UPPSC (UP) Exam  >  UPPSC (UP) Tests  >  UPPSC Prelims (GS 2) Mock Test - 1 (CSAT) - UPPSC (UP) MCQ

UPPSC Prelims (GS 2) Mock Test - 1 (CSAT) - UPPSC (UP) MCQ


Test Description

30 Questions MCQ Test - UPPSC Prelims (GS 2) Mock Test - 1 (CSAT)

UPPSC Prelims (GS 2) Mock Test - 1 (CSAT) for UPPSC (UP) 2025 is part of UPPSC (UP) preparation. The UPPSC Prelims (GS 2) Mock Test - 1 (CSAT) questions and answers have been prepared according to the UPPSC (UP) exam syllabus.The UPPSC Prelims (GS 2) Mock Test - 1 (CSAT) MCQs are made for UPPSC (UP) 2025 Exam. Find important definitions, questions, notes, meanings, examples, exercises, MCQs and online tests for UPPSC Prelims (GS 2) Mock Test - 1 (CSAT) below.
Solutions of UPPSC Prelims (GS 2) Mock Test - 1 (CSAT) questions in English are available as part of our course for UPPSC (UP) & UPPSC Prelims (GS 2) Mock Test - 1 (CSAT) solutions in Hindi for UPPSC (UP) course. Download more important topics, notes, lectures and mock test series for UPPSC (UP) Exam by signing up for free. Attempt UPPSC Prelims (GS 2) Mock Test - 1 (CSAT) | 100 questions in 120 minutes | Mock test for UPPSC (UP) preparation | Free important questions MCQ to study for UPPSC (UP) Exam | Download free PDF with solutions
UPPSC Prelims (GS 2) Mock Test - 1 (CSAT) - Question 1

Mr. Tank attended a conference in the city and took a cab back to his hotel. However, in the rush, he left his briefcase in the taxi. Fortunately, he managed to note down some details about the taxi's license plate with the help of a nearby security guard.

#1 : Mr. Tank is certain that the plate starts with the letter M.

#2 : Three bystanders agree that the plate ends with 78R.

#3 : Four people claim that the second letter is either A or B, and another four people think that the third letter is S.

The four license plate numbers below represent what each person thinks they saw, Which one is most likely the license plate number of the taxi?

Detailed Solution for UPPSC Prelims (GS 2) Mock Test - 1 (CSAT) - Question 1

1. As per Mr. Tank the first letter of the number plate is M.

3. Four people think that the second letter is A / B. and the third letter is S . So the possible combination are AS or BS.

2. Three people said that the plate ends with 78R.

Combining all statements the number plate can be obtained were MAS78R or MBS78R .

But, only MAS78R is present in options.

Hence, the correct answer is "Option (1)".

UPPSC Prelims (GS 2) Mock Test - 1 (CSAT) - Question 2

The simple interest and rate for the two amounts are the same. The first amount is for a period of 3 years and the second is for a period of 4 years. What is the principal amount, let's say the principal amount is up to Rs. 21000?

Detailed Solution for UPPSC Prelims (GS 2) Mock Test - 1 (CSAT) - Question 2

Calculation:

Let x be the first principle amount for period 3 years and 21000 - x be the second principle amount for period 4 years.

Let the rate of interest be R.

SI for 3 year period = x × R × 3

SI for 4 year period = (21000- x) × R × 4

ATQ: both SI's are the same

⇒ x × R × 3 = (21000- x) × R × 4

⇒ 3x = 84000 - 4x

⇒ 7x = 84000

⇒ x = 12000

⇒ Second principle amount is 21000 - 12000 = 9000

Hence, the principle is Rs. 12000 and Rs. 9000.

UPPSC Prelims (GS 2) Mock Test - 1 (CSAT) - Question 3

If a meaningful English word has to be formed using 1st, 3rd, 5th and 8th letters of the word (each letter to be used once only) "SOUVENIR", then how many such words can be formed?

Detailed Solution for UPPSC Prelims (GS 2) Mock Test - 1 (CSAT) - Question 3

Let's identify the 1st, 3rd, 5th, and 8th letters of the word "SOUVENIR":

  • 1st letter: S
  • 3rd letter: U
  • 5th letter: E
  • 8th letter: R

Now, we need to form meaningful English words using the letters S, U, E, and R. The possible words are:

  1. SURE
  2. USER

These are the only two meaningful English words that can be formed using these letters.

Therefore, the correct answer is: 2

UPPSC Prelims (GS 2) Mock Test - 1 (CSAT) - Question 4

DIRECTIONS: Each question has a main statement followed by four statements labelled A, B, C and D. Choose the ordered pair of statements, where the first statement implies the second, and the two
statements are logically consistent with the main statement.

He is either literate or illiterate

A. He is literate

B. He is not liter ate

C. He is illiterate

D. He is not illiterate

Detailed Solution for UPPSC Prelims (GS 2) Mock Test - 1 (CSAT) - Question 4

Given statement:

You are either literate or illiterate.

Conclusions:

As per the statement, you are either literate or else you are illiterate.

Considering option 1: AC:

  • Does not follows, as both literate and illiterate not satisfying the statement.

Considering option 2: DA:

  • Follows, ​as either or case taking place.

Considering option 3: CB:

  • Follows, as either or case taking place still we will consider the option given first.

Considering option: AB:

  • Does not follow, not satisfying the condition.

Hence, the answer is DA.

UPPSC Prelims (GS 2) Mock Test - 1 (CSAT) - Question 5
A man divides ₹ 12,900 among 5 sons, 4 daughters and 2 nephews. If each daughter receives four times as much as each nephew, and each son receives five times as much as each nephew, how much does each daughter receive?
Detailed Solution for UPPSC Prelims (GS 2) Mock Test - 1 (CSAT) - Question 5

Given:

Total amount distributed = Rs. 12,900

Number of sons = 5, Number of daughters = 4, and Number of nephews = 2

Calculation:

According to the question,

5s + 4d + 2n = 12900

Now, Each daughter receives four times as much as each nephew. And Each son receives five times as much as each nephew. 

⇒ s : d : n = 5 : 4 : 1

Now, (25 + 16 + 2) = 12900

⇒ 43 = 12900

⇒ 1 = 300

Each daughter received money = 4d = 4 × 300 = 1200

∴ Each daughter received money is Rs 1200

UPPSC Prelims (GS 2) Mock Test - 1 (CSAT) - Question 6

‘मैं ______ आम लूँगा।’ वाक्य के रिक्त स्थान में किस शब्द का प्रयोग विशेषण के रूप में किया जा सकता है? 

Detailed Solution for UPPSC Prelims (GS 2) Mock Test - 1 (CSAT) - Question 6

‘मैं और आम लूँगा।’ वाक्य के रिक्त स्थान में शब्द का प्रयोग विशेषण के रूप में किया जा सकता है। न्य सभी विकल्प असंगत है। 

प्रमुख बिंदु

  • वाक्य - मैं और आम लूँगा।
  • वाक्य में 'और' शब्द 'आम' (विशेष्य) की विशेषता बता रहे है। इसलिए ये शब्द विशेषण है।
  • यहाँ पर 'और' का अर्थ 'धिक' के रुप में प्रयोग हुआ है। 

महत्वपूर्ण बिंदु

अतिरिक्त जानकारी

UPPSC Prelims (GS 2) Mock Test - 1 (CSAT) - Question 7

'क' वर्ग में घोष व्यंजन वर्ण कितने हैं?

Detailed Solution for UPPSC Prelims (GS 2) Mock Test - 1 (CSAT) - Question 7

'क' वर्ग में घोष व्यंजन वर्ण 3 हैं। 

प्रमुख बिंदु

  • 'क' वर्ग में घोष व्यंजन वर्ण 3 हैं। 
  • 'क' वर्ग में घोष व्यंजन वर्ण – ग, घ, ङ। 
  • अन्य विकल्प असंगत है। 

अतिरिक्त जानकारी

UPPSC Prelims (GS 2) Mock Test - 1 (CSAT) - Question 8

What makes Chalavara better than Mundakotukurussi?

Detailed Solution for UPPSC Prelims (GS 2) Mock Test - 1 (CSAT) - Question 8

The correct answer is "It has a high school, a fine library, ATMs and several shops".

Key Points 

  • Let's understand the passage.
  • From the given sentences, 'Chalavara was a superior grade of a village as compared to Mundakotukurussi, with a high school, a fine library, ATMs and several shops'.
  • It is evident in the passage that Chalavara was superior to  Mundakotukurussi as Chalavara has many facilities and amenities which Mundakotukurussi doesn’t have.
  • Hence, option "It has a high school, a fine library, ATMs and several shops" is the correct answer.

Therefore, The correct answer is "It has a high school, a fine library, ATMs and several shops".

UPPSC Prelims (GS 2) Mock Test - 1 (CSAT) - Question 9

Directions: Match the underlined word in each of the following sentences with the correct parts of speech and indicate your response on the answer sheet accordingly.

She whispered softly to avoid waking the child.

Detailed Solution for UPPSC Prelims (GS 2) Mock Test - 1 (CSAT) - Question 9

The word "softly" describes the manner in which the action of "whispered" is being done. Since it is modifying the verb and indicating how the action is performed, it is indeed an adverb.

UPPSC Prelims (GS 2) Mock Test - 1 (CSAT) - Question 10
Salaries of Rohan and Soham are in the ratio 2 ∶ 3. If the salary of each is increased by ₹ 2,000, the new ratio becomes 40 ∶ 57. What is Soham's present salary ?
Detailed Solution for UPPSC Prelims (GS 2) Mock Test - 1 (CSAT) - Question 10

Given:

Ratio of salaries of Rohan and Soham = 2 : 3.

Increased salary = 2000 each.

New ratio of Ravi and Sumit = 40 : 57.

Calculation:

Let the present salaries of Rohan and Soham be Rs.2x and Rs.3x respectively.

Then, (2x + 2000)/(3x + 2000) = 40/57

⇒ 57(2x + 2000) = 40(3x + 2000)

⇒ 114x + 114000 = 120x + 80000

⇒ 6x = 34000

⇒ x = 34000/6

The present salaries Soham = Rs.3x = 3 × 34000/6 = Rs. 17000

UPPSC Prelims (GS 2) Mock Test - 1 (CSAT) - Question 11
सविता धीरे- धीरे चल रही है।" वाक्य में रेखांकित शब्द में क्रिया विशेषण को पहचानिये -
Detailed Solution for UPPSC Prelims (GS 2) Mock Test - 1 (CSAT) - Question 11

 वाक्य में रेखांकित शब्द में क्रिया विशेषण- "रीतिवाचक क्रिया विशेषण।" अन्य विकल्प अनुचित है।

Key Points

  • "सविता धीरे- धीरे चल रही है।"
  •  वाक्य में रेखांकित शब्द में क्रिया विशेषण- "रीतिवाचक क्रिया विशेषण।"

Additional Information

UPPSC Prelims (GS 2) Mock Test - 1 (CSAT) - Question 12

Which option represents the correct order of the given words as they would appear in English dictionary?

1. sentence

2. sensitive

3. sentiment

4. sensible

5. sentirse

Detailed Solution for UPPSC Prelims (GS 2) Mock Test - 1 (CSAT) - Question 12

The arrangement of all the given words in the order in which they appear in an English dictionary is as shown below:

The four letters S E and are common in five words, so we will start arranging the word from the fourth letter as per alphabetical order.

4. sensible

2. sensitive

1. sentence

3. sentiment

5. sentirse

Hence, the correct answer is "4, 2, 1, 3, 5".

UPPSC Prelims (GS 2) Mock Test - 1 (CSAT) - Question 13

'विधायक' में कौन सी संधि है?

Detailed Solution for UPPSC Prelims (GS 2) Mock Test - 1 (CSAT) - Question 13

'विधायक' में अयादि संधि है। जब संधि करते समय ए , ऐ , ओ , औ के साथ कोई अन्य स्वर हो तो (ए का अय), (ऐ का आय), (ओ का अव), (औ – आव) बन जाता है। यही अयादि संधि कहलाती है।

अयादि संधि के उदाहरण :

विधायक = विधै + अक

श्रवण = श्री + अन

पावक = पौ + अक

पावन = पौ + अन

UPPSC Prelims (GS 2) Mock Test - 1 (CSAT) - Question 14

The New Delhi-Howrah Rajdhani Express leaves New Delhi at 16: 50 hours on 25th November 2022 and reaches Howrah at 12: 05 hours on 26th November 2022. If the average speed of the train is 80 km per hour, what is the distance between New Delhi and Howrah?

Detailed Solution for UPPSC Prelims (GS 2) Mock Test - 1 (CSAT) - Question 14

To calculate the distance between New Delhi and Howrah, we can use the formula: Distance = Speed x Time

We know the average speed of the train is 80 km/hour. To calculate the time taken by the train to travel from New Delhi to Howrah, we can subtract the departure time from the arrival time: Time = Arrival Time - Departure Time

Time = 12:05 on 26th November 2022 - 16:50 on 25th November 2022 = 19 hours and 15 minutes

Now, we can substitute the values in the formula: Distance = Speed x Time

Distance = 80 km/hour x 19.25 hours = 1540 km (approx.)

UPPSC Prelims (GS 2) Mock Test - 1 (CSAT) - Question 15

Radha goes 2.5 km towards North from her house. Now turning to the left she goes 5 km and again turns to left and goes 2.5 km. How far she is from her house and in which direction?

Detailed Solution for UPPSC Prelims (GS 2) Mock Test - 1 (CSAT) - Question 15

Radha goes 2.5 km towards North from her house. Now turning to the left she goes 5 km and again turns to left and goes 2.5 km. How far she is from her house and in 5 km West from her house.

UPPSC Prelims (GS 2) Mock Test - 1 (CSAT) - Question 16

Which problem-solving method relies on identifying similarities between a current problem and previously encountered problems to apply previously successful solutions?

Detailed Solution for UPPSC Prelims (GS 2) Mock Test - 1 (CSAT) - Question 16

This approach involves recognizing similarities between current and past problems and applying solutions that worked previously to the new situation.

UPPSC Prelims (GS 2) Mock Test - 1 (CSAT) - Question 17

'स्वाधीन' में प्रयुक्त संधि का नाम है:

Detailed Solution for UPPSC Prelims (GS 2) Mock Test - 1 (CSAT) - Question 17

'स्वाधीन' में प्रयुक्त संधि का नाम दीर्घ संधि है। दीर्घ संधि स्वर संधि का एक भेद अथवा प्रकार है। जब दो शब्दों की संधि करते समय (अ, आ) के साथ (अ, आ) हो तो 'आ' बनता है, जब (इ, ई) के साथ (इ, ई) हो तो 'ई' बनता है, जब (उ, ऊ) के साथ (उ, ऊ) हो तो 'ऊ' बनता है। इस संधि को हम ह्रस्व संधि भी कह सकते हैं।

दीर्घ संधि के उदाहरण :

स्व + आधीन = स्वाधीन

सर्व + अधिक = सर्वाधिक

अंड + आकार = अंडाकार

UPPSC Prelims (GS 2) Mock Test - 1 (CSAT) - Question 18

Direction: Find the next number in the series.

, ?

Detailed Solution for UPPSC Prelims (GS 2) Mock Test - 1 (CSAT) - Question 18

The next number in the series is as follows:

The successive multiplication of prime numbers with the number in the given series is shown.

So, the next number in the series will be .

UPPSC Prelims (GS 2) Mock Test - 1 (CSAT) - Question 19

On the class V textbook a map of Golconda Fort is printed. On the right bottom of this map a scale is given which is as given below:

Scale 1 cm =110 metre

If a student on this map measures the distance between Fateh Darwaza and the Ibrahim Burj as 12.9 cm, then the actual distance between these two places must be:

Detailed Solution for UPPSC Prelims (GS 2) Mock Test - 1 (CSAT) - Question 19

According to the given scale, 1 cm on the map represents 110 metres in actual distance.Therefore, to find the actual distance between Fateh Darwaza and Ibrahim Burj, we need to multiply the measured distance on the map by the scale factor:

Actual distance = Measured distance x Scale factor ⇒12.9 cm x 110 metres/cm ⇒ 1419 metres = 1.419 kilometres

Therefore, the actual distance between Fateh Darwaza and Ibrahim Burj is 1.419 kilometres.

UPPSC Prelims (GS 2) Mock Test - 1 (CSAT) - Question 20

तत्सम शब्द नहीं है-

Detailed Solution for UPPSC Prelims (GS 2) Mock Test - 1 (CSAT) - Question 20

कोढ़ तत्सम शब्द नहीं है। कोढ़ शब्द का तत्सम रूप कुष्ठ है। कुष्ठ का तद्भव रूप कोढ़ है।

UPPSC Prelims (GS 2) Mock Test - 1 (CSAT) - Question 21

The term ‘grapevine’ is also known as:

Detailed Solution for UPPSC Prelims (GS 2) Mock Test - 1 (CSAT) - Question 21

Grapevine communication is also known as informal communication because communication is performed without maintaining the formalities/guidelines prescribed by the organization and moreover, there is no particular route for sharing the relevant information.

UPPSC Prelims (GS 2) Mock Test - 1 (CSAT) - Question 22

फंदा शब्द का तत्सम रूप है।

Detailed Solution for UPPSC Prelims (GS 2) Mock Test - 1 (CSAT) - Question 22

"फंदा" शब्द का तत्सम शब्द पाश है। क्योंकि यह संस्कृत से ज्यों के त्यों प्रयोग में लिया जा रहा है। अन्य विकल्प असंगत हैं, विकल्प (A) इसका सही उत्तर है।

पर्पट पराठा

पर्ण परा

पक्क पक्का

अत: विकल्प (D) सही है।

UPPSC Prelims (GS 2) Mock Test - 1 (CSAT) - Question 23

Direction: Each question is followed by two statements. Go through these questions and answer the questions as per the instructions: choose your answer as: 

(A) If the question can be answered by using only statement (I), but not by using statement (II) alone.

(B) If the question can be answered by using only statement (II), but not by using statement (I) alone.

(C) If the question can be answered by using both the statements together, but cannot be answered by using either statement alone. 

(D) If the question cannot be answered by using both the statements together.

Which day of the last week did Satish meet Kapil at Kapil's residence?

I. Kapil was out of town from Monday to Wednesday. He returned on Thursday morning.

II. On Friday night Satish telephoned his friend to inform him that only yesterday he had got the approval of Kapil after personally explaining to him all the details.

Detailed Solution for UPPSC Prelims (GS 2) Mock Test - 1 (CSAT) - Question 23

Statement II reveals that Satish met his friend Kapil on the day prior to Friday i.e. Thursday. Thus only II is needed.

UPPSC Prelims (GS 2) Mock Test - 1 (CSAT) - Question 24

If the ratio of the mode and median of a certain data is , then the ratio of its mean and median is:

Detailed Solution for UPPSC Prelims (GS 2) Mock Test - 1 (CSAT) - Question 24

Given,

Mode Median

As we know,

Mode Median Mean

Let the common ratio be .

So,

Mode

Median

According to the question,

Mode Median Mean

Mean

Mean

Now, Mean Median

UPPSC Prelims (GS 2) Mock Test - 1 (CSAT) - Question 25

You are driving the car of a senior police officer. What will you do when there is a red light at the intersection?

Detailed Solution for UPPSC Prelims (GS 2) Mock Test - 1 (CSAT) - Question 25

We should follow the traffic rules strictly. If you are driving the car of a senior police officer and there is a red light (signal) at the intersection, then you will wait till the red light turns green and cross the intersection only after the green light.

UPPSC Prelims (GS 2) Mock Test - 1 (CSAT) - Question 26

निम्नलिखित शब्दों में कौन-सा शब्द तद्भव रूप में है?

Detailed Solution for UPPSC Prelims (GS 2) Mock Test - 1 (CSAT) - Question 26

दिए गए विकल्पों में 'दातुन' शब्द तद्भव है जिसका तत्सम शब्द 'दंतधावन' है।

‘दातुन’ वृक्ष की पतली, नरम टहनी का छोटा टुकड़ा होता है। जैसे- नीम की दातुन आदि।

संस्कृत भाषा के वे शब्द जो हिन्दी में अपने वास्तविक रूप में प्रयुक्त होते है, उन्हें तत्सम शब्द कहते है।

ऐसे शब्द, जो संस्कृत और प्राकृत से विकृत होकर हिंदी में आये है, तद्भव शब्द कहलाते है।

UPPSC Prelims (GS 2) Mock Test - 1 (CSAT) - Question 27

Select the grammatically correct sentence from among the given options. 

Detailed Solution for UPPSC Prelims (GS 2) Mock Test - 1 (CSAT) - Question 27

Correct sentence: She replied, "Amazing!"

  • The given sentence is in direct speech.
  • Punctuation is used in direct speech to separate spoken words, or dialogue, from the rest of a story.
  • The words spoken by a character sit inside speech marks.
  • Here the spoken word is "Amazing," so it should be within inverted commas or quotation marks (" ").
  • In the given sentence, "Amazing" is used as an exclamation and used for expression of extremely surprising.
  • Therefore, we need to use an exclamatory mark ( ! ) after this word. Example: This stain remover really works - it's amazing!

UPPSC Prelims (GS 2) Mock Test - 1 (CSAT) - Question 28

Direction: Study the given data and answer the question that follows.

If x is the lower limit of the median class and y is the upper limit of the modal class, then the value of (3x + 2y) is:

Detailed Solution for UPPSC Prelims (GS 2) Mock Test - 1 (CSAT) - Question 28

Given:

Concept:

Median of a grouped data = N/2
Where  

Calculation:

lies in

So, lower limit

Modal class = class with maximum frequency

Therefore modal class is 10 - 20

So, upper limit = 20 = y

Now,

∴ Required answer is 100.

UPPSC Prelims (GS 2) Mock Test - 1 (CSAT) - Question 29

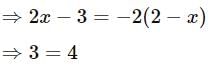
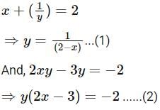
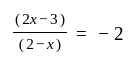
The number of solutions of these equations  and is:

Detailed Solution for UPPSC Prelims (GS 2) Mock Test - 1 (CSAT) - Question 29


Substituting the value of equation (1) in equation (2), we get 

After solving equations we get that the variable x is canceled out so  these equations have no solution.

UPPSC Prelims (GS 2) Mock Test - 1 (CSAT) - Question 30

Direction: Read the following statement given with four options choose the one which is most appropriate.

You bought some groceries and paid the amount. The owner refused to give the bill. You will:

Detailed Solution for UPPSC Prelims (GS 2) Mock Test - 1 (CSAT) - Question 30

Ask him again and register a complaint in the consumer forum.

View more questions
Information about UPPSC Prelims (GS 2) Mock Test - 1 (CSAT) Page
In this test you can find the Exam questions for UPPSC Prelims (GS 2) Mock Test - 1 (CSAT) solved & explained in the simplest way possible. Besides giving Questions and answers for UPPSC Prelims (GS 2) Mock Test - 1 (CSAT), EduRev gives you an ample number of Online tests for practice
Download as PDF