JEE Exam  >  JEE Tests  >  VITEEE Maths Test - 1 - JEE MCQ

VITEEE Maths Test - 1 - JEE MCQ


Test Description

30 Questions MCQ Test - VITEEE Maths Test - 1

VITEEE Maths Test - 1 for JEE 2025 is part of JEE preparation. The VITEEE Maths Test - 1 questions and answers have been prepared according to the JEE exam syllabus.The VITEEE Maths Test - 1 MCQs are made for JEE 2025 Exam. Find important definitions, questions, notes, meanings, examples, exercises, MCQs and online tests for VITEEE Maths Test - 1 below.
Solutions of VITEEE Maths Test - 1 questions in English are available as part of our course for JEE & VITEEE Maths Test - 1 solutions in Hindi for JEE course. Download more important topics, notes, lectures and mock test series for JEE Exam by signing up for free. Attempt VITEEE Maths Test - 1 | 40 questions in 40 minutes | Mock test for JEE preparation | Free important questions MCQ to study for JEE Exam | Download free PDF with solutions
VITEEE Maths Test - 1 - Question 1

If , then which of the following terms will completely divide Δ (2a) - Δ(a)?

Detailed Solution for VITEEE Maths Test - 1 - Question 1

Consider the given matrix:

Apply 

Therefore, Δ (2a) - Δ (a)  will be completely divisible by (2k + 3a).
Hence, this is the required solution.

VITEEE Maths Test - 1 - Question 2

Find the coefficient of x2yin the expansion of (2x−3y)?

Detailed Solution for VITEEE Maths Test - 1 - Question 2

To find the coefficient of x2yin the expansion of (2x−3y)

We  will use binomial theorem


 

 

 

VITEEE Maths Test - 1 - Question 3

 The probability of getting heads in both trials when a balanced coin is tossed twice, will be

Detailed Solution for VITEEE Maths Test - 1 - Question 3

Probability to getting heads in both the trials

VITEEE Maths Test - 1 - Question 4

Find the maximum number of points of intersection of 8 circles.

Detailed Solution for VITEEE Maths Test - 1 - Question 4

2 circles can intersect at atmost 2 points. Maximum no. of points can be obtained if no 3 circles intersect at the same point.
no. of possible pair of circles = 8C2
= 28.
max. No. of intersection points = 2 x 28
= 56.

VITEEE Maths Test - 1 - Question 5

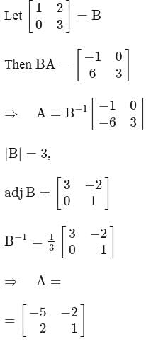
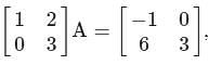
If A is any 2 × 2 matrix such that   then what is A equal to?

Detailed Solution for VITEEE Maths Test - 1 - Question 5

VITEEE Maths Test - 1 - Question 6

The curve described parametrically by x = t2 + 2t − 1, y = 3t + 5 represents

Detailed Solution for VITEEE Maths Test - 1 - Question 6

Given, x=t2+2t−1 ...(i)

On putting the value of t in Eq. (i), we get

This is an equation of a parabola

VITEEE Maths Test - 1 - Question 7

If the sum of first n natural numbers is one-fifth of the sum of their squares, then n is

Detailed Solution for VITEEE Maths Test - 1 - Question 7

VITEEE Maths Test - 1 - Question 8

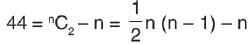
If a polygon has 44 diagonals, then the number of its sides are

Detailed Solution for VITEEE Maths Test - 1 - Question 8


∴ n = 11

VITEEE Maths Test - 1 - Question 9

If 7 points out of 12 are in same striaght line, then the number of triangles formed is

Detailed Solution for VITEEE Maths Test - 1 - Question 9

Number of triangles = 12C3 - 7C3
= 220 - 35
= 185

VITEEE Maths Test - 1 - Question 10

Ram is moving away from a tower at the rate of 2.3 m/sec. If the height of the tower is 5.6 m and Ram's height is 190 cm, find the rate at which his shadow is increasing and the tip of his shadow is moving.

Detailed Solution for VITEEE Maths Test - 1 - Question 10

Let AB is the height of Ram and CD be the height of tower. AE = y (ram's shadow) and AC = x (the distance of the Ram from the tower at time t). Then,
 is the rate at which Ram is moving away from the post.
is the rate at which Ram's shadow is increasing.
The tip of the shadow (E) is at a distance x + y from the tower.
So, is the rate at which the tip of the shadow is moving
So at time t,

So,

And

Thus,
The length of the shadow is increasing at the rate of 1.18 m/sec and tip of the shadow is moving away from the tower at the rate of 3.48 m/sec.
Hence, this is required solution.

VITEEE Maths Test - 1 - Question 11

Two cards are drawn at random from a pack to 52 cards. The probability of these two being aces is

Detailed Solution for VITEEE Maths Test - 1 - Question 11

Required probability = 

VITEEE Maths Test - 1 - Question 12

If three parabolas touch all the lines x=0, y=0 and x+y=2, then the maximum area of the triangle formed by joining their foci is

Detailed Solution for VITEEE Maths Test - 1 - Question 12

Consider a △ABC whose sides are x=0, y=0 and x+y=2

Therefore, co-ordinates of A, B & C are (0, 2), (0, 0) & (2, 0) respectively.
Since the parabolas touch all the sides, their foci must lie on the circumcircle of the Δ ABC.
We see that Δ ABC is a right angle triangle.
So circumradius
Now, on joining the foci of three parabolas, we get a triangle of maximum area.
Hence, foci must be the vertices of an equilateral triangle inscribed in the circumcircle.

Let side length of equilateral triangle F1F2F3 be a.
From the diagram,
Therefore, required area
 

VITEEE Maths Test - 1 - Question 13

If all the words formed from the letters of the word "HORROR"  are arranged in the opposite order as they are in a dictionary, then the rank of the word "HORROR" is

Detailed Solution for VITEEE Maths Test - 1 - Question 13

Rank from ending = Total no of words − Rank from beginning +1
Tota no of words possible u sin gletters of the word HORROR is 
Dictionary rank of the word : arrange in alphabetical order {H,O,O,R,R,R} No of words starting with H O O: 1
No of words starting with HORO : 1
the net word after the above words is HORROR
∴ RANK of the word HORROR from beginning is 3
∴ RANK of the word horror from ending is = 60 − 3 + 1 = 58

VITEEE Maths Test - 1 - Question 14

Two tangents are drawn from a point (-2, -1) to the curve y2 = 4x. If α is the angle between them, then |tanα| is equal to

Detailed Solution for VITEEE Maths Test - 1 - Question 14

Combined equation of pair of tangents is given by,
SS1=T2

⇒(y2−4x)((−1)2−4(−2))=(−1⋅y−2(x−2))2
⇒(y2−4x)(9)=(y+2x−4)2
⇒9y2−36x=y2+4x2+16−8y−16+4xy
⇒4x2−8y2+4xy+20x−8y+16=0
⇒2x2−4y2+2xy+10x−4y+8=0

VITEEE Maths Test - 1 - Question 15

99th term of the series 2 + 7 + 14 + 23 + 34 +_______ is

Detailed Solution for VITEEE Maths Test - 1 - Question 15

VITEEE Maths Test - 1 - Question 16

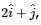
The angle between the vectors 3i+j+2k and 2i-2j+4k is

Detailed Solution for VITEEE Maths Test - 1 - Question 16

= cos⁻1(√(3/7)

VITEEE Maths Test - 1 - Question 17

Find the value of 

Detailed Solution for VITEEE Maths Test - 1 - Question 17

The given series is in GP because this series satisfies GP conditions.
The sum of n terms,

Since

And,

So,

Thus,

Hence, this is required solution.

VITEEE Maths Test - 1 - Question 18

Sum of coefficients in the expansion of (x + 2y + z)10 is

Detailed Solution for VITEEE Maths Test - 1 - Question 18

VITEEE Maths Test - 1 - Question 19

If is a scalar and is a unit matrix of order 3 , then

Detailed Solution for VITEEE Maths Test - 1 - Question 19

VITEEE Maths Test - 1 - Question 20

If A + B + C = π, then

Detailed Solution for VITEEE Maths Test - 1 - Question 20

Above is skew symmetric deteminent of odd order because
cos (A + B) = - cos C etc.

VITEEE Maths Test - 1 - Question 21

If A is a square matrix such that (A − 2I)(A + I) = O, then (A + 2I) =

Detailed Solution for VITEEE Maths Test - 1 - Question 21

VITEEE Maths Test - 1 - Question 22

Out of 6 boys and 4 girls, a group of 7 is to be formed. In how many ways can this be done, if the group is to have a majority of boys?

Detailed Solution for VITEEE Maths Test - 1 - Question 22

The boys are in majority, if the groups are (4B,3G),(5B,2G),(6B,1G) Total number of combinations
= 6C4× 4C3+ 6C5× 4C2+ 6C6× 4C1
= 15 × 4 + 6 × 6 + 1 × 4 = 100

VITEEE Maths Test - 1 - Question 23

The sum of 40 terms of an A.P. whose first term is 2 and common difference 4, will be

Detailed Solution for VITEEE Maths Test - 1 - Question 23

VITEEE Maths Test - 1 - Question 24

The equation of a line is  If a perpendicular is drawn at the line from the point P(2, 4, 6), the coordinates of the foot of the perpendicular are

Detailed Solution for VITEEE Maths Test - 1 - Question 24

Step 1: Write the given line in parametric form

Given line:
(x + 3)/5 = (y - 1)/2 = (z + 4)/3 = t

This gives the parametric equations:

  • x = -3 + 5t

  • y = 1 + 2t

  • z = -4 + 3t

So, every point on the line can be written as:
Q(t) = (-3 + 5t, 1 + 2t, -4 + 3t)

Step 2: Identify the direction vector of the line

From the parametric equations, the direction vector of the line is:
d = ⟨5, 2, 3⟩

Step 3: Form vector PQ(t) from external point P(2, 4, 6) to Q(t)

PQ(t) = P - Q(t) =
= ⟨2 - (-3 + 5t), 4 - (1 + 2t), 6 - (-4 + 3t)⟩
= ⟨5 - 5t, 3 - 2t, 10 - 3t⟩

Step 4: Use perpendicularity condition

Since the foot of the perpendicular lies on the line, PQ(t) must be perpendicular to the direction vector d.

So, take the dot product of PQ(t) and d and set it equal to zero:

(5 - 5t)(5) + (3 - 2t)(2) + (10 - 3t)(3) = 0

Now compute:

25 - 25t + 6 - 4t + 30 - 9t = 0
61 - 38t = 0
=> t = 61 / 38

Step 5: Find the coordinates of the foot Q

Substitute t = 61/38 into the parametric equations:

x = -3 + 5t = -3 + 305/38 = ( -114 + 305 ) / 38 = 191 / 38
y = 1 + 2t = 1 + 122/38 = ( 38 + 122 ) / 38 = 160 / 38 = 80 / 19
z = -4 + 3t = -4 + 183/38 = ( -152 + 183 ) / 38 = 31 / 38

Final Answer: Coordinates of the foot of the perpendicular

 

VITEEE Maths Test - 1 - Question 25

There were two women participating in a chess tournament. Every participant played two games with the other participants. The number of games that the men played between themselves proved to exceed by 66 the number of games that the men played with the women. The number of participants is

Detailed Solution for VITEEE Maths Test - 1 - Question 25

Let there be n men participants. Then, the number of games that the men play between themselves is 2.  nC2 and the number of games that the men played with the women is 2.(2n)
∴ 2nC− 2⋅2n = 66 (given)
⇒ n (n−1) − 4n − 66 = 0
⇒ n2 − 5n − 66 = 0
⇒(n + 5) (n − 11) = 0
⇒ n = 11
∴ Number of participants =11 men+2 women=13

VITEEE Maths Test - 1 - Question 26

If   then find the general solution for A.

Detailed Solution for VITEEE Maths Test - 1 - Question 26

Given,

Thus,

Hence, this is required solution.

VITEEE Maths Test - 1 - Question 27

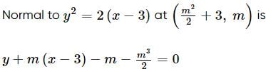
The shortest distance (in units) between the parabolas y2 = 4x and y2=2x−6 is

Detailed Solution for VITEEE Maths Test - 1 - Question 27

Shortest distance between two curves occurs along the common normal.
Normal to y2=4x at (m2, 2m) is
y+mx−2m−m3=0

Both normals are same,  if  −2m−m3=−4m− 
⇒m=0, ±2
So, points will be (4, 4) and (5, 2) or (4,−4) and (5,−2)
Hence, shortest distance will be

VITEEE Maths Test - 1 - Question 28

 is equal to

Detailed Solution for VITEEE Maths Test - 1 - Question 28

VITEEE Maths Test - 1 - Question 29

The ve integral solution of

Detailed Solution for VITEEE Maths Test - 1 - Question 29

Converting cos and sin into tan, we get,



So, for and for

VITEEE Maths Test - 1 - Question 30

A force acts at a point A whose position vector is If point of application of moves from A to the point B with position vector then work done by is

View more questions
Information about VITEEE Maths Test - 1 Page
In this test you can find the Exam questions for VITEEE Maths Test - 1 solved & explained in the simplest way possible. Besides giving Questions and answers for VITEEE Maths Test - 1, EduRev gives you an ample number of Online tests for practice
Download as PDF