JEE Exam  >  JEE Tests  >  UGEE SUPR Mock Test- 5 - JEE MCQ

UGEE SUPR Mock Test- 5 - JEE MCQ


Test Description

30 Questions MCQ Test - UGEE SUPR Mock Test- 5

UGEE SUPR Mock Test- 5 for JEE 2025 is part of JEE preparation. The UGEE SUPR Mock Test- 5 questions and answers have been prepared according to the JEE exam syllabus.The UGEE SUPR Mock Test- 5 MCQs are made for JEE 2025 Exam. Find important definitions, questions, notes, meanings, examples, exercises, MCQs and online tests for UGEE SUPR Mock Test- 5 below.
Solutions of UGEE SUPR Mock Test- 5 questions in English are available as part of our course for JEE & UGEE SUPR Mock Test- 5 solutions in Hindi for JEE course. Download more important topics, notes, lectures and mock test series for JEE Exam by signing up for free. Attempt UGEE SUPR Mock Test- 5 | 50 questions in 60 minutes | Mock test for JEE preparation | Free important questions MCQ to study for JEE Exam | Download free PDF with solutions
UGEE SUPR Mock Test- 5 - Question 1

The electric potential V is given as a function of distance x (metre) by V = (5x2 + 10 x - 4) volt. Value of electric field at x = 1 m is

Detailed Solution for UGEE SUPR Mock Test- 5 - Question 1

v = 5x+ 10x - 4

At x = 1 m, E = -20V/m

UGEE SUPR Mock Test- 5 - Question 2

A proton moving with a velocity 3 x 105 m/senters a magnetic field of 0.3 tesla at an angle of 300 with the field. The radius of curvature of its path will be (e/m for proton = 108 C/kg)

Detailed Solution for UGEE SUPR Mock Test- 5 - Question 2

Given:

  • v = 3 × 105 m/s
  • B = 0.3 T
  • θ = 30°
  • e/m = 108 C/kg

Short Solution:
1. Find the perpendicular velocity component:

2. Calculate the radius of curvature:

Conclusion:
The radius of curvature is:
0.5 cm

UGEE SUPR Mock Test- 5 - Question 3

If force (F), length (L) and time (T) are assumed to be fundamental units, then the dimensional formula of the mass will be

Detailed Solution for UGEE SUPR Mock Test- 5 - Question 3

Letm = KFaLbTc
Substituting the dimensions of
[F] = [MLT-2], [L] = [L] and [T] = [T] and
comparing both side, we get m = FL-1T2

UGEE SUPR Mock Test- 5 - Question 4

A metal disc of radius 100 cm is rotated at a constant angular speed of 60 rad/s in a plane at right angles to an external field of magnetic induction 0.05 Wb/m2. The emfinduced between the centre and a point on the rim will be

Detailed Solution for UGEE SUPR Mock Test- 5 - Question 4

Induced emf produced between the centre
and a point on the disc is given by

ω = 60 rad/s, B = 0.05Wb/m2
and R = 100 cm = 1m

UGEE SUPR Mock Test- 5 - Question 5

A balloon is rising vertically up with a velocityof 29 ms-1. A stone is dropped from it and it reaches the ground in 10 seconds. The height of the balloon when the stone dropped from it,was (g = 9.8 ms-2)

Detailed Solution for UGEE SUPR Mock Test- 5 - Question 5

Given:
Velocity of balloon (upward): u = 29m/s.
Time to reach ground: t = 10s.
Acceleration due to gravity: g = 9.8m/s2 (downward).
Take upward as positive, so acceleration a = −9.8m/s2.
The stone is dropped, so its initial velocity is the same as the balloon’s: u = +29m/s.
Displacement when it hits the ground (ground is below the drop point): s = −h.
Using the kinematic equation:

Substitute:
−h = 29 × 10 + 1/2​(−9.8) × 102.
−h = 290 − 4.9 × 100.
−h = 290 − 490 = −200.
h = 200m.
The height of the balloon when the stone was dropped was 200 m.

UGEE SUPR Mock Test- 5 - Question 6

An alternating voltage V = V0 sin ωt is applied across a circuit. As a result, a current I = I0 sin(ωt π/2) flows in it. The power consumed percycle is

Detailed Solution for UGEE SUPR Mock Test- 5 - Question 6

The phase angle between voltage V and current I is π/2. Therefore, power factor cos φ = cos (π/2) = 0. Hence the power consumed is zero.

UGEE SUPR Mock Test- 5 - Question 7

A gun fires two bullets at 600 and 300 with horizontal. The bullets strike at some horizontal distance. The ratio of maximum height for the two bullets is in the ratio of

Detailed Solution for UGEE SUPR Mock Test- 5 - Question 7

The bullets are fired at the same initial speed

UGEE SUPR Mock Test- 5 - Question 8

In a simple pendulum of length I the bob is pulled aside from its equilibrium position through an angle θ and then released. The bob passes through the equilibrium position with speed

Detailed Solution for UGEE SUPR Mock Test- 5 - Question 8

If I is length of pendulum and θ be angular amplitude then from principle of conservation of energy

UGEE SUPR Mock Test- 5 - Question 9

A moving coil galvanometer has resistance of 10Ω and full scale deflection of 0.01 A. It can be converted into voltmeter of 10 V full scale by connecting into resistance of

Detailed Solution for UGEE SUPR Mock Test- 5 - Question 9

UGEE SUPR Mock Test- 5 - Question 10

The frequency of whistle of an engine appears to be (4/5)th of initial frequency when it crosses a stationary observer. If the velocity of sound is 330 mis, then the speed of engine will be

Detailed Solution for UGEE SUPR Mock Test- 5 - Question 10


From eq. (3) and (4)
 

UGEE SUPR Mock Test- 5 - Question 11

The I-V characteristics shown in figure represents

Detailed Solution for UGEE SUPR Mock Test- 5 - Question 11

The figure is showing I - V characteristics of non ohmic or non linear conductors.

UGEE SUPR Mock Test- 5 - Question 12

Let [x] denote the greatest integer ≤ x. If f(x) = [x] and g (x) = lxl, then the value of

Detailed Solution for UGEE SUPR Mock Test- 5 - Question 12

Given that, f(x) = [x] and g (x) = IX

UGEE SUPR Mock Test- 5 - Question 13

In the given figure, the equation of the larger circle is x2 + y2 + 4y - 5 = 0 and the distance between centres is 4. Then the equation of smaller circle is

Detailed Solution for UGEE SUPR Mock Test- 5 - Question 13

We have x2 + y+ 4y - 5 = 0. Its centre is C1 (0, -2)

UGEE SUPR Mock Test- 5 - Question 14

The equation sinx - (k + 2) sin2 x - (k + 3) = 0  possesses a solution if 

Detailed Solution for UGEE SUPR Mock Test- 5 - Question 14

We have, 

UGEE SUPR Mock Test- 5 - Question 15

Identify the incorrect statement 

Detailed Solution for UGEE SUPR Mock Test- 5 - Question 15

Hydrolysis of trialkylchlorosilane (R3SiCl) initially forms R3SiOH, but this silanol is unstable and undergoes condensation to form the dimer (R3Si)2O and water:
R3SiCl + H2O → R3SiOH + HCl
2R3SiOH → (R3Si)2O + H2O
Thus, option B is incorrect because the stable product is not R3SiOH but the dimer.

UGEE SUPR Mock Test- 5 - Question 16


Br will abstract which of the hydrogens most readily?

Detailed Solution for UGEE SUPR Mock Test- 5 - Question 16

The bromine radical will pluck off the tertiary hydrogen at C‑1 – and of the two, the axial one (Hₐ) is both on a weaker C–H bond and more exposed sterically. So Br abstracts Hₐ.

UGEE SUPR Mock Test- 5 - Question 17

On reaction with sodium, 1 mol of a compound X gives 1 mol of H2. Which one of the following compounds might be X?

Detailed Solution for UGEE SUPR Mock Test- 5 - Question 17

1,4-Butanediol (HO-CH2CH2CH2CH2-OH) has two -OH groups.
Reaction with sodium: HO-CH2CH2CH2CH2-OH + 2Na → NaO-CH2CH2CH2CH2-ONa + H2
One mole of the compound produces one mole of H2, confirming option D.

UGEE SUPR Mock Test- 5 - Question 18

The final product obtained in the reaction

Detailed Solution for UGEE SUPR Mock Test- 5 - Question 18

UGEE SUPR Mock Test- 5 - Question 19

The number of real solutions of the equation
(x - 1)2 + (x - 2)2 + (x - 3)2 = 0 is

Detailed Solution for UGEE SUPR Mock Test- 5 - Question 19

Equation holds if and olny if  x - 1 = 0, x - 2 = 0 and x - 3 = 0 simultanesouly, which is not possible.

UGEE SUPR Mock Test- 5 - Question 20

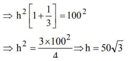
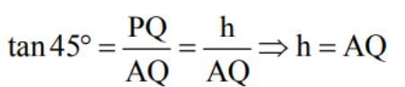
ABC is a triangular park with AB = AC = 100 m. A TV tower stands at the mid-point of BC. The angles of elevation of the top of the tower at A, B, C are 450, 600, 600 respectively. The height of the tower is

Detailed Solution for UGEE SUPR Mock Test- 5 - Question 20


Where PQ is tower and ABC is the park, with Q being mid point of the side BC and PQ = h
Also, AQ2 + BQ2 = 1002
⇒ h2 + h2 cot2 600 = 1002  

UGEE SUPR Mock Test- 5 - Question 21

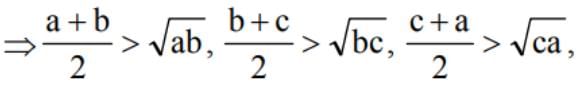
If a > 0, b > 0, c > 0 and a, b, c are distinct, then (a + b) (b + c) (c + a) is greater than

Detailed Solution for UGEE SUPR Mock Test- 5 - Question 21

AM > GM

so, (a + b) (b + c) (c + a) > 8abC

UGEE SUPR Mock Test- 5 - Question 22

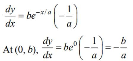
The equation ofthe tangent to the curve y = be-x/a at the point where it crosses they-axis is

Detailed Solution for UGEE SUPR Mock Test- 5 - Question 22

y = be-x/a meets they-axis at (0, b). Again,

Therefore, required tangent is

UGEE SUPR Mock Test- 5 - Question 23

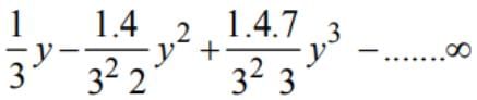
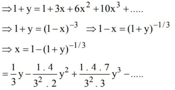
If y = 3x + 6x2 + 10x3 + ........ ∞, then
 is equal to

Detailed Solution for UGEE SUPR Mock Test- 5 - Question 23

We have y = 3x + 6x2 + 10x3 +.......

UGEE SUPR Mock Test- 5 - Question 24

If a, c, b are in GP., then the area of the triangle formed by the lines ax + by + c = 0 with the coordinates axes is equal to

Detailed Solution for UGEE SUPR Mock Test- 5 - Question 24

Area of the triangle 

UGEE SUPR Mock Test- 5 - Question 25

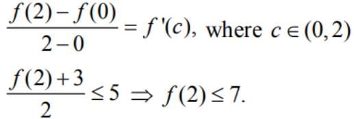
Suppose that f(0) = -3 and f '(x) ≤ 5 for all values of x.
Then, the largest value which f(2) can attain is

Detailed Solution for UGEE SUPR Mock Test- 5 - Question 25

Using in LMT in [0, 2]

UGEE SUPR Mock Test- 5 - Question 26

The maximum value of z = 6x + 8y subject to constraints 2x + y ≤ 30, x + 2y ≤ 24 and x ≥ 0, y ≥ 0 is

Detailed Solution for UGEE SUPR Mock Test- 5 - Question 26

Here, 2x + y ≤ 30, x + 2y ≤ 24, x, y ≥ 0 
The shaded region represents the feasible region, hence
z = 6x + 8y. Obviously it is maximum at (12, 6).
Hence z = 12 × 6 + 8 × 6 = 120

UGEE SUPR Mock Test- 5 - Question 27

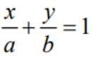
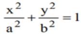
If  touches the ellipse , then

Detailed Solution for UGEE SUPR Mock Test- 5 - Question 27

UGEE SUPR Mock Test- 5 - Question 28

If 0.2 gram of an organic compound containing carbon, hydrogen and oxygen on combustion, yielded 0.147 gram carbon dioxide and 0.12 gram water, what will be the content of oxygen in substance?

Detailed Solution for UGEE SUPR Mock Test- 5 - Question 28

UGEE SUPR Mock Test- 5 - Question 29

The Lassaigne's extract is boiled with dil. HNO3 before testing for halogens because

Detailed Solution for UGEE SUPR Mock Test- 5 - Question 29

Na2S and NaCN, formed during fusion with metallic sodium, must be removed before adding AgNO3 otherwise black ppt. due to Na2S or white precipitate due to AgCN will be formed and thus white precipitate of AgCl will not be identified easily

UGEE SUPR Mock Test- 5 - Question 30

What is X in the following conversion ? 

Detailed Solution for UGEE SUPR Mock Test- 5 - Question 30

Pyridinium chloro chromate selectively oxidises a primary alcohol to an aldehyde

View more questions
Information about UGEE SUPR Mock Test- 5 Page
In this test you can find the Exam questions for UGEE SUPR Mock Test- 5 solved & explained in the simplest way possible. Besides giving Questions and answers for UGEE SUPR Mock Test- 5, EduRev gives you an ample number of Online tests for practice
Download as PDF