UPPSC (UP) Exam  >  UPPSC (UP) Tests  >  UPPSC Prelims (GS 2) Mock Test - 7 (CSAT) - UPPSC (UP) MCQ

UPPSC Prelims (GS 2) Mock Test - 7 (CSAT) - UPPSC (UP) MCQ


Test Description

30 Questions MCQ Test - UPPSC Prelims (GS 2) Mock Test - 7 (CSAT)

UPPSC Prelims (GS 2) Mock Test - 7 (CSAT) for UPPSC (UP) 2025 is part of UPPSC (UP) preparation. The UPPSC Prelims (GS 2) Mock Test - 7 (CSAT) questions and answers have been prepared according to the UPPSC (UP) exam syllabus.The UPPSC Prelims (GS 2) Mock Test - 7 (CSAT) MCQs are made for UPPSC (UP) 2025 Exam. Find important definitions, questions, notes, meanings, examples, exercises, MCQs and online tests for UPPSC Prelims (GS 2) Mock Test - 7 (CSAT) below.
Solutions of UPPSC Prelims (GS 2) Mock Test - 7 (CSAT) questions in English are available as part of our course for UPPSC (UP) & UPPSC Prelims (GS 2) Mock Test - 7 (CSAT) solutions in Hindi for UPPSC (UP) course. Download more important topics, notes, lectures and mock test series for UPPSC (UP) Exam by signing up for free. Attempt UPPSC Prelims (GS 2) Mock Test - 7 (CSAT) | 100 questions in 120 minutes | Mock test for UPPSC (UP) preparation | Free important questions MCQ to study for UPPSC (UP) Exam | Download free PDF with solutions
UPPSC Prelims (GS 2) Mock Test - 7 (CSAT) - Question 1

वाच्य का प्रभाव किस पर पड़ता है ?

Detailed Solution for UPPSC Prelims (GS 2) Mock Test - 7 (CSAT) - Question 1
सही उत्तर विकल्प 1 है
UPPSC Prelims (GS 2) Mock Test - 7 (CSAT) - Question 2

Which one of the following model emphasizes on the dynamics of interpersonal communication?

Detailed Solution for UPPSC Prelims (GS 2) Mock Test - 7 (CSAT) - Question 2

Correct answer is Transactional Model.

  • Interpersonal communication involves a dynamic process where messages are sent and received simultaneously between two or more people, affecting each other. This concept is best represented by the Transactional Model. 
  • While Linear and Interactive models of communication also describe aspects of the communication process, they don't provide a full picture of the complexities of interpersonal communication.

Key Points

  • Option 1: The Linear Model (Sender-Message-Channel-Receiver Model by Shannon and Weaver, 1949) was a basic and initial model which fundamentally sees communication as a one-way process. Here, there is a sender who sends a message through a channel to a receiver. It doesn't account for feedback or the interactive nature of communication, and it doesn't fully portray the dynamic nature of interpersonal communication.
  • Option 2: The Interactive Model, also known as the Ping-Pong Model (Schramm, 1954), took a step further than the Linear, adding feedback to the process. It demonstrates two-way communication, but it is still limited. The model depicts senders and receivers as they take turns sending messages, but it still doesn't fully encompass the simultaneous sending and receiving that occurs during interpersonal communication.
  • Option 3: The Transactional Model (Barnlund, 1970), however, suggests that parties in the communication process are simultaneously senders and receivers of messages. It does not distinguish senders and receivers, viewing each person as a communicator who simultaneously sends and receives messages. It also adds the crucial characteristics of context (situational influences) and noise (any kind of distraction or barrier), which provide a better understanding of the complexities involved in interpersonal communication.
  • Therefore, despite all of the above models having utility within their own contexts, only the Transactional Model fully captures the dynamics of interpersonal communication, making Option 3 the correct choice.
UPPSC Prelims (GS 2) Mock Test - 7 (CSAT) - Question 3

Which of the following is included in interpersonal skill?

Detailed Solution for UPPSC Prelims (GS 2) Mock Test - 7 (CSAT) - Question 3

The correct answer is option 2.

Key Points

  • Interpersonal Skills:
    • Interpersonal skills are the behaviours and tactics a person uses to interact with others effectively. Hence, option 2 is correct.
    • Strong interpersonal skills such as negotiating, problem-solving, and knowledge-sharing are the main requirements for many jobs. 
    • Interpersonal skills are traits you rely on when you interact and communicate with others. They cover a variety of scenarios where communication and cooperation are essential.

  • Some examples of interpersonal skills include:
    • Active listening
    • Teamwork
    • Responsibility
    • Dependability
    • Leadership
    • Motivation
    • Flexibility
    • Patience
    • Empathy
UPPSC Prelims (GS 2) Mock Test - 7 (CSAT) - Question 4

‘इति + आदि’ का सही संधि रूप कौन-सा है? 

Detailed Solution for UPPSC Prelims (GS 2) Mock Test - 7 (CSAT) - Question 4

‘इति + आदि’ का सही संधि रूप है- इत्यादि अन्य सभी विकल्प असंगत है। 

प्रमुख बिंदु

  • इति + आदि = इत्यादि ( + आ = या)
  • 'इत्यादि' शब्द में यण संधि है।
  • 'इत्यादि' का अर्थ - इसी प्रकार के अन्य, इसी तरह और, वगैरह। 
  • अन्य सभी विकल्प में वर्तनी सम्बन्धित त्रुटि है।  

अतिरिक्त जानकारी

यण संधि:-

  • जब संधि करते समय (इ, ई) के साथ कोई अन्य स्वर हो तो ‘य्' बन जाता है,
  • जब (उ, ऊ) के साथ कोई अन्य स्वर हो तो ‘व्' बन जाता है,
  • जब (ऋ) के साथ कोई अन्य स्वर हो तो ‘र्' बनता है, तो उसे यण संधि कहते है। 

उदाहरण-

  • अधि + अयन = अध्ययन (इ + अ = )
  • अनु + एषण = अन्वेषण (उ + ए = वे)
  • मातृ + आज्ञा = मात्राज्ञा (ऋ + आ = र्)
UPPSC Prelims (GS 2) Mock Test - 7 (CSAT) - Question 5

आधा गाँव' के उपन्यासकार कौन हैं?

Detailed Solution for UPPSC Prelims (GS 2) Mock Test - 7 (CSAT) - Question 5

'आधा गाँव' के उपन्यासकार "राही मासूम रज़ा" हैं।

प्रमुख बिंदु

  • 'आधा गाँव' के उपन्यासकार "राही मासूम रज़ा" हैं।

 "राही मासूम रज़ा" के अन्य प्रमुख उपन्यास:

  • आधा गाँव
  • नीम का पेड़
  • कटरा बी आर्ज़ू
  • टोपी शुक्ला
  • ओस की बूंद और सीन ७५

महत्वपूर्ण बिंदु

अन्य रचनायें तथा रचयिता

UPPSC Prelims (GS 2) Mock Test - 7 (CSAT) - Question 6

A @ B means ‘A is the husband of B’
A & B means ‘A is the mother of B’
A # B means ‘A is the daughter of B’

If Q @ M & Y @ J # R & Z, then how is Y related to Z?

Detailed Solution for UPPSC Prelims (GS 2) Mock Test - 7 (CSAT) - Question 6

Family Chart:

Decoding the Symbols:

Given: Q @ M & Y @ J # R & Z

It means: Q is the Husband of M, M is the Mother of Y, Y is the Husband of J, J is the Daughter of R, R is the Mother of Z.

So, Y is the 'Sister’s husband' of Z.

Hence, the correct answer is "Option 3".

UPPSC Prelims (GS 2) Mock Test - 7 (CSAT) - Question 7
You are in-charge of admission of patients in a private hospital. Your hospital is required by the Government to provide free treatment to poor patients. One such poor patient comes to the hospital in an emergency. However, he has forgotten his Aadhaar card, which is necessary for availing the facility of free treatment. What will you do?
Detailed Solution for UPPSC Prelims (GS 2) Mock Test - 7 (CSAT) - Question 7

The correct answer is Admit him provisionally, on the condition that he should produce the Aadhaar Card at the time of discharge

Key Points

  • As healthcare worker and a human it is never a question when human life is concerned.

  • If there is a rule then one can let the patient know that they have to produce the document at the time of discharge.

  • Asking them for fee or sending them away would be inhuman and is not expected from a person who has empathy and compaasion.

UPPSC Prelims (GS 2) Mock Test - 7 (CSAT) - Question 8
राजर्षभ' शब्द के उचित विग्रह की पहचान करें।
Detailed Solution for UPPSC Prelims (GS 2) Mock Test - 7 (CSAT) - Question 8

'राजर्षभ' शब्द का उचित विग्रह है- राजाओं में ऋषभImportant Points

UPPSC Prelims (GS 2) Mock Test - 7 (CSAT) - Question 9
मुझ से ऐसी बाते नहीं सुनी जाती है। इस वाक्य में क्रिया किसके अनुसार है ?
Detailed Solution for UPPSC Prelims (GS 2) Mock Test - 7 (CSAT) - Question 9

मुझ से ऐसी बाते नहीं सुनी जाती है। इस वाक्य में क्रिया कर्म के अनुसार है

Key Points

UPPSC Prelims (GS 2) Mock Test - 7 (CSAT) - Question 10

कौन सा शब्द "जलज" का अनेकार्थी नहीं है?

Detailed Solution for UPPSC Prelims (GS 2) Mock Test - 7 (CSAT) - Question 10

जलज का अर्थ- जल से उत्पन्न होनेवाला।

जलज का अनेकार्थी- कमल, शंख, मोती, मछली।

बादल, जलज का अनेकार्थी नहीं है।

UPPSC Prelims (GS 2) Mock Test - 7 (CSAT) - Question 11

Direction: Change into the interrogative form:

There is nothing better than a busy life.

Detailed Solution for UPPSC Prelims (GS 2) Mock Test - 7 (CSAT) - Question 11

The given sentence is an assertive sentence.

Rules for changing an assertive sentence to an interrogative sentence:

  • If a sentence is in the affirmative, it has to be changed into a negative interrogative.
  • If it is negative, then change it into bare interrogative.
  • The interrogative sentence must start with an auxiliary verb from the assertive sentence.
  • If there is nothing in the sentence, you have to replace it with anything in an interrogative sentence.

Therefore, the correct answer is: 'Is there anything better than a busy life?'

UPPSC Prelims (GS 2) Mock Test - 7 (CSAT) - Question 12

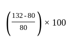
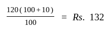
A person makes a profit of 20% by selling an article. If he purchased the articles at 20% less and sell it 10% more, what would be the new profit percentage?

Detailed Solution for UPPSC Prelims (GS 2) Mock Test - 7 (CSAT) - Question 12

A person makes a profit = 20%

Suppose a person buys the item for Rs 100.

New Cost Price = 

New Selling price = 

New profit percent = = 65%

UPPSC Prelims (GS 2) Mock Test - 7 (CSAT) - Question 13

Direction: How many lines are used to create the below figure?

Detailed Solution for UPPSC Prelims (GS 2) Mock Test - 7 (CSAT) - Question 13

Giving names to all the points in the diagram.

 

Counting number of straight lines:

 

Vertical Lines:

Horizontal lines:

Big cross lines:

Small cross lines:

Total

UPPSC Prelims (GS 2) Mock Test - 7 (CSAT) - Question 14

The volume of a cuboid is 3300 cm3. The sum of the length and the breadth of the cuboid is 37 cm. If the difference between the length and the breadth of the cuboid is 13 cm, then what is the height of the cuboid?

Detailed Solution for UPPSC Prelims (GS 2) Mock Test - 7 (CSAT) - Question 14

Let the length, breadth and height of the cuboid be L, B and H, respectively.
Given, the volume of the cuboid is 3300 cm3. Therefore, L x B x H = 3300....(i); L + B = 37 and L - B = 13

Adding these two equations, : L = 25 and B = 12; From (i), H = 11 cm

UPPSC Prelims (GS 2) Mock Test - 7 (CSAT) - Question 15

कौन सा शब्द "रस" का अनेकार्थी नहीं है?

Detailed Solution for UPPSC Prelims (GS 2) Mock Test - 7 (CSAT) - Question 15

रस का अर्थ- स्वाद, जलीय अंश।

रस के अनेकार्थी- सुख, स्वाद, जल, अमृत, सार।

धर्म, रस का अनेकार्थी नहीं है।

UPPSC Prelims (GS 2) Mock Test - 7 (CSAT) - Question 16

'पुरुषार्थी' शब्द का विलोम शब्द होगा-

1. आलसी

2. दुर्जन

3. कर्मवीर

4. मेहनती

Detailed Solution for UPPSC Prelims (GS 2) Mock Test - 7 (CSAT) - Question 16

'पुरुषार्थी' शब्द का विलोम शब्द आलसी होगा।

UPPSC Prelims (GS 2) Mock Test - 7 (CSAT) - Question 17

“प्रारब्ध” शब्द का अर्थ है-

1. मुश्किल से प्राप्त

2. सरलता से प्राप्त

3. भाग्य

4. लक्ष्य

Detailed Solution for UPPSC Prelims (GS 2) Mock Test - 7 (CSAT) - Question 17

“प्रारब्ध” शब्द का अर्थ 'भाग्य' है।

UPPSC Prelims (GS 2) Mock Test - 7 (CSAT) - Question 18

Attitudes, actions and appearances in the context of classroom communication are considered as:

Detailed Solution for UPPSC Prelims (GS 2) Mock Test - 7 (CSAT) - Question 18

Attitudes, actions and appearances in the context of classroom communication are considered as Non-verbal communication. Non-verbal communication denotes our facial expressions, gestures, eye contact, posture, and tone of voice that we speak. It is the procedure in which the messages are sent and received without using words, either spoken or written.

UPPSC Prelims (GS 2) Mock Test - 7 (CSAT) - Question 19

Vishal sells a bag at a profit of . If Vishal's profit is ₹ 880, then what is the cost price of the bag?

Detailed Solution for UPPSC Prelims (GS 2) Mock Test - 7 (CSAT) - Question 19

Let C. P. of the bag = S.P. = of C.P. = , then profit = S.P. - C.P. = =

Now, according to the question, profit = ₹ 880

₹ 22

Then C.P. of bag = ₹ 2200

UPPSC Prelims (GS 2) Mock Test - 7 (CSAT) - Question 20

If the sum of the dimensions of a rectangular parallelepiped is 24 cm and the length of the diagonal is 15 cm, then the total surface area of it is:

Detailed Solution for UPPSC Prelims (GS 2) Mock Test - 7 (CSAT) - Question 20

UPPSC Prelims (GS 2) Mock Test - 7 (CSAT) - Question 21

'वह व्यक्ति जो विद्यार्थियों को पढ़ाने का कार्य करता है' वाक्यांश के लिए सार्थक शब्द है- 

Detailed Solution for UPPSC Prelims (GS 2) Mock Test - 7 (CSAT) - Question 21

'वह व्यक्ति जो विद्यार्थियों को पढ़ाने का कार्य करता है' शिक्षक कहलता है।

शिक्षार्थी, छात्र, विद्यार्थी इन सभी शब्‍दों का एक ही अर्थ निकलता है। जो शिक्षा का इच्छुक हो। 

UPPSC Prelims (GS 2) Mock Test - 7 (CSAT) - Question 22

'शरीर का कोई भाग' वाक्यांश के लिए उचित शब्द बताइए - 

Detailed Solution for UPPSC Prelims (GS 2) Mock Test - 7 (CSAT) - Question 22

'शरीर का कोई भाग' वाक्यांश के लिए उचित एक शब्‍द "अवयव" है। 

UPPSC Prelims (GS 2) Mock Test - 7 (CSAT) - Question 23

निम्नलिखित प्रत्येक प्रश्न में तीन गद्यांश दिये गये हैं। त्रुटि वाले वाक्यांश को चुनें और उसके अनुरूप (A), (B), (C) पर चिन्ह लगाएँ। यदि वाक्य त्रुटिहीन हो, तो (D) पर चिन्ह लगाएँ।

Detailed Solution for UPPSC Prelims (GS 2) Mock Test - 7 (CSAT) - Question 23

वाक्यांशों में कोई त्रुटि नहीं है।

UPPSC Prelims (GS 2) Mock Test - 7 (CSAT) - Question 24

Direction: The question given below consists of a statement, followed by two arguments numbered I and II. You have to decide which of the arguments is a 'strong' argument and which is a 'weak' argument.

Statement: Should examinations be held in the school system?

Argument I: Yes, examinations assess students' academic and non-academic achievements.

Argument II: No, many students do not like exams.

Detailed Solution for UPPSC Prelims (GS 2) Mock Test - 7 (CSAT) - Question 24

Question: Should examinations be held in the school system?

Argument I says Yes, examinations assess students' academic and non-academic achievements is the correct as evaluation plays important role for checking students performance. 

Argument II says No, many students do not like exams is wrong. Student do not like many things that does not mean that is not important.

So, only argument I is strong.

UPPSC Prelims (GS 2) Mock Test - 7 (CSAT) - Question 25

Direction: Count the number of squares in the following figure.

Detailed Solution for UPPSC Prelims (GS 2) Mock Test - 7 (CSAT) - Question 25


UPPSC Prelims (GS 2) Mock Test - 7 (CSAT) - Question 26

In the given question, four words are given out of which one word is incorrectly spelt. Choose the incorrectly spelt word.

Detailed Solution for UPPSC Prelims (GS 2) Mock Test - 7 (CSAT) - Question 26

Comisson: It is a wrongly spelt word. The correct spelling is 'Commission'.

Commission: a group of people officially charged with a particular function.

Example: The government has set up/established a commission to investigate the problem of inner city violence.

UPPSC Prelims (GS 2) Mock Test - 7 (CSAT) - Question 27

Select a figure from the options which will continue the figure series

Detailed Solution for UPPSC Prelims (GS 2) Mock Test - 7 (CSAT) - Question 27

In each step, one of the existing elements is replaced by a new element, and the remaining elements are rotated in the anticlockwise direction.

In figure 1 there are Cross, rectangle, elliptical circle, and star shape.

In figure 2 element in the bottom left corner i.e. rectangle is replaced by an upward-pointing arrow and the remaining elements rotated in the anticlockwise direction.

In figure 3 element in the upper left corner i.e. star, the shape is replaced by U shape and the remaining elements rotated in the anticlockwise direction

In figure 4 element in the upper right corner i.e. cross shape is replaced by a triangle shape and the remaining elements rotated in the anticlockwise direction.

In figure 5 element is the bottom right corner i.e. elliptical circle shape is replaced by the ‘C’ shape and the remaining elements rotated in the anticlockwise direction.

As we can see, in each step new element is been introduced in the place which is in the anticlockwise direction of the element which is introduced in the earlier step.

So, in figure 6 element in the bottom left corner i.e. upward-pointing arrow should be replaced by a new element and the remaining elements should be rotated in the anticlockwise direction.

Thus, the next figure in the series would be,


UPPSC Prelims (GS 2) Mock Test - 7 (CSAT) - Question 28

‘अनिल’ का पर्यायवाची शब्द है:

Detailed Solution for UPPSC Prelims (GS 2) Mock Test - 7 (CSAT) - Question 28

‘अनिल’ का पर्यायवाची शब्द 'पवन' है।

अनिल के पर्यायवाची शब्द- पवन, वायु, समीर, वात, मरुत, पवमान ,बयार, हवा, इत्यादि है।

UPPSC Prelims (GS 2) Mock Test - 7 (CSAT) - Question 29

Direction: Read the given statement(s) and conclusions carefully and select which of the conclusions logically follow(s) from the statement(s).

Statement: 

Fortune favors the brave.

Conclusions:

I: Risks are necessary for success.

II: Cowards die many times before their death.

Detailed Solution for UPPSC Prelims (GS 2) Mock Test - 7 (CSAT) - Question 29

The given statement is a proverb meaning 'a successful person is the one who is willing to take risks'. So, conclusion I follow.

Since the statement implies nothing about cowards, conclusion II does not follow.

Therefore, only conclusion I follow.

UPPSC Prelims (GS 2) Mock Test - 7 (CSAT) - Question 30

If then find the value of .

Detailed Solution for UPPSC Prelims (GS 2) Mock Test - 7 (CSAT) - Question 30

Given,

When we multiply two exponents with the same base, we can add the exponents and keep the base.

So, the value of .

View more questions
Information about UPPSC Prelims (GS 2) Mock Test - 7 (CSAT) Page
In this test you can find the Exam questions for UPPSC Prelims (GS 2) Mock Test - 7 (CSAT) solved & explained in the simplest way possible. Besides giving Questions and answers for UPPSC Prelims (GS 2) Mock Test - 7 (CSAT), EduRev gives you an ample number of Online tests for practice
Download as PDF