UKPSC (Uttarakhand) Exam  >  UKPSC (Uttarakhand) Tests  >  UKPSC Prelims Paper 2 Mock Test - 4 - UKPSC (Uttarakhand) MCQ

UKPSC Prelims Paper 2 Mock Test - 4 - UKPSC (Uttarakhand) MCQ


Test Description

30 Questions MCQ Test - UKPSC Prelims Paper 2 Mock Test - 4

UKPSC Prelims Paper 2 Mock Test - 4 for UKPSC (Uttarakhand) 2025 is part of UKPSC (Uttarakhand) preparation. The UKPSC Prelims Paper 2 Mock Test - 4 questions and answers have been prepared according to the UKPSC (Uttarakhand) exam syllabus.The UKPSC Prelims Paper 2 Mock Test - 4 MCQs are made for UKPSC (Uttarakhand) 2025 Exam. Find important definitions, questions, notes, meanings, examples, exercises, MCQs and online tests for UKPSC Prelims Paper 2 Mock Test - 4 below.
Solutions of UKPSC Prelims Paper 2 Mock Test - 4 questions in English are available as part of our course for UKPSC (Uttarakhand) & UKPSC Prelims Paper 2 Mock Test - 4 solutions in Hindi for UKPSC (Uttarakhand) course. Download more important topics, notes, lectures and mock test series for UKPSC (Uttarakhand) Exam by signing up for free. Attempt UKPSC Prelims Paper 2 Mock Test - 4 | 100 questions in 120 minutes | Mock test for UKPSC (Uttarakhand) preparation | Free important questions MCQ to study for UKPSC (Uttarakhand) Exam | Download free PDF with solutions
UKPSC Prelims Paper 2 Mock Test - 4 - Question 1

Replace the question mark with an option that follows the same logic applied in the first pair. Spearhead: Mislead: Conceal: ?

Detailed Solution for UKPSC Prelims Paper 2 Mock Test - 4 - Question 1

The logic followed here is:
Spearhead: Mislead → Spearhead is the antonym of mislead.
Similarly,
Conceal: ? → Conceal is the antonym of reveal.
Hence, the correct answer is "Option 1".

UKPSC Prelims Paper 2 Mock Test - 4 - Question 2

Choose the correct figure from the given alternatives which will exactly fit into the given figure to make it rectangle.

Detailed Solution for UKPSC Prelims Paper 2 Mock Test - 4 - Question 2

The correct figure from the given alternatives which will exactly fit into the given figure to make it rectangle


Hence, the correct answer is "Option 2".

UKPSC Prelims Paper 2 Mock Test - 4 - Question 3

A Shopkeeper purchased an article for Rs.10200 and sold it for a loss of 10%. From that money he purchased another article and sold it for a gain of 10%. What is the overall gain or loss?

Detailed Solution for UKPSC Prelims Paper 2 Mock Test - 4 - Question 3

Given:

Cost Price (CP1) = ₹10200

Loss% = 10%

Gain% = 10% (on the selling price of the article)

Formula Used:

Selling Price (SP) = CP × (1 - Loss%)

Cost Price (CP) = SP / (1 + Gain%)

Overall Gain/Loss = Final SP - Initial CP

Overall Gain/Loss % = [(Final SP - Initial CP) / Initial CP] × 100

Calculation:

SP1 = 10200 × (1 - 10/100)

⇒ SP1 = 10200 × 0.9 = ₹9180

CP2 = SP1 = ₹9180

SP2 = 9180 × (1 + 10/100)

⇒ SP2 = 9180 × 1.1 = ₹10098

Overall Gain/Loss = SP2 - CP1

⇒ Overall Gain/Loss = 10098 - 10200 = -₹102

⇒ Overall Loss = ₹102

The correct answer is Option (4).

UKPSC Prelims Paper 2 Mock Test - 4 - Question 4

How is a woman's mother's father's only son related to the woman's father?

Detailed Solution for UKPSC Prelims Paper 2 Mock Test - 4 - Question 4

Given:
A woman's mother's father's only son related to the woman's father.

Here, the woman's mother's father's only son is woman's father's brother-in-law.
Hence, the correct answer is "Option 3".

UKPSC Prelims Paper 2 Mock Test - 4 - Question 5

A is the spouse of B who has no female child. C is the brother of D and E who is the son of B. A is not the mother of D. How is D related to B?

Detailed Solution for UKPSC Prelims Paper 2 Mock Test - 4 - Question 5

Given:
1) A is the spouse of B who has no female child.
2) C is the brother of D and E who is the son of B.

3) A is not the mother of D.

So, D is the son of B.
Hence, the correct answer is "Option 1".

UKPSC Prelims Paper 2 Mock Test - 4 - Question 6

What is the remainder when 93 + 94 + 95 + 96 +...+ 9100 is divided by 6?

Detailed Solution for UKPSC Prelims Paper 2 Mock Test - 4 - Question 6

The Correct answer is Option 1
Explanation
The given expression is definitely divisible by 3, as 9 is divisible by 3.
The terms, after division with 3, would be:
93/3 = 3 × 92
94/3 = 3 × 93
95/3 = 3 × 94
……and so on.
All these terms would be odd, as in each of them only odd numbers are getting multiplied.
In total, there would be 98 of these odd terms, whose sum would obviously be even. So, the resultant would be divisible by 2.
So, the original expression is divisible by 3, as well as 2. Which means that it must be divisible by 6 too. So, remainder left would be zero.

UKPSC Prelims Paper 2 Mock Test - 4 - Question 7

Find the number of triangle in the given figure.

Detailed Solution for UKPSC Prelims Paper 2 Mock Test - 4 - Question 7

Total number of triangles in figure is 18.

Hence, the correct answer is "Option 3".

UKPSC Prelims Paper 2 Mock Test - 4 - Question 8

At the time 10:20 the hour hand and minute hand of a clock form an angle of

Detailed Solution for UKPSC Prelims Paper 2 Mock Test - 4 - Question 8

Given:

The analogue clock is divided into 12 sectors, 1 – 12. One sector represents 30 degrees (360/12 = 30).

If the hour hand is at 10, and the minute hand is at 20, which means there are 6 sectors of 30 degrees each.

Therefore, the hour and minute hand is 180° apart from each other but, at 10:20 hrs hour hand must have travelled some degrees.

Thus, to find the exact angle we use the following formula.

Here, H is time in hour and M is time in minutes.

Therefore, we have time 10:20 hrs, H = 10, M = 20.

We get 300 – 110 = 190 which is reflex angle.

NOTE: The reflex angle is the angle which measures greater than 180°.

Thus, 360 – 190 = 170

Hence, the correct answer is "Option 1".

UKPSC Prelims Paper 2 Mock Test - 4 - Question 9
The average weight of a kabaddi team of 121 players is 71 kg. If the weight of the manager is included, then the average increases by 1 kg. Find the weight of the manager. (in kg)
Detailed Solution for UKPSC Prelims Paper 2 Mock Test - 4 - Question 9

Given:

The average weight of a kabaddi team of 121 players = 71 kg

The average weight increases by 1 kg when the manager is included

Formula used:

New average = (Total weight of players + Weight of manager) / (Number of players + 1)

Calculation:

Total weight of the team (players only) = 121 × 71 = 8591 kg

New average weight = 71 + 1 = 72 kg

⇒ (Total weight of players + Weight of manager) / (121 + 1) = 72

⇒ (8591 + Weight of manager) / 122 = 72

⇒ 8591 + Weight of manager = 72 × 122

⇒ 8591 + Weight of manager = 8784

⇒ Weight of manager = 193 kg

∴ The correct answer is option (3).

UKPSC Prelims Paper 2 Mock Test - 4 - Question 10
Replace the question mark with an option that follows the same logic applied in the first pair. Horse : Colt :: Butterfly : ??
Detailed Solution for UKPSC Prelims Paper 2 Mock Test - 4 - Question 10

The logic followed here is:

Colt is the young one (offspring) of horse.

Similarly,

Larva is the young one of a butterfly.

Hence, "Option 2" is the correct answer.

UKPSC Prelims Paper 2 Mock Test - 4 - Question 11
If two-third of a number is 48, then 30% of the number is
Detailed Solution for UKPSC Prelims Paper 2 Mock Test - 4 - Question 11

Given:

Two-third of a number = 48

Calculations:

Let the number be x. Then,

⇒ x = 72

30% of x =

∴ The correct answer is option (1).

UKPSC Prelims Paper 2 Mock Test - 4 - Question 12
The greatest number, which divides 943 and 1957 to leave 7 and 1 respectively as remainders, is:
Detailed Solution for UKPSC Prelims Paper 2 Mock Test - 4 - Question 12

Given:

The greatest number which divides 943 and 1957 leaving remainders 7 and 1 respectively.

Formula used:

To find the greatest number, use the concept of HCF (Highest Common Factor) between the adjusted numbers:

Required number = HCF(943 - 7, 1957 - 1)

Calculations:

Adjusted numbers:

⇒ 943 - 7 = 936

⇒ 1957 - 1 = 1956

HCF of (936, 1956):

Prime factorization of 936 and 1956:

936 = 23 × 32 × 13

1956 = 22 × 3 × 163

Common prime factors = 22 × 3 = 12

⇒ HCF(936, 1956) = 12

∴ The greatest number is 12. The correct answer is option (1).

UKPSC Prelims Paper 2 Mock Test - 4 - Question 13

A retailer buys 12 pairs of shoes for ₹22,400. His overhead expenses are ₹1,600. If he earns ₹28,500 from the sale of these 12 pair of shoes, determine his profit percentage.

Detailed Solution for UKPSC Prelims Paper 2 Mock Test - 4 - Question 13

Given:
Cost price of 12 pairs of shoes = ₹22,400
Overhead expenses = ₹1,600
Total selling price of 12 pairs of shoes = ₹28,500
Formula used:
Profit Percentage =  Profit /Cost Price × 100 
Profit = Selling Price - Total Cost Price
Total Cost Price = Cost Price + Overhead Expenses
Calculation:
Total Cost Price = ₹22,400 + ₹1,600
⇒ Total Cost Price = ₹24,000
Profit = ₹28,500 - ₹24,000
⇒ Profit = ₹4,500

Profit Percentage = 

⇒ Profit Percentage =
⇒ Profit Percentage = 18.75%
∴ The correct answer is option (2).

UKPSC Prelims Paper 2 Mock Test - 4 - Question 14

What is the third proportional to 16 and 48?

Detailed Solution for UKPSC Prelims Paper 2 Mock Test - 4 - Question 14

Given:
First number (a) = 16
Second number (b) = 48
Formula used:
Third proportional (c) = b2/a 
Calculations:
c = 482/16
⇒ c =  2304/16
⇒ c = 144
∴ The correct answer is option (4).

UKPSC Prelims Paper 2 Mock Test - 4 - Question 15
The ratio between two numbers is 19 : 24. If each number is reduced by 36, the ratio becomes 3 : 4. Find the sum of the numbers.
Detailed Solution for UKPSC Prelims Paper 2 Mock Test - 4 - Question 15

Given:

The ratio between two numbers = 19 : 24.

If each number is reduced by 36, the ratio becomes 3 : 4.

Calculation:

Let the two numbers be 19x and 24x.

When each number is reduced by 36, the ratio becomes:

Cross-multiplying, we get:

4(19x - 36) = 3(24x - 36)

⇒ 76x - 144 = 72x - 108

⇒ 76x - 72x = 144 - 108

⇒ 4x = 36

⇒ x = 9

Now, the two numbers are:

19x = 19 × 9 = 171

24x = 24 × 9 = 216

The sum of the numbers = 171 + 216 = 387

The sum of the numbers is 387.

UKPSC Prelims Paper 2 Mock Test - 4 - Question 16
A man invested Rs.96,000 at the rate of 20% per annum, compounded half-yearly for 1 year. What would be 80% of the amount (in Rs.) which he will get on maturity?
Detailed Solution for UKPSC Prelims Paper 2 Mock Test - 4 - Question 16

Given:

Principal (P) = ₹96,000

Rate (R) = 20% per annum ⇒ 10% per half-year

Time = 1 year = 2 half-years

Formula used:

Amount A = P

Required = 80% of A

Calculations:

A = 96000 × (1 + 10/100)2 = 96000 × (1.1)2 = 96000 × 1.21 = ₹116160

80% of ₹116160 = 116160 × 0.8 = ₹92928

∴ 80% of the amount on maturity = ₹92,928

UKPSC Prelims Paper 2 Mock Test - 4 - Question 17

The speed of a vehicle increases by 5 km after every one hour. If the distance travelled in the first one hour was 30 km, then what was the total distance travelled in 10 hours?

Detailed Solution for UKPSC Prelims Paper 2 Mock Test - 4 - Question 17

Given:

The speed of a vehicle increases by 5 km every hour

The distance traveled in the first hour = 30 km

Formula used:

The sum of n numbers in Arithmetic progression =

where, n = number of terms; a = first term; d = difference

Calculation:

The speed increased by 5 km for every hour,

30 km, 35 km, 40 km ...

Hence the speed for 10 hours is in Arithmetic progression with a difference of 5 km

Since the speed is given for an hour it will also be equal to the distance traveled for that hour

The sum of distance for 10 hours =

[2 × 30 + (10 - 1)5] = 5[60 + 9 × 5]

⇒ 5 (60 + 45) = 5 × 105 = 525 km.

∴ The correct answer is 525 km.

UKPSC Prelims Paper 2 Mock Test - 4 - Question 18

Nia is the paternal aunt of Khushi. Noora is the wife of Amit. Diksha has only one daughter, Noora. Manish is the father of Nia. Samay is the husband of Diksha. Leena is the paternal grandmother of Khushi. Nia is the sister of Amit. If Manish has only two children, how is Leena related to Noora?

Detailed Solution for UKPSC Prelims Paper 2 Mock Test - 4 - Question 18

Family Chart:

Given:
Nia is the paternal aunt of Khushi. Noora is the wife of Amit. Diksha has only one daughter, Noora. Manish is the father of Nia. Samay is the husband of Diksha. Leena is the paternal grandmother of Khushi. Nia is the sister of Amit. If Manish has only two children.

From the family chart, we can see that Leena is the mother of Amit.
Since Noora is the wife of Amit, Leena is the mother-in-law of Noora.
Hence, the correct answer is Mother-in-law.

UKPSC Prelims Paper 2 Mock Test - 4 - Question 19

Select the missing alphabet from the given alternatives :

Detailed Solution for UKPSC Prelims Paper 2 Mock Test - 4 - Question 19

The Correct answer is Option 3.

Explanation

  • Row 1: D → D → D ( No Change )
  • Row 2: D → (+2) F , F → (+3) I
  • Hence Apply Logic on Row 3
  • Row 3: I → (+3) L , L → (+4) P
  • Hence the Correct answer is Option 3.
UKPSC Prelims Paper 2 Mock Test - 4 - Question 20

Five books A, B, C, D and E are placed one on the top of the other starting with A as following :

Book A at the bottom is removed and placed on the top. This procedure is repeated two more times. Which book will be in the middle ?

Detailed Solution for UKPSC Prelims Paper 2 Mock Test - 4 - Question 20

The Correct answer is Option 2.

Explanation

Initial order (bottom to top): A (bottom), B, C, D, E (top)

Step 1: Remove bottom book A and place it on top

New order: B (bottom), C, D, E, A (top)

Step 2: Remove bottom book B and place it on top

New order: C (bottom), D, E, A, B (top)

Step 3: Remove bottom book C and place it on top

New order: D (bottom), E, A, B, C (top)

Now find the middle book:

Books from bottom to top: D, E, A, B, C

The middle (3rd) book is A.

Hence the Correct answer is Option 2.

UKPSC Prelims Paper 2 Mock Test - 4 - Question 21
The value of 13+ 23 +.....+n3 -(1+2+....+n) is:
Detailed Solution for UKPSC Prelims Paper 2 Mock Test - 4 - Question 21

The Correct answer is Option 3.

Explanation

Using the formulas:

Sum of cubes: 13 + 23 + ... + n3 = (n(n + 1)/2)2

Sum of first n natural numbers: 1 + 2 + ... + n = n(n + 1)/2

Calculate the expression:

(n(n + 1)/2)2 - n(n + 1)/2

= (n(n + 1)/2) × ((n(n + 1)/2) - 1)

= (n(n + 1)/2) × ((n(n + 1) - 2)/2)

= [n(n + 1)(n(n + 1) - 2)] / 4

Let n2 + n = n(n + 1), then:

= [(n2 + n)(n2 + n - 2)] / 4

Therefore, the answer is option (c): (n2 + n)(n2 + n - 2) / 4

UKPSC Prelims Paper 2 Mock Test - 4 - Question 22
In 31 * 49 * 34, if the digit in the unit place is 2, then the digit in place of in the number 46 will always be :
Detailed Solution for UKPSC Prelims Paper 2 Mock Test - 4 - Question 22

The Correct answer is Option 3.

Key Points

Find the unit digit of the product 31 × 49 × 34

Unit digit of 31 = 1

Unit digit of 49 = 9

Unit digit of 34 = 4

Now calculate the unit digit:

1 × 9 = 9 → 9 × 4 = 36 → Unit digit = 6

Let ✶ be the unknown unit digit

We know: ✶ × 6 ≡ 2 (mod 10)

Try values for ✶:

2 × 6 = 12 → unit digit = 2

7 × 6 = 42 → unit digit = 2

Only 2 and 7 give the desired result.

Hence the Correct answer is Option 3.

UKPSC Prelims Paper 2 Mock Test - 4 - Question 23

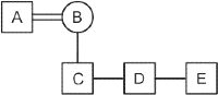
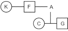
F is the brother of A. C is the daughter of A. K is the sister of F. G is the brother of C. Who is the uncle of G?

Detailed Solution for UKPSC Prelims Paper 2 Mock Test - 4 - Question 23

The diagram for the given blood relation is,

Therefore, Option 3 is the correct answer.

UKPSC Prelims Paper 2 Mock Test - 4 - Question 24

If in a certain code ‘DOWN’ is written as ‘3 @ 9 #’ and ‘NAME’ is written as ‘# 6 % 5’, how is ‘MODE’ written in that code ?

Detailed Solution for UKPSC Prelims Paper 2 Mock Test - 4 - Question 24

The logic followed here is:

Similarly, the code for MODE will be


Hence, the code for 'MODE' will be '%@35'.

UKPSC Prelims Paper 2 Mock Test - 4 - Question 25
The ratio of the volume of a cube to that of the biggest sphere which will fit inside the cube is
Detailed Solution for UKPSC Prelims Paper 2 Mock Test - 4 - Question 25

Formula used:

Volume of cube = a3

Volume of sphere = 4/3πr3

Calculation:

Let radius of sphere be r

Then, each side of cube = 2r

Ratio = volume of cube/volume of sphere

⇒ (2r)3/[4/3π × (r)3]

⇒ 6 : π

∴ Required ratio is 6 : π

UKPSC Prelims Paper 2 Mock Test - 4 - Question 26
How many meaningful English words can be formed by using the letters of the word ‘ALEP’ ?
Detailed Solution for UKPSC Prelims Paper 2 Mock Test - 4 - Question 26

Given letters: ALEP

The meaningful English words that can be formed are:

PEAL, PLEA, LEAP, PALE

Hence, the correct answer is Option 4.

Key Point

PEAL - गड़गड़ाहट

​PLEA - कृपया

LEAP - उछलना

PALE - फीका

UKPSC Prelims Paper 2 Mock Test - 4 - Question 27
The average of 10 numbers was found to be 15. Later it was found that one number 36 was wrongly copied as 26. Correct average is
Detailed Solution for UKPSC Prelims Paper 2 Mock Test - 4 - Question 27

Given:

The average of 10 numbers is 15

one number 36 was wrongly copied = 26

Formula used:

Average = sum of observations/Total number of observations

Calculation:

Average of ten numbers = (sum of 10 numbers)/10

⇒ 15 × 10 = sum of 10 numbers

⇒ 150 = sum of 10 numbers

Later on, one number was written wrong as 26,

Now,

correct sum of numbers is = 150 26 + 36

⇒ 160

Correct average = sum of 10 numbers/10

⇒ 160/10

⇒ 16

∴ Correct average is 16

UKPSC Prelims Paper 2 Mock Test - 4 - Question 28

______ are large and occasionally raked, which means they are gently sloping away from the audience.

Detailed Solution for UKPSC Prelims Paper 2 Mock Test - 4 - Question 28

The correct answer is 'Proscenium stages.'
Explanation

  • Let's have a look at these sentences in the first paragraph of the passage:
    • Proscenium stages have an architectural frame, known as the proscenium arch, although they are not always arched in shape. Their stages are deep and sometimes raked, meaning the stage is gently sloped, rising away from the audience.
  • From the passage, it can be concluded although not always arched in shape, proscenium stages have an architectural frame known as the proscenium arch.
  • Their stages are deep and occasionally raked, which means the stage is gently sloped and rises away from the audience.

Therefore, the correct answer is Option 2.

UKPSC Prelims Paper 2 Mock Test - 4 - Question 29

'लाश' शब्द किस मूल भाषा का है ?

Detailed Solution for UKPSC Prelims Paper 2 Mock Test - 4 - Question 29

सही उत्तर 'तुर्की' है।
 प्रमुख बिंदु

  • दिए गए विकल्पों में से 'लाश' शब्द मूलत: तुर्की भाषा का है।
  • लाश अर्थात किसी प्राणी का मृत शरीर।
  • यह विदेशज शब्द है।

 अतिरिक्त जानकारी

  • विदेशज शब्द - विदेशी भाषाओं से हिंदी में आये शब्दों को विदेशीया विदेशज शब्द कहा जाता है।
  • इन विदेशी भाषाओं में मुख्यतः अरबी, फारसी, तुर्की, अंग्रेजी व पुर्तगाली शामिल है।
UKPSC Prelims Paper 2 Mock Test - 4 - Question 30

'धनुष्टंकार' शब्द का संधि-विच्छेद है

Detailed Solution for UKPSC Prelims Paper 2 Mock Test - 4 - Question 30

सही उत्तर 'धनु: + टंकार' है।
 प्रमुख बिंदु

  • धनुष्टंकार का उचित संधि विच्छेद 'धनु: + टंकार' होगा।
  • धनुष्टंकार शब्द में विसर्ग संधि है।
  • स्वर और व्यंजन के मेल से विसर्ग में जो विसर्ग होता है उसे विसर्ग संधि कहते है।

अतिरिक्त जानकारी

  • दो निकटवर्ती वर्णों के परस्पर मेल से जो विकार (परिवर्तन) होता है वह संधि कहलाता है।
  • इसके तीन भेद हैं -
  1. स्वर संधि
  2. व्यंजन संधि
  3. विसर्ग संधि
View more questions
Information about UKPSC Prelims Paper 2 Mock Test - 4 Page
In this test you can find the Exam questions for UKPSC Prelims Paper 2 Mock Test - 4 solved & explained in the simplest way possible. Besides giving Questions and answers for UKPSC Prelims Paper 2 Mock Test - 4, EduRev gives you an ample number of Online tests for practice
Download as PDF