in all the directions, it is called the communication on the grapevine channel.

UGC NET Paper 2 Mock Test - 5 (Management) - Question 10

Match the following:

Detailed Solution for UGC NET Paper 2 Mock Test - 5 (Management) - Question 10

Job analysis is a process of obtaining job facts. It is used to collect information about the duties, responsibilities, necessary skills, outcomes, and work environment of a particular job.

Job description is a statement of duties and responsibilities of a job. The analysis considers the areas of knowledge, skills and abilities needed to perform the job.

Job specification is a statement of human qualities to fill the job. It comprises educational qualifications, specific qualities, level of experience, etc.

Job classification is a process of grading jobs according to scale of pay. Job classification groups jobs into various grades, each grade having a certain specific class description.

UGC NET Paper 2 Mock Test - 5 (Management) - Question 11

Which one of the following types of strike is without the consent of official of union?  

Detailed Solution for UGC NET Paper 2 Mock Test - 5 (Management) - Question 11

A strike involves temporary but indefinite suspension of work on the part of employees or workers as a form of protest to have their demands met.
A wildcat strike is a work stoppage that occurs during the term of a collective bargaining agreement without approval of union leadership and in violation of a no-strike clause. Such strikes generally occur because labour has specific problems or concerns that have not been satisfactorily addressed by employers or workers feel that union leaders are not acting in the best interest of the union members. It is also referred to as an "outlaw strike".

UGC NET Paper 2 Mock Test - 5 (Management) - Question 12

Match the items of List-II with those of List-I; and choose the correct code of combination:

Detailed Solution for UGC NET Paper 2 Mock Test - 5 (Management) - Question 12

Procedural justice pertains to making decisions and establishment of policies in the organisation. It ensures that the most respectful and fair decision is made, regardless of the situation. It also ensures whether the actions performed comply to the law or not.

Commutative justice refers to that which is owed between individuals, such as in conducting business transactions. Commutative justice calls for fundamental fairness in all agreements and exchanges between individuals or private social groups. It justifies that justice is ensured at the beginning and all people are treated equally.

Communitarianism is a philosophy that emphasises the connection between the individual and the community. Its overriding philosophy is based upon the belief that a person's social identity and personality are largely moulded by community relationships, with a smaller degree of development being placed on individualism. It ensures justice to a particular community which has been suffering in the past from injustice.

Distributive justice refers to equitable distribution of benefits and burdens. These benefits and burdens could be in the form of income, power, wealth, education, religious activities and other economic, social or organisation variable. It focuses on treating equal people equally and unequal people unequally.

UGC NET Paper 2 Mock Test - 5 (Management) - Question 13

The following statements relate to Badli workman. Indicate the correct code.

Statement (I): A 'Badli workman' is employed in an industrial establishment in place of another workman whose name is borne on muster rolls of the establishment.
Statement (II): A 'Badli workman' ceases to be regarded as such if he has completed three month's service in the establishment.

Detailed Solution for UGC NET Paper 2 Mock Test - 5 (Management) - Question 13

Badli worker is one who is appointed for the time being to do some work of regular nature when the person who has been doing that work goes on leave or is absent due to any reason. The job will cease to exist when the regular employee for whose absence he is appointed resumes duty.

UGC NET Paper 2 Mock Test - 5 (Management) - Question 14

Match the following:

Detailed Solution for UGC NET Paper 2 Mock Test - 5 (Management) - Question 14

"An Inquiry into the Nature and Causes of the Wealth of Nations"—commonly referred to simply as "The Wealth of Nations"—was written by Adam Smith.

A renowned British statistician and economist called Sir Robert Giffen gave the concept of Income and Substitution Effect.

The Kinked Demand Curve of oligopoly was developed by Paul M. Sweezy in 1939.

Production Function was introduced by Cobb-Douglas. It's a commonly used function in macroeconomics and forecast production.

UGC NET Paper 2 Mock Test - 5 (Management) - Question 15

If the intrinsic value of the share is greater than market value, such shares are:  

Detailed Solution for UGC NET Paper 2 Mock Test - 5 (Management) - Question 15

If the intrinsic value of the share is greater than market value, such shares are undervalued.
Undervalued stocks are those shares whose current price is trading at a discount to its intrinsic value.
For example: A stock whose current price is Rs. 80, and its estimated intrinsic value is say Rs. 100, such a stock is said to be trading @20% undervaluation.

UGC NET Paper 2 Mock Test - 5 (Management) - Question 16

Which of the following is/are to be considered by an investor while exercising the option?  

Detailed Solution for UGC NET Paper 2 Mock Test - 5 (Management) - Question 16

In options trading, "to exercise" means to put into effect the right to buy or sell the underlying security that is specified in the options contract. If the holder of a put option exercises the contract, then he will sell the underlying security at a stated price within a specific timeframe. Exercise price and spot price are considered by an investor while exercising the option.

UGC NET Paper 2 Mock Test - 5 (Management) - Question 17

According to Weighted-factor Approach to strategic incentive management, if for any strategic business unit, return on assets is 25%, cash flow is 25%, strategic funds programs (developmental expenses) is 25% and market share increase is also 25%, then this will fall in which category?  

Detailed Solution for UGC NET Paper 2 Mock Test - 5 (Management) - Question 17

Weighted-factor Approach to strategic incentive management is a technique to evaluate competing alternatives by scoring each offer against a series of criteria that are weighted to reflect the importance to the final decision. The technique is often used as part of bid evaluation in the procurement process, as it allows a transparent and defensible decision-making trail.
According to Weighted-factor Approach to strategic incentive management, if for any strategic business unit, return on assets is 25%, cash flow is 25%, strategic funds programs (developmental expenses) is 25% and market share increase is also 25%, then this will fall in Medium Growth.

UGC NET Paper 2 Mock Test - 5 (Management) - Question 18

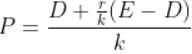
A firm earns return on investment at the rate of 20%, earning per share is Rs. 15, payout ratio is 50%, cost of equity is 12%; the market price per share as per Walter's model is:  

Detailed Solution for UGC NET Paper 2 Mock Test - 5 (Management) - Question 18

Walter's formula for calculating market price per share is as follows:

Where:
P = Market price per share
D = Dividend per share
E = Earnings per share
r = Return on investment
ke = Cost of equity of equity capital
So, according to the question:
When earnings per share is Rs.15 and payout ratio is 50%, then dividend (D) will be 50% of 15 = Rs. 7.5.

(Note: We got decimal values by converting percentage values into decimals.)
P = Rs. 166.67

UGC NET Paper 2 Mock Test - 5 (Management) - Question 19

M-M Hypothesis for capital structure is based on which code of the following assumptions?

(a) Capital markets are perfect.
(b) Firms belong to equal risk class.
(c) There is 100% dividend payout ratio.
(d) There are nominal corporate taxes.

Select the correct code.

Detailed Solution for UGC NET Paper 2 Mock Test - 5 (Management) - Question 19

Modigliani Millar approach, popularly known as MM approach is similar to the net operating income approach. The MM approach favours the net operating income approach and agrees with the fact that the cost of capital is independent of the degree of leverage and at any mix of debt-equity proportions.
Assumptions of MM approach:
1. Capital markets are perfect.
2. All investors have the same expectation of the company's net operating income for the purpose of evaluating the value of the firm.
3. Within similar operating environments, the business risk is equal among all firms.
4. There is 100% dividend payout ratio.

UGC NET Paper 2 Mock Test - 5 (Management) - Question 20

Which of the following statements is false?  

Detailed Solution for UGC NET Paper 2 Mock Test - 5 (Management) - Question 20

Statement given in option 2 is incorrect because term loan from bank is not used to pay dividends to shareholders on time. Term loans can be given on an individual basis, but are often used for small business loans. The ability to repay over a long period of time is attractive for new or expanding enterprises, as the assumption is that they will increase their profit over time. Term loans are a good way of quickly increasing capital in order to raise a business' supply capabilities or range. For instance, some new companies may use a term loan to buy company vehicles or rent more space for their operations.

UGC NET Paper 2 Mock Test - 5 (Management) - Question 21

The appropriate method to derive the growth rate according to Dividend-Growth Model for equity valuation is:  

Detailed Solution for UGC NET Paper 2 Mock Test - 5 (Management) - Question 21

The Gordon Growth Model (GGM) is used to determine the intrinsic value of a stock based on a future series of dividends that grow at a constant rate. It is a popular and straightforward variant of a dividend discount mode (DDM). According to this model, the appropriate method to derive the growth rate is plough-back ratio multiplied by return-on-equity. The plough-back ratio is a fundamental analysis ratio that measures how much earnings are retained after dividends are paid out.

UGC NET Paper 2 Mock Test - 5 (Management) - Question 22

DUPONT analysis refers to:  

Detailed Solution for UGC NET Paper 2 Mock Test - 5 (Management) - Question 22

DUPONT analysis examines the return on assets analysing profit margin, total asset turnover. It was created by the DuPont Corporation in the 1920s.
Return on Assets = 
Here, net profit margin shows the operating efficiency and assets turnover shows the asset use efficiency.

UGC NET Paper 2 Mock Test - 5 (Management) - Question 23

Distribution strategy of a company will be influenced by:  

Detailed Solution for UGC NET Paper 2 Mock Test - 5 (Management) - Question 23

Distribution strategy is precisely the strategy deployed by a company to make sure the product/service can reach the maximum potential customers at minimal or optimal distribution costs.
Distribution strategy of a company is influenced by:

  • Nature of product
  • Target segment of consumers
  • Pricing policy
UGC NET Paper 2 Mock Test - 5 (Management) - Question 24

For the following two statements of Assertion (A) and Reasoning (R), suggest the correct code:

Assertion (A): Low initial price is regarded as the principal means for entering into mass market for some new products.
Reasoning (R): Firms generally enter into production of new products with excess capacity of the plant initially.

Detailed Solution for UGC NET Paper 2 Mock Test - 5 (Management) - Question 24

The product is developed keeping in view a particular need of a set of consumers, and introduced in the market by initiating its commercial production. At this stage, product is new in the market, consequently its demand is low and requires vigorous sales efforts. The promotional costs are, therefore, high at this stage and the production costs are also not fully recovered due to low volume of sales. Low initial price is regarded as the principal means for entering into mass market for some new products.
Firms generally enter into production of new products with less capacity of the plant initially because on an average, every firm is very much concerned to ensure its future growth or is faced with the constant threats of competitive innovative developments.

UGC NET Paper 2 Mock Test - 5 (Management) - Question 25

Selling the products only through a single wholesaler or retailer is called:  

Detailed Solution for UGC NET Paper 2 Mock Test - 5 (Management) - Question 25

Selling the products only through a single wholesaler or retailer is called exclusive distribution strategy. The advantage of an exclusive approach is that the manufacturer retains greater control over the distribution process. In exclusive arrangements, the distributor is expected to work closely with the manufacturer and add value to the product through service level, after sales care or client support services.

UGC NET Paper 2 Mock Test - 5 (Management) - Question 26

A positioning strategy should include all the following strategies except:  

Detailed Solution for UGC NET Paper 2 Mock Test - 5 (Management) - Question 26

Positioning strategy considers the strengths and weaknesses of the organisation, the needs of the customers and market and the position of competitors. A positioning strategy should include the following strategies: promotion strategy, advertising strategy and product strategy. The purpose of a positioning strategy is that it allows a company to spotlight specific areas where they can outshine and beat their competition.

UGC NET Paper 2 Mock Test - 5 (Management) - Question 27

Which of the variables is not used by marketers for demographic segmentation?  

Detailed Solution for UGC NET Paper 2 Mock Test - 5 (Management) - Question 27

Demographic segmentation is one of the most common segmentation practices among marketers. Demographic segmentation divides the market on the basis of demographic variables like age, gender, marital status, family size, income, religion, race and occupation.
Poverty is not used by marketers as a variable for demographic segmentation.

UGC NET Paper 2 Mock Test - 5 (Management) - Question 28

Match the items of List - II with the items of List - I and suggest the correct code:

Detailed Solution for UGC NET Paper 2 Mock Test - 5 (Management) - Question 28

A holistic marketing approach states that business is considered as a whole wherein all the departments viz. R&D, Marketing, Finance, HR, etc. are integrated and work collectively towards the marketing and sale of a product. There are four components that can very well characterise the holistic marketing approach:
Internal marketing means hiring, training, motivating and inculcating business values in able employees who can serve customers well. Internal marketing deals with the market department to know the understanding level of the product among the employees and thereby imparting the necessary training to meet the expected results.
Performance marketing focuses on the returns to the business from the marketing activities undertaken as well as the effects of the same on the society as a whole. The marketer has to give answers to the top authority for the amount spent on marketing activities along with its effects on business. Brand and customer equity is the major focus area of this marketing.
Integrated marketing means how well the 4 P's of the marketing mix (product, price, place, promotion) are synced to deliver the efficient message to the prospective customers.Integrated marketing, an important character of holistic marketing must ensure that each communication tool must give a real and authentic information to the customer.
Relationship marketing focuses on building a strong and long-lasting relationship with all who can directly or indirectly add to the success of an organization.This is the most essential character of holistic marketing that results in a marketing network that shows how well all the stakeholders have created mutually profitable business relationships.

UGC NET Paper 2 Mock Test - 5 (Management) - Question 29

Emerging market economies are:  

Detailed Solution for UGC NET Paper 2 Mock Test - 5 (Management) - Question 29

Emerging market economies are a part of developing countries. An emerging market economy describes a nation's economy that is progressing towards becoming more advanced, usually by means of rapid growth and industrialisation. These countries experience an expanding role both in the world economy and on the political frontier.

UGC NET Paper 2 Mock Test - 5 (Management) - Question 30

What is the term used for the process of selecting group/groups of buyers to whom the company wants to satisfy?  

Detailed Solution for UGC NET Paper 2 Mock Test - 5 (Management) - Question 30

Market targeting is a process of selecting the target market from the entire market. Target market consists of group/groups of buyers to whom the company wants to satisfy or for whom product is manufactured, price is set, promotion efforts are made, and distribution network is prepared.

View more questions
Information about UGC NET Paper 2 Mock Test - 5 (Management) Page
In this test you can find the Exam questions for UGC NET Paper 2 Mock Test - 5 (Management) solved & explained in the simplest way possible. Besides giving Questions and answers for UGC NET Paper 2 Mock Test - 5 (Management), EduRev gives you an ample number of Online tests for practice
Download as PDF