If 3x − 4y + 7z = 0, 2x − y − 2z = 0 and 3x3 − y3 + z3 = 18, then xyz is equal to
The value of 25 sin2 θ + 16cosec2θ is always greater than or equal to _____
A truck has slots to load 24 items only. If there are 24 fridges, 24 coolers and 24 washing machines which can be loaded on the truck, then how many number of ways are possible in which the loading can be done?
Let U be the universal set for sets P and Q. If n(P) = 400, n(Q) = 600 and n(P ∩ Q) = 200, then n(P' ∩ Q') = 600. What is the value of n(U)?
The angle of elevation of a stationary cloud from a point 2500 m above a lake is 15° and the angle of depression of its reflection in the lake is 45° . The height of cloud above the lake level is
If the (p+q) th term of a geometric series is m and the (p−q) th term is n , then the pth term is
The term which must be added to each term of the ratio 5 :37 to make it equal to 1 : 3 is
A parabola passes through the points (0,4),(1,9) and (−2,6). Also, the axis of this curve is parallel to the ordinate. The equation of the parabola is
According to Newton’s law, the rate of cooling is proportional to the difference between the temperature of the body and the temperature of the air. If the temperature of the air is 20∘C and the body cools for 20 minutes from 100∘C to 60∘ , then the time will take for its temperature to drop to 30∘C is
If cross product of two non-zero vectors is zero, then the vectors are
A company manufactures cassettes. Its cost and revenue functions are C(x)=26,000+30x and R(x)=43x, respectively, where x is the number of cassettes produced and sold in a week. How many cassettes must be sold by the company to realise some profit ?
The sum of all two digit natural numbers which leave a remainder 5 when they are divided by 7 is equal to
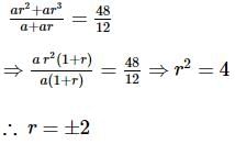
The first two terms of a geometric progression add up to 12. The sum of the third and the fourth terms is 48. If the terms of the geometric progression are alternately positive and negative, then the first term is
If p th term of an arithmetic progression is q and the q th term is p, then 10 th term is