UPPSC (UP) Exam  >  UPPSC (UP) Tests  >  UPPSC Prelims (GS 2) Mock Test - 3 (CSAT) - UPPSC (UP) MCQ

UPPSC Prelims (GS 2) Mock Test - 3 (CSAT) - UPPSC (UP) MCQ


Test Description

30 Questions MCQ Test - UPPSC Prelims (GS 2) Mock Test - 3 (CSAT)

UPPSC Prelims (GS 2) Mock Test - 3 (CSAT) for UPPSC (UP) 2025 is part of UPPSC (UP) preparation. The UPPSC Prelims (GS 2) Mock Test - 3 (CSAT) questions and answers have been prepared according to the UPPSC (UP) exam syllabus.The UPPSC Prelims (GS 2) Mock Test - 3 (CSAT) MCQs are made for UPPSC (UP) 2025 Exam. Find important definitions, questions, notes, meanings, examples, exercises, MCQs and online tests for UPPSC Prelims (GS 2) Mock Test - 3 (CSAT) below.
Solutions of UPPSC Prelims (GS 2) Mock Test - 3 (CSAT) questions in English are available as part of our course for UPPSC (UP) & UPPSC Prelims (GS 2) Mock Test - 3 (CSAT) solutions in Hindi for UPPSC (UP) course. Download more important topics, notes, lectures and mock test series for UPPSC (UP) Exam by signing up for free. Attempt UPPSC Prelims (GS 2) Mock Test - 3 (CSAT) | 100 questions in 120 minutes | Mock test for UPPSC (UP) preparation | Free important questions MCQ to study for UPPSC (UP) Exam | Download free PDF with solutions
UPPSC Prelims (GS 2) Mock Test - 3 (CSAT) - Question 1

मम + ऐश्वर्य' की संधि है

Detailed Solution for UPPSC Prelims (GS 2) Mock Test - 3 (CSAT) - Question 1

'मम + ऐश्वर्य' की संधि ममैश्वर्य होगी। अन्य सभी विकल्प असंगत है।

ममैश्वर्य में वृद्धि संधि होगी।

Key Points

  • वृद्धि संधि:- जब संधि करते समय जब (अ , आ)  के साथ (ए , ऐ)  हो तो 'ऐ' बनता है और जब (अ , आ)  के साथ (ओ , औ) हो तो 'औ' बनता है।उसे वृद्धि संधि कहते हैं।
  • जैसे:- 1. ​सदा + एव = सदैव (आ + ए = ऐ)  2.परम + औषध = परमौषध (अ + औ = औ).
  • जहाँ शब्द के बीचोबीच दो मात्रा ऐ,ओ हो।
  • संधि:- दो शब्दों के मेल से जो विकार (परिवर्तन) होता है उसे संधि कहते हैं।
  • संधि के तीन प्रकार हैं - 1. स्वर संधि 2. विसर्ग संधि 3. व्यंजन संधि।

Additional Information

स्वर संधि के भेद:

UPPSC Prelims (GS 2) Mock Test - 3 (CSAT) - Question 2

वीरांगना' शब्द का संधि-विच्छेद है

Detailed Solution for UPPSC Prelims (GS 2) Mock Test - 3 (CSAT) - Question 2

'वीरांगना' शब्द का संधि-विच्छेद 'वीर + अंगना' होगा।

अत: शब्द वीरांगना में दीर्घ स्वर संधि होगी।

Key Points

  • संधि का अर्थ होता है मेल या फिर मिलना। जब हम दो शब्दों को मिलाते हैं तो पहले शब्द की अंतिम ध्वनी एवं दुसरे शब्द कि पहली ध्वनी मिलकर जो परिवर्तन लाती है, उसे ही संधि कहते हैं।
  • जब संधि किये गए दो शब्दों को हम अलग अलग करके लिखते हैं तो वह संधि विच्छेद कहलाता है।
  • वीरांगना में "दीर्घ स्वर संधि" संधि है। वीरांगना का संधि विच्छेद "वीर + अंगना" होता है।
  • अतः इसमें “दीर्घ स्वर संधि” लागू होती है।
  • "दीर्घ स्वर संधि" करते समय अगर (अ, आ) के साथ (अ, आ) हो तो ‘आ‘ बनता है, जब (इ, ई) के साथ (इ , ई) हो तो ‘ई‘ बनता है, जब (उ, ऊ) के साथ (उ ,ऊ) हो तो ‘ऊ‘ बनता है।

Additional Information 

संधि के तीन भेद होते है -

UPPSC Prelims (GS 2) Mock Test - 3 (CSAT) - Question 3

क्या कल हमने ताजमहल देखा - वाक्य में विशेष्य होगा:

Detailed Solution for UPPSC Prelims (GS 2) Mock Test - 3 (CSAT) - Question 3

सही उत्तर "देखा" हैKey Pointsहिंदी व्याकरण में "विशेषण" और "विशेष्य" शब्दों का महत्वपूर्ण स्थान है। ये वाक्य निर्माण के दो प्रमुख घटक हैं।

1. विशेषण:

  • परिभाषा: विशेषण वह शब्द होता है जो संज्ञा या सर्वनाम की विशेषता बताता है, उसके गुण, रंग, संख्या, परिमाण आदि की जानकारी देता है।

उदाहरण:

  • सुंदर फूल (सुंदर विशेषण है जो फूल की विशेषता बता रहा है।)
  • पांच किताबें (पांच विशेषण है जो संख्या की जानकारी दे रहा है।)

2. विशेष्य:

  • परिभाषा: विशेष्य वह शब्द होता है जिसकी विशेषता विशेषण से बताई जाती है। यह किसी व्यक्ति, स्थान, वस्तु, अवस्था आदि के नाम को दर्शाता है।

उदाहरण:

  • लाल घर (घर विशेष्य है और 'लाल' इसकी विशेषता बता रहा है।)
  • वह छात्र बहुत मेहनती है। (छात्र विशेष्य है और 'मेहनती' उसकी विशेषता बता रहा है।)
UPPSC Prelims (GS 2) Mock Test - 3 (CSAT) - Question 4

निम्नलिखित में से किस वाक्य में मुहावरे संबंधी अशुद्धि है ? 

Detailed Solution for UPPSC Prelims (GS 2) Mock Test - 3 (CSAT) - Question 4

पुलिस को देखते ही रमेश के चेहरे पर हवाइयाँ दौड़ने लगींमें मुहावरे संबंधी अशुद्धि है।

सही वाक्य होगा पुलिस को देखते ही रमेश के चेहरे से हवाइयाँ उड़ गई

अन्य सभी विकल्प सही मुहावरे है।

Key Points 

  • मुहावरे की परिभाषा:- मुहावरा शब्द मूलतः अरबी भाषा का शब्द है। मुहावरा भाषा का एक विशिष्ट वाक्यांश होता है,
  • जो प्राय: अपने शब्दों के शाब्दिक अर्थ से भिन्न एक विशेष भावनात्मक या सांकेतिक अर्थ प्रकट करता है।
  • मुहावरे अक्सर समाज और संस्कृति के अनुभवों या विशिष्ट ऐतिहासिक संदर्भ से प्रेरित होते हैं।
  • वे भाषा को और अधिक अभिव्यंजक और रोचक बनाते हैं।
  • अन्य विकल्प:-

Additional Information

  • मुहावरों के कुछ अन्य उदाहरण:-

UPPSC Prelims (GS 2) Mock Test - 3 (CSAT) - Question 5

Which of the following information systems at the management level of an organization serves the functions of planning, controlling and decision making by providing routine summary and exception reports?

Detailed Solution for UPPSC Prelims (GS 2) Mock Test - 3 (CSAT) - Question 5

Important Points 

Management Information System:

  • Management Information Systems (MIS) is the study of people, technology, organizations, and the relationships among them.
  • MIS professionals help firms realize maximum benefit from investment in personnel, equipment, and business processes.
  • MIS is a people-oriented field with an emphasis on service through technology.
  • In addition, they manage various information systems to meet the needs of managers, staff, and customers.
  • By working collaboratively with various members of their work group, as well as with their customers and clients, MIS professionals are able to play a key role in areas such as information security, integration, and exchange. 

Additional Information 

  • Decision Support System- A decision support system (DSS) is an information system that aids a business in decision-making activities that require judgment, determination, and a sequence of actions.
  • The information system assists the mid- and high-level management of an organization by analyzing huge volumes of unstructured data and accumulating information that can help to solve problems and help in decision-making.

Artificial Intelligence Systems- 

  • Artificial Intelligence System was a volunteer computing project undertaken by Intelligence Realm, Inc.
  • With the long-term goal of simulating the human brain in real-time, complete with artificial consciousness and artificial general intelligence. 

Executive Support Systems- 

  • An executive information system (EIS), also known as an executive support system (ESS), is a type of management support system
  • It facilitates and supports senior executive information and decision-making needs.
  • It provides easy access to internal and external information relevant to organizational goals.

Hence, the correct answer is Management Information System.

UPPSC Prelims (GS 2) Mock Test - 3 (CSAT) - Question 6
In a row Mihir is 17th from the left and 19th from the right, then what is the total number of candidates in that row?
Detailed Solution for UPPSC Prelims (GS 2) Mock Test - 3 (CSAT) - Question 6

Formula used:

Total candidates in the row = {(rank from the left+ rank from the right) - 1}

As per the given information:

Mihir is 17th from the left and 19th from the right in a row.

then,

Total candidates in the row= {(17 + 19) - 1}

Total candidates in the row = 36 - 1 = 35

Hence, the correct answer is "35".

UPPSC Prelims (GS 2) Mock Test - 3 (CSAT) - Question 7

मुँहतोड़' शब्द में कौन-सा समास है ?

Detailed Solution for UPPSC Prelims (GS 2) Mock Test - 3 (CSAT) - Question 7

'मुँहतोड़' शब्द में 'तत्पुरुष समास' है। अन्य विकल्प असंगत है।

प्रमुख बिंदु

  • 'मुँहतोड़' शब्द में 'तत्पुरुष समास' है। 
  • 'मुँहतोड़' = मुँह को तोङने वाला। 

अतिरिक्त जानकारी

UPPSC Prelims (GS 2) Mock Test - 3 (CSAT) - Question 8

Select the correct verb form.

Please _____ the window.

Detailed Solution for UPPSC Prelims (GS 2) Mock Test - 3 (CSAT) - Question 8

The correct answer is Option 3 i.e. open.

Key Points

  • Grammatically, the imperative mood is used for commands or requests, which directly uses the base form of the verb without any subject.
  • Contextually, this is a request or command to act now.
    • Example: Please close the door.

Therefore, the correct answer is- "Please open the window."

Additional Information

  • "Opening" is the present participle form of the verb, used for continuous tenses or as a gerund, which is not suitable in an imperative command.
  • "Opens" is the third-person singular present tense, which doesn't fit the imperative mood that requires the base verb.
  • "Opened" is the simple past tense or past participle form of the verb, inappropriate for a command that asks for an action to be performed in the present.
UPPSC Prelims (GS 2) Mock Test - 3 (CSAT) - Question 9

If ‘+’ means ‘÷’, ‘ ̶ ’ means ‘+’, ‘×’ means ‘ ̶ ’, and ‘÷’ means ‘×’, then what will be the value of the following expression?

[{( 22 × 15 ) - (1 ÷ 9)} + ( 2- 2 )] ÷ 2

Detailed Solution for UPPSC Prelims (GS 2) Mock Test - 3 (CSAT) - Question 9

Here, we use the BODMAS table given below:

As per the given information:

Given expression:

⇒ [{(22 × 15) - (1 ÷ 9)} + (2 - 2)] ÷ 2

⇒ [{(22 - 15) + (1 × 9)} ÷ (2 + 2)] × 2

Apply BODMAS rule:

⇒ [{(7) + (9)} ÷ (4)] × 2

⇒ [(16 ÷ 4)] × 2

⇒ (4 × 2) = 8

Hence, the correct answer is "Option (2)".

UPPSC Prelims (GS 2) Mock Test - 3 (CSAT) - Question 10

Statement I: If α = p/2 and β = 2q where p > q and, p and q are the roots of the equation x2 - 7x + 12 = 0.
Statement II: If α = r/2 and β = 2s where r > s and, r and s are the roots of the equation x2 - 13x + 12 = 0.

Q. The Quadratic equation having roots α and β is x2 - 8x + 12.

Detailed Solution for UPPSC Prelims (GS 2) Mock Test - 3 (CSAT) - Question 10

Given:
Quadratic Equation = x2 - 8x + 12 = 0 having roots α and β.

Concept Used:
For the Quadratic Equation ax2 + bx + c =0
Sum of roots = -b/a
Products of roots = c/a
Quadratic Equation ⇒ x2 - (Sum of roots)x + (Product of roots) = 0

Calculation:
Statement I: For equation x2 - 7x +12
Sum of roots (p + q) = -b/a = 7
Products of roots (p × q) = c/a = 12
⇒ p = 4 and q = 3         ∵ (p > q)
⇒ α = p/2 = 2 and β = q × 2 = 6
So, Required Equation is x2 - (α + β)x + (α × β) = 0
⇒ x2 - 8x + 12 = 0

∴ Statement I is alone sufficient to answer.
Statement II: For equation x2 - 13x + 12 = 0
Sum of roots (r + s) = -b/a = 13
Products of roots (r × s) = c/a = 12
⇒ r = 12 and s = 1       ∵ (r > s)
⇒ α = r/2 = 6 and β = 2 × s = 2
So, Required Equation is x2 - (α + β)x + (α × β) = 0
⇒ x2 - 8x + 12 = 0
∴ Statement II is alone sufficient to answer.
Hence, The question can be answered by using either statement alone.

UPPSC Prelims (GS 2) Mock Test - 3 (CSAT) - Question 11
There are 7 friends F1, F2, F3, F4, F5, F6, and F7 with two-digit consecutive roll numbers such that all of them are composite and there is no prime roll number in between them. What is F2's roll number if none of the numbers exceed 100 and the friends are sitting in ascending order?
Detailed Solution for UPPSC Prelims (GS 2) Mock Test - 3 (CSAT) - Question 11

Given :

7 different friends had 7 two-digit consecutive roll numbers that are composite in nature .

Calculation :

Such consecutive numbers are 90, 91, 92, 93, 94, 95, 96

Now, F2's roll number would be 91

∴ The answer is 91 .

UPPSC Prelims (GS 2) Mock Test - 3 (CSAT) - Question 12
वार्षिक' का विशेष्य शब्द क्या होगा?
Detailed Solution for UPPSC Prelims (GS 2) Mock Test - 3 (CSAT) - Question 12

'वार्षिक' का विशेष्य शब्द 'वर्ष' होगा। अन्य विकल्प असंगत है।

Key Points

  • 'वार्षिक' का विशेष्य शब्द 'वर्ष' होगा।
  • 'वार्षिक' शब्द विशेषण शब्द है।
  • अन्य शब्द अनुचित शब्द है।
  • जैसे- 'बरसाती' शब्द विशेषण शब्द है। जिसका विशेष्य 'बरसात' होगा।

Additional Informationअन्य महत्वपूर्ण विशेष्य-विशेषण शब्द- 

UPPSC Prelims (GS 2) Mock Test - 3 (CSAT) - Question 13

प्रत्येक' का संधि-विच्छेद है- 

Detailed Solution for UPPSC Prelims (GS 2) Mock Test - 3 (CSAT) - Question 13

सही उत्तर है - "प्रति + एक" l

 Key Points

  • प्रत्येक’ शब्द का संधि विच्छेद = "प्रति + एक" l
  • प्रत्येक शब्द में यण संधि है।
  • अन्य विकल्प गलत उत्तर है क्योंकि इनमें से किसी की भी संधि करने पर हमें ';प्रत्येक' शब्द प्राप्त नहीं होता l

Additional Information

स्वर संधि के पांच प्रकार होते हैं- 

UPPSC Prelims (GS 2) Mock Test - 3 (CSAT) - Question 14

Find the wrong term in the following letter series.

 XDP , PFXD, DFPX, XDPF

Detailed Solution for UPPSC Prelims (GS 2) Mock Test - 3 (CSAT) - Question 14

The logic follows here is:

Thus, the wrong term is DFPX.

Hence, the correct answer is "DFPX".

UPPSC Prelims (GS 2) Mock Test - 3 (CSAT) - Question 15

In a certain code language, 'COPE' is a code for 'POEC' and 'SNOW' is written as 'ONWS'. How will 'PLOT' be written in that same code? 

Detailed Solution for UPPSC Prelims (GS 2) Mock Test - 3 (CSAT) - Question 15

The logic follows here is:

'COPE' is a code for 'POEC'​

'SNOW' is written as 'ONWS'

similarly,

 'PLOT' be written as:

Hence, the correct answer is "OLTP".

UPPSC Prelims (GS 2) Mock Test - 3 (CSAT) - Question 16

Dhawan is an industrialist and from another state who established his factory in 2000 and has a state residence certificate. He is ready to pay the full amount in 4 years if necessary. He does not have a house in that city but his wife has a flat. His date of birth is 11 November 1970.

Detailed Solution for UPPSC Prelims (GS 2) Mock Test - 3 (CSAT) - Question 16

Given,
Dhawan plans to buy a flat at Shyamla Society.
Shyamala Society has placed the following conditions for allotment of flats in its society:

Applicant:
(I). State domicile certificate must be submitted.
(II). Must have done a job of at least 5 years.
(III). If needed, he will be ready to pay the entire amount in 5 years.
(IV). Should not be the owner or co-owner (if spouse) of the residential facility in that city
(V). Should not be below 35 years of age as on 31 December 2016.

Information about Dhawan,

Dhawan is an industrialist and from another state who established his factory in 2000 and has a state residence certificate. He is ready to pay the full amount in 4 years if necessary. He does not have a house in that city but his wife has a flat. His date of birth is 11 November 1970.
Here we see Dhawan's wife has a flat in that city.
Therefore, the Shyamala Society will not allot flat to Dhawan as his wife has a flat in the same city.

Hence, the correct answer is Do not allot flat.

UPPSC Prelims (GS 2) Mock Test - 3 (CSAT) - Question 17

Karan possess a Master’s degree in Management with 9 years of experience in relationship management. He has good communication and presentation skills and is fluent in French, German and Japanese apart from English.

Detailed Solution for UPPSC Prelims (GS 2) Mock Test - 3 (CSAT) - Question 17

Karan possess a Master’s degree in Management with 9 years of experience in relationship management, thereby fulfilling the requirement. He have good communication and presentation skills and is fluent in French, German and Japanese apart from English, as per the requirement.

Hence, Karan will be selected.

UPPSC Prelims (GS 2) Mock Test - 3 (CSAT) - Question 18

Gyaan is 34, he completed his Bachelor’s with 65% marks. He completed his B.Ed in 2014.

Detailed Solution for UPPSC Prelims (GS 2) Mock Test - 3 (CSAT) - Question 18

Hence, data is not sufficient to take any decision.

UPPSC Prelims (GS 2) Mock Test - 3 (CSAT) - Question 19

कौन सा शब्द तद्भव है?

Detailed Solution for UPPSC Prelims (GS 2) Mock Test - 3 (CSAT) - Question 19

दिये गये विकल्पों में 'पिता' तथा 'किसान' दोनों शब्द तद्भव है।
तद्भव एक संस्कृत शब्द है जो मध्यकालीन भारत-आर्य भाषाओं के सन्दर्भ में उन शब्दों को कहते हैं जो संस्कृत के मूल शब्द नहीं हैं बल्कि संस्कृत के किसी मूल शब्द से व्युत्पन्न हैं।

UPPSC Prelims (GS 2) Mock Test - 3 (CSAT) - Question 20

Which of these is used to separate a series of loosely related clauses?

Detailed Solution for UPPSC Prelims (GS 2) Mock Test - 3 (CSAT) - Question 20

The semicolon is used to separate a series of loosely related clauses. For example: Today we love what tomorrow we hate; today we seek what tomorrow we shun.

UPPSC Prelims (GS 2) Mock Test - 3 (CSAT) - Question 21

Assertion (A): Synchronous media requires the audience to be present when the media is being broadcasted or performed.

Reasoning (R): Media that takes place in real-time such as live television or radio is known as synchronous media.

Detailed Solution for UPPSC Prelims (GS 2) Mock Test - 3 (CSAT) - Question 21

Synchronous media takes place in real-time and the audience is present when media is broadcasted or performed. This media helps to share the information at the same time i.e. information broadcasting and the audience is present at the same time to receive the information.

Example: Video conferencing.

UPPSC Prelims (GS 2) Mock Test - 3 (CSAT) - Question 22

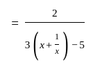
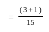
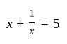
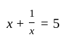
If , then is equal to:

Detailed Solution for UPPSC Prelims (GS 2) Mock Test - 3 (CSAT) - Question 22


Now,  Divide by

 

  

UPPSC Prelims (GS 2) Mock Test - 3 (CSAT) - Question 23

Direction: Read the following statement given with four options choose the one which is most appropriate.

You are a wrestler. You continuously lost some important games after winning nationals and everyone started teasing you. You will:

Detailed Solution for UPPSC Prelims (GS 2) Mock Test - 3 (CSAT) - Question 23

Call the invigilator immediately, try to change your seat, and attempt the exam.

UPPSC Prelims (GS 2) Mock Test - 3 (CSAT) - Question 24

‘वहाँ भयंकर दुर्घटना हुई है।’ रेखांकित पद _________ है।

Detailed Solution for UPPSC Prelims (GS 2) Mock Test - 3 (CSAT) - Question 24

उपर्युक्त वाक्य में रेखांकित पद ' भैंकर ' विशेषण है। यह ' दुर्घटना' शब्द की विशेषता बता रहा है। संज्ञा या सर्वनाम की विशेषता बताने वाले शब्द विशेषण कहलाते हैं।

UPPSC Prelims (GS 2) Mock Test - 3 (CSAT) - Question 25

Which of the following are the forms of written communication.

  1. Reports
  2. Forms
  3. Notice
  4. Voice message

Choose the correct answer from the codes given below.

Detailed Solution for UPPSC Prelims (GS 2) Mock Test - 3 (CSAT) - Question 25

From the given statement only statement 1, 2, and 3 is correct.

A 'Written Communication' means the sending of messages, orders, or instructions in writing through letters, circulars, manuals, reports, telegrams, office memos, bulletins, etc. It is a formal method of communication and is less flexible.

The following table is showing some of the forms of written communication.

UPPSC Prelims (GS 2) Mock Test - 3 (CSAT) - Question 26

Direction: Select the letter-cluster that can replace the question mark (?) in the given letter-cluster series.

Detailed Solution for UPPSC Prelims (GS 2) Mock Test - 3 (CSAT) - Question 26

Given series:
The given series contains two series:
1) vowal series: each vowel moves to next vowel letter.



2) consonant series: each consonant moves to the next consonant letter.



So, can replace the question mark (?).

UPPSC Prelims (GS 2) Mock Test - 3 (CSAT) - Question 27

Golu can do work in 5 days and Rohit in 15 days. How many days do they work together to complete the two-fifth work?

Detailed Solution for UPPSC Prelims (GS 2) Mock Test - 3 (CSAT) - Question 27

Golu complete work in = 5 days

Golu's 1 day work = 1/5

Rohit complete work in = 15 days

Rohit's 1 day work = 1/15

Both working together for 1 hour

Both working together for 1 hour

Time to complete the work together days

Time to complete of total work together days.

UPPSC Prelims (GS 2) Mock Test - 3 (CSAT) - Question 28

At what time an angle of 150 degrees is formed between the hour hand and the minute hand of a clock?

Detailed Solution for UPPSC Prelims (GS 2) Mock Test - 3 (CSAT) - Question 28

Since, there are 12 hours in a clock and each makes 30 degree. 

At 150 degree, the position of minutes hand and hour hand is,


So at 150 degree, the time will be o'clock.

UPPSC Prelims (GS 2) Mock Test - 3 (CSAT) - Question 29

If, 50 * 34 = 28, 32 * 22 = 18 and 28 * 14 = 14, then what should 80 * 67 = ?

Detailed Solution for UPPSC Prelims (GS 2) Mock Test - 3 (CSAT) - Question 29

The pattern is,

50 * 34 = 50 + 34 = 84

84 ÷ 3 = 28

Similarly, 

80 * 67 = 80 + 67 = 147

147 ÷ 3 = 49

UPPSC Prelims (GS 2) Mock Test - 3 (CSAT) - Question 30

Direction: Select the combination of letters which, when sequentially placed in the blanks of the given series, will complete the series.

D Q _ R _ D _ M R _ D _ M _ T

Detailed Solution for UPPSC Prelims (GS 2) Mock Test - 3 (CSAT) - Question 30

Option (A): M Q T T Q R → D Q M R Q - D T M R T - D Q M R T

Option (B): M T Q R Q T → D Q M R T - D Q M R R - D Q M T T

Option (C): M T Q T R Q → D Q M R T - D Q M R T - D R M Q T

Option (D): M T Q T Q R → D Q M R T - D Q M R T - D Q M R T

In option (D), DQMRT is repeated.

View more questions
Information about UPPSC Prelims (GS 2) Mock Test - 3 (CSAT) Page
In this test you can find the Exam questions for UPPSC Prelims (GS 2) Mock Test - 3 (CSAT) solved & explained in the simplest way possible. Besides giving Questions and answers for UPPSC Prelims (GS 2) Mock Test - 3 (CSAT), EduRev gives you an ample number of Online tests for practice
Download as PDF