JEE Exam  >  JEE Tests  >  VITEEE Maths Test - 5 - JEE MCQ

VITEEE Maths Test - 5 - JEE MCQ


Test Description

30 Questions MCQ Test - VITEEE Maths Test - 5

VITEEE Maths Test - 5 for JEE 2025 is part of JEE preparation. The VITEEE Maths Test - 5 questions and answers have been prepared according to the JEE exam syllabus.The VITEEE Maths Test - 5 MCQs are made for JEE 2025 Exam. Find important definitions, questions, notes, meanings, examples, exercises, MCQs and online tests for VITEEE Maths Test - 5 below.
Solutions of VITEEE Maths Test - 5 questions in English are available as part of our course for JEE & VITEEE Maths Test - 5 solutions in Hindi for JEE course. Download more important topics, notes, lectures and mock test series for JEE Exam by signing up for free. Attempt VITEEE Maths Test - 5 | 40 questions in 40 minutes | Mock test for JEE preparation | Free important questions MCQ to study for JEE Exam | Download free PDF with solutions
VITEEE Maths Test - 5 - Question 1

The number of real values of k for which the lines and are intersecting is

Detailed Solution for VITEEE Maths Test - 5 - Question 1

Any point on the first line is (4r+k, 2r+1,r−1), and any point on the second line is (r′+k+1 ,−r′,2r′+1) for some values of r and r'. The lines are intersecting if these two points coincide i.e

4r + k = r′ + k + 1, 2r + 1 = −r′, r − 1 = 2r′ + 1 for some r and r'

⇒ 4r − r′ = 1, 2r + r′ = −1, r − 2r′ = 2

Now, 4r − r′ = 1, 2r + r′ = −1 ⇒ r = 0, r′ = −1 which satisfy r − 2 r′ = 2.

⇒ The given lines are intersecting for all real values of k.

VITEEE Maths Test - 5 - Question 2

The connective in the statement 2+7>9  or  2+7<9  is

Detailed Solution for VITEEE Maths Test - 5 - Question 2

We know that the word joining two simple statements to form a compound statement is called the connective.
Now, the given statement is
′′2+7>9 or  2+7<9′′
Two mathematical inequality cannot occur together. Either 2 + 7 can be greater than 9 or less than 9.
Hence, the connective word is 'or'.

VITEEE Maths Test - 5 - Question 3

The fourth term of equal to 200, then the value of x satisfying this is

Detailed Solution for VITEEE Maths Test - 5 - Question 3

Since, fourth term of

Taking logarithm on both side

VITEEE Maths Test - 5 - Question 4

Consider the given expression:

Differentiate y with respect to x.

Detailed Solution for VITEEE Maths Test - 5 - Question 4

Given:

Let 
So,

And,

Thus,

Hence, this is required solution.

VITEEE Maths Test - 5 - Question 5

A canonical plastic bottle whose height is 21 m and radius of base is 7 m is being filled with milk at a uniform rate of 5/3 m3/min. When the milk level is 6 m, find the rate at which the level of the milk in the bottle is rising.

Detailed Solution for VITEEE Maths Test - 5 - Question 5

Here,

Let V be the volume of the milk, then

Putting the value of r,

Differentiate on both sides with respect to t,

Given, the value of h = 6m and 
Put these values.

Thus,

Hence, this is required solution.

VITEEE Maths Test - 5 - Question 6

The number of surjections from A = {1,2, ...n), n > 2 onto B = (a,b) is

Detailed Solution for VITEEE Maths Test - 5 - Question 6

VITEEE Maths Test - 5 - Question 7

The value of

Detailed Solution for VITEEE Maths Test - 5 - Question 7

VITEEE Maths Test - 5 - Question 8

A circle inscribed in a triangle ABC touches the side AB at D such that AD=5 and BD=3 . If ∠A=60°, then the value of [BC/3] (where [.] represents greatest integer function) is

Detailed Solution for VITEEE Maths Test - 5 - Question 8


sinC=sin(A+B)=sinAcosB+cosAsinB

VITEEE Maths Test - 5 - Question 9

If 0 < P(X) < 1, 0 < P(Y) < 1 and , then Which of the following is correct?

Detailed Solution for VITEEE Maths Test - 5 - Question 9

Here,

It means X and Y are independent events, so X' and Y' are also independent. Therefore,

Or,

Hence, this is the required solution.

VITEEE Maths Test - 5 - Question 10

A person mistakenly calculated the mean and the median of a sample data of 200 items as 100 and 104, respectively. The maximum value of the individual data was 200. When the data was rechecked, it was found that the value of the maximum sample data was 220. The values of true mean and true median are

Detailed Solution for VITEEE Maths Test - 5 - Question 10

Given mean:

And the median will remain same, i.e. 104.
Hence, this is the required solution.

VITEEE Maths Test - 5 - Question 11

Consider the following expression:

The number of values of x which satisfy the given expression is

Detailed Solution for VITEEE Maths Test - 5 - Question 11

Here,


Therefore, 3 such values of x are possible.
Hence, this is the required solution.

VITEEE Maths Test - 5 - Question 12

If a1 a2, a3 are in G.P. with common ratio r, then value of a3 > 4a2 - 3a1 holds if

Detailed Solution for VITEEE Maths Test - 5 - Question 12

VITEEE Maths Test - 5 - Question 13

The number of bijective functions from set A to itself when A contains 106 elements is

Detailed Solution for VITEEE Maths Test - 5 - Question 13

Total number of bijection from set of n elements to itself = n!

VITEEE Maths Test - 5 - Question 14

If a∈ z, ( x - a ) (x - 10) + 1 = 0 has integral roots, then values of a are

Detailed Solution for VITEEE Maths Test - 5 - Question 14

(x - a) (x - 10) + 1 = 0
∴ (x - a) (x - 10) = -1
∴ x - a = 1
and x - 1 0 = - 1 ,
or x - a = 1 and x - 10 = 1
∴ a = 8 ora = 12

VITEEE Maths Test - 5 - Question 15

Two vertices of a triangle are (3,−2) and (−2, 3) and its orthocentre is (−6, 1). The coordinates of its third vertex are-

Detailed Solution for VITEEE Maths Test - 5 - Question 15

Let the third vertex be A(α,β)

Using the diagram, OA⊥BC

⇒ Slope of OA × Slope BC = −1

Solving Equations(i)i and (ii)ii, we get

α = −1, β = 6

∴ The third vertex is (−1, 6)

VITEEE Maths Test - 5 - Question 16


then n equals

Detailed Solution for VITEEE Maths Test - 5 - Question 16

Degree of the determinant is
n + (n + 2) + (n + 3) = 3n + 5 
and on R .H.S., degree = 2
3n + 5 = 2
⇒ n = -1

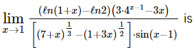
VITEEE Maths Test - 5 - Question 17

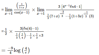
The value of

Detailed Solution for VITEEE Maths Test - 5 - Question 17

Given limit can be written as,

Using L'Hospital' rule,

VITEEE Maths Test - 5 - Question 18

Evaluate:

Detailed Solution for VITEEE Maths Test - 5 - Question 18

Here,

Hence, this is the required solution.

VITEEE Maths Test - 5 - Question 19

The equation of a circle C1 is x2 + y2 − 4x − 2y − 11 = 0. Another circle C2 of radius 1 unit rolls on the outer surface of the circle C1. Then the equation of the locus of the centre of C2 is

Detailed Solution for VITEEE Maths Test - 5 - Question 19

The centre and radius of a circle x2 + y2 + 2gx + 2fy + c = 0 are (−g, −f) and

Hence, the centre of x2 + y2 − 4x −2y − 11 = 0 is A(2, 1) and the radius

If P(α, β) be the centre of C2 of radius r2 = 1

We know that, if two circles with centres A and P and radii r1 and r2 touches each other externally, then distance between their centres AP is equal to the sum of their radii i.e. AP = r1 + r2

The locus is obtained by replacing (α, β) by (x, y)

Hence, the locus is x2 + y2 − 4x − 2y − 20 = 0

VITEEE Maths Test - 5 - Question 20

Find the maximum value of 15 cosA + 8 sinA.

Detailed Solution for VITEEE Maths Test - 5 - Question 20

As we know that maximum value of

According to the question,

Thus,
Maximum value of the given expression is 17.
Hence, this is required solution.

VITEEE Maths Test - 5 - Question 21

In a ΔABC, (b+c)cosA+(c+a)cos B+(a+b) cosC equals to ( where a,b  and c are the lengths of the side opposite to angles A,B and C respectively )

Detailed Solution for VITEEE Maths Test - 5 - Question 21

∵L.H.S.=(b + c)cos A + (c + a)cos B + (a + b)cos C
=bcos A +c cos A+ c cos B +a cos B +a cos C +b cos C
=(b cos A + a cosB ) + (c cos A + a cosC) + (c cos B + cos C)
=a + b + c = R.H.S
Hence L.H.S.=R.H.S.

VITEEE Maths Test - 5 - Question 22

The mean of n items is If these n items are successively increased by 2, 22, 23, …, 2n, then the new mean is

Detailed Solution for VITEEE Maths Test - 5 - Question 22

New mean

VITEEE Maths Test - 5 - Question 23

If A is singular, then A [adj A] is matrix

Detailed Solution for VITEEE Maths Test - 5 - Question 23

​​​​

VITEEE Maths Test - 5 - Question 24

The locus of point z satisfying Re when k is a non-real real number is

Detailed Solution for VITEEE Maths Test - 5 - Question 24

Let 

VITEEE Maths Test - 5 - Question 25

In a ΔABC , if a=4 cm, b=6 cm and c=8 cm  , then r equals

Detailed Solution for VITEEE Maths Test - 5 - Question 25

If a=4 cm, b=6 cm and c=8 cm,
then we have
2s = a + b + c 
⇒s=9 cm
By Heron's formula, we have

Now, we know that

VITEEE Maths Test - 5 - Question 26

If A and B are independent events of a random experiments such that

Detailed Solution for VITEEE Maths Test - 5 - Question 26

Since, A & B are independent events.

VITEEE Maths Test - 5 - Question 27

In then a+c is equal to

Detailed Solution for VITEEE Maths Test - 5 - Question 27

Given equation is,

Semi-perimeter 

VITEEE Maths Test - 5 - Question 28

If sum of coefficient of (a + b)n is 4096, then greatest coefficient is

Detailed Solution for VITEEE Maths Test - 5 - Question 28

VITEEE Maths Test - 5 - Question 29

If the sides of a Δ ABC are in A.P. and a is the smallest side, then cosA equals:

Detailed Solution for VITEEE Maths Test - 5 - Question 29

Given, sides of the triangle ABC are in AP.
Let sides are a, b, & c in which a is the smallest side.
Since, sides are in AP, So we have
2b = a+c⇒a=2b−c  ...(1)
Now, using cosine rule, we have

Using equations (1) & (2), we have

VITEEE Maths Test - 5 - Question 30

Let ABC be an acute angled triangle with circumcentre O and orthocenter H . If AO=AH, then the measure of angle A is:

Detailed Solution for VITEEE Maths Test - 5 - Question 30

In ΔABC, circumcentre O and orthocentre  H
Given  OA=HA
⇒R = 2 R cos A
⇒ cos A = 1/2
⇒ A = π/3

View more questions
Information about VITEEE Maths Test - 5 Page
In this test you can find the Exam questions for VITEEE Maths Test - 5 solved & explained in the simplest way possible. Besides giving Questions and answers for VITEEE Maths Test - 5, EduRev gives you an ample number of Online tests for practice
Download as PDF