JEE Exam  >  JEE Tests  >  VITEEE Physics Test - 2 - JEE MCQ

VITEEE Physics Test - 2 - JEE MCQ


Test Description

30 Questions MCQ Test - VITEEE Physics Test - 2

VITEEE Physics Test - 2 for JEE 2025 is part of JEE preparation. The VITEEE Physics Test - 2 questions and answers have been prepared according to the JEE exam syllabus.The VITEEE Physics Test - 2 MCQs are made for JEE 2025 Exam. Find important definitions, questions, notes, meanings, examples, exercises, MCQs and online tests for VITEEE Physics Test - 2 below.
Solutions of VITEEE Physics Test - 2 questions in English are available as part of our course for JEE & VITEEE Physics Test - 2 solutions in Hindi for JEE course. Download more important topics, notes, lectures and mock test series for JEE Exam by signing up for free. Attempt VITEEE Physics Test - 2 | 35 questions in 50 minutes | Mock test for JEE preparation | Free important questions MCQ to study for JEE Exam | Download free PDF with solutions
VITEEE Physics Test - 2 - Question 1

The average power dissipation in pure inductance is

Detailed Solution for VITEEE Physics Test - 2 - Question 1

 Answer :- d

Solution :- power =1/T ∫v(t)i(t)dt 

In sinusoidal wave, V and I differ by 90 ° 

Pa=ω2π∫Aωsin(ωt)cos(ωt)dt 

where A is a constant depending on the value of the inductance L or capacitance C of the component.

P=Aω²/2π  [ ∫2π/sin(2ωt)dt]

period of sin(2ωt) is T′=π/ω 

interval of integration of P is exactly two periods of sin(2ωt)

so finally :

P=Aω²/2π∫sin(2ωt)dt=0

VITEEE Physics Test - 2 - Question 2

Moseley's law states that

Detailed Solution for VITEEE Physics Test - 2 - Question 2

The frequency of characteristic X-ray spectral line is directly proportional to the square of atomic number of target element.
⇒ v ∝ Z2 i . e . √ v ∝ Z
or √ v = a (z − b)    
Here a is constant of proportionality b is screening constant.

VITEEE Physics Test - 2 - Question 3

In a Wheatstone's bridge all the four arms have equal resistance R. If the resistance of the galvanometer arm is also R, the equivalent resistance of the combination as seen by the battery is

Detailed Solution for VITEEE Physics Test - 2 - Question 3

ln balance Wheatstone bridge, the galvanometer arm can be neglected so equivalent resistance = R.

VITEEE Physics Test - 2 - Question 4

Emission of electrons in the photoelectric effect is possible, if

Detailed Solution for VITEEE Physics Test - 2 - Question 4

In the photoelectric effect, electrons are emitted from a metal surface when it is illuminated by light of a certain frequency (or wavelength). However, this emission depends on the energy of the incident photons.

The energy of a photon is given by the equation: E = hc/λ where hhh is Planck's constant, c is the speed of light, and λ is the wavelength of the light.

For the photoelectric effect to occur, the energy of the photons must be greater than or equal to the work function of the metal, which is the minimum energy required to eject an electron from the surface. This implies that the wavelength of the incident light must be sufficiently short (or the frequency must be sufficiently high) to provide the necessary energy.

Hence, the correct condition for the emission of electrons is when the incident light has sufficiently low wavelength (or equivalently, high frequency), which corresponds to answer D.

VITEEE Physics Test - 2 - Question 5

A sheet of aluminium is inserted in the air gap between the parallel plate capacitor, without touching any the two plates of the capacitor. The capacitance the capacitor is:

Detailed Solution for VITEEE Physics Test - 2 - Question 5


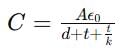
"When a sheet of aluminium is inserted in the air gap of a parallel plate capacitor without touching any of the two plates of the capacitor. Then the capacitance of the capacitor is

where t is the thickness of the aluminium and k for aluminium is infinity.
Therefore,
So, the capacitance of the capacitor is invariant for all positions of the sheet."

VITEEE Physics Test - 2 - Question 6

When a current is passed through water acidified with a dilute sulphuric acid, the gases formed at the platinum electrodes are

Detailed Solution for VITEEE Physics Test - 2 - Question 6

When an electric current is passed through water that is acidified with dilute sulfuric acid, electrolysis of water occurs. The electrolysis of water can be represented by the following chemical reactions:

At the cathode (reduction reaction):

At the anode (oxidation reaction):

For every two molecules of hydrogen gas produced at the cathode, one molecule of oxygen gas is produced at the anode. Therefore, the volume ratio of hydrogen to oxygen produced during the electrolysis of water is 2 : 1. This is known as the "volume ratio" in electrolysis, where hydrogen (at the cathode) is produced in twice the volume of oxygen (at the anode).
Hence, the correct answer is A.

VITEEE Physics Test - 2 - Question 7

The resistance of a coil at 100oC is 4.2 Ω. If temperature coefficient of resistance of the coil material is 0.004oC-1, then its resistance at 0oC is

Detailed Solution for VITEEE Physics Test - 2 - Question 7

VITEEE Physics Test - 2 - Question 8

The internal resistance of a cell of e.m.f. 3 V is 0.1 Ω, If it is connected to a resistance of 2.9Ω then voltage across the cell will be

Detailed Solution for VITEEE Physics Test - 2 - Question 8

In this case, the cell has an emf of 3 V and an internal resistance of 0.1 Ω. The external resistance connected to the cell is 2.9 Ω.

To calculate the voltage across the cell, we first need to determine the total resistance in the circuit. The total resistance is the sum of the internal resistance of the cell and the external resistance:
Rtotal = Rinternal + Rexternal = 0.1 Ω + 2.9 Ω = 3.0 Ω
Next, we calculate the total current in the circuit using Ohm’s law:
I = Vemf / Rtotal = 3 V / 3.0 Ω = 1 A
Now, the voltage across the external resistance is given by:
Vexternal = I × Rexternal = 1 A × 2.9 Ω = 2.9 V
Since the external resistance has a voltage drop of 2.9 V, the voltage across the cell will be 2.9 V, which matches the emf of the cell.

Therefore, the correct answer is C: 2.9 V.

VITEEE Physics Test - 2 - Question 9

In short wave communication waves of which of the following frequencies will be reflected back by the ionospheric layer having electron density 1011 per m-3?

Detailed Solution for VITEEE Physics Test - 2 - Question 9

Therefore, Option (a) 2 Mhz is the correct answer.

VITEEE Physics Test - 2 - Question 10

When a current flows in a wire, there exists an electric field whose direction is

Detailed Solution for VITEEE Physics Test - 2 - Question 10

 Answer :- a

Solution :- The current always flows in the same direction as the electric field. The electrons flow in the opposite direction, because they are negatively charged.

VITEEE Physics Test - 2 - Question 11

A particle with a specific charge S is fired with a speed v towards a wall at a distance d, perpendicular to the wall. What minimum magnetic field must exist in this region for the particle not to hit the wall ?

Detailed Solution for VITEEE Physics Test - 2 - Question 11

The particle moves in a circular path with radius d if it is just to miss the wall.

The magnetic force must provide the necessary centripetal force for circular motion. Therefore, we have the equation mv = Bqd, where B is the magnetic field, q is the charge, and m is the mass of the particle.

Rearranging this equation, we get B = v/(qd).

Since the specific charge s is defined as q/m, we substitute s into the equation to get B = v/(sd). Thus, the minimum magnetic field required is v/sd.

VITEEE Physics Test - 2 - Question 12

A generator at a utility company produces 100 A of current at 4000 V. The voltage is stepped up to 240000 V by a transformer before it is sent on a high voltage transmission line. The current in transmission line is

Detailed Solution for VITEEE Physics Test - 2 - Question 12

VITEEE Physics Test - 2 - Question 13

A step-up transformer has transformation ratio of 3:2 What is the voltage in secondary, if voltage in primary is 30 V ?

Detailed Solution for VITEEE Physics Test - 2 - Question 13

VITEEE Physics Test - 2 - Question 14

The coefficient of mutual inductance, when magnetic flux changes by 2 X 10-2 Wb and current changes by 0.01 A is

Detailed Solution for VITEEE Physics Test - 2 - Question 14

VITEEE Physics Test - 2 - Question 15

A point charge q is placed at a distance a/2 directly above the centre of a square of side a. The electric flux through the square assuming it to be one face of the cube is

Detailed Solution for VITEEE Physics Test - 2 - Question 15

VITEEE Physics Test - 2 - Question 16

Which of the following waves have the maximum wavelength?

Detailed Solution for VITEEE Physics Test - 2 - Question 16

The electromagnetic spectrum consists of various types of waves, each having a different wavelength. The wavelengths increase from gamma rays to radiowaves.

Here’s the order from the shortest to the longest wavelength:

  • X-rays have very short wavelengths, typically between 10-12 m and 10-8 m.
  • Ultraviolet (UV) rays have wavelengths ranging from 10-8 m to 10-12 m.
  • Infrared (IR) rays have wavelengths between 10-3 m and 10-6 m.
  • Radiowaves have the longest wavelengths in the electromagnetic spectrum, ranging from several meters to thousands of kilometers (up to 103 m).

Therefore, radiowaves have the maximum wavelength among the options, and the correct answer is D: Radiowaves.

VITEEE Physics Test - 2 - Question 17

Equal charges are given to two conducting spheres of different radii. The potential will

Detailed Solution for VITEEE Physics Test - 2 - Question 17

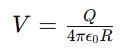
When equal charges are given to two conducting spheres of different radii, the potential on a sphere is given by the formula:

where V is the potential, Q is the charge, ϵ0​ is the permittivity of free space, and R is the radius of the sphere.

From the formula, we can see that the potential is inversely proportional to the radius of the sphere. This means that for the same charge Q, the smaller sphere (with a smaller radius) will have a higher potential compared to the larger sphere (with a larger radius).

Therefore, the potential will be more on the smaller sphere, and the correct answer is A.

VITEEE Physics Test - 2 - Question 18

A 2 μ F condenser is charged to 500V and then its plates are joined through of consistance. The heat produced in the resistance in joules is

Detailed Solution for VITEEE Physics Test - 2 - Question 18

First, let's find the initial energy stored in the capacitor, which is given by the formula:

E_initial = (1/2) * C * V^2

where E_initial is the initial energy, C is the capacitance, and V is the voltage.

E_initial = (1/2) * 2 * 10^-6 F * (500 V)^2
E_initial = 1 * 10^-6 F * (250000 V^2)
E_initial = 0.25 J

Now, when the plates are joined through a resistance, the capacitor will discharge and its energy will be transferred into heat in the resistor. The final energy stored in the capacitor will be zero as it is completely discharged. So, the heat produced in the resistor will be equal to the initial energy stored in the capacitor.

Heat produced (in Joules) = Initial energy stored in the capacitor (in Joules)
Heat produced = 0.25 J

VITEEE Physics Test - 2 - Question 19

If a point charge q be rotated in a circle of radius r around a charge Q, the work done will be

Detailed Solution for VITEEE Physics Test - 2 - Question 19

VITEEE Physics Test - 2 - Question 20

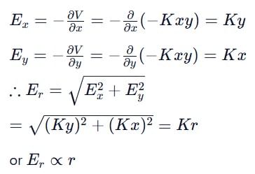
The electric potential at a point (x, y) in the xy-plane is given by: V = -kxy. The electric field intensity at a distance r from the origin varies as

Detailed Solution for VITEEE Physics Test - 2 - Question 20

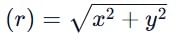
Co-ordinates of the point = (x, y).
Electric potential (V) = −Kxy
Distance of the point from origin 

VITEEE Physics Test - 2 - Question 21

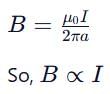
A straight wire of diameter 0.5 mm carrying a current of 1 A is replaced by another wire of 1 mm diameter carrying the same current. The magnetic field far away will be

Detailed Solution for VITEEE Physics Test - 2 - Question 21

The magnetic field due to a current carrying straight wire at distance a is given by

The current is same in both the wires, hence magnetic field strength will also be the same.

VITEEE Physics Test - 2 - Question 22

An electric dipole of dipole moment p is placed in uniform electric field of strength E. If θ is the angle between p and E, then potential energy of the dipole becomes maximum, when θ is

Detailed Solution for VITEEE Physics Test - 2 - Question 22

The potential energy U of an electric dipole in a uniform electric field E is given by the equation:

Where:

  •  is the dipole moment,
  •  is the electric field,
  • θ is the angle between  and .

To find when the potential energy is maximum, we need to maximize the value of U. Since cos(θ) ranges from -1 to 1, the potential energy is maximized when cos(θ) = 1, which happens when θ = 180o (i.e., when the dipole is aligned opposite to the electric field).

Therefore, the potential energy of the dipole becomes maximum when θ = 180o, and the correct answer is D.

VITEEE Physics Test - 2 - Question 23

The reason for the continuous emission of energy by the sun is

Detailed Solution for VITEEE Physics Test - 2 - Question 23
  • Energy is continuously created in the sun due to nuclear fusion.
  • Nuclear fusion is a nuclear reaction in which two or more atomic nuclei join together or fuse to form a single heavier nucleus.
  • During fusion, a large amount of energy is released.
  • The main composition of the sun is Hydrogen and Helium.
  • Two hydrogen nuclei fused together to form single helium with the release of a large amount of energy.
  • Sun is the primary source of energy in our solar system.
VITEEE Physics Test - 2 - Question 24

A radioactive element has a half life of 15 years. The fraction that will decay in 30 years is

Detailed Solution for VITEEE Physics Test - 2 - Question 24

VITEEE Physics Test - 2 - Question 25

The photoelectric threshold of a certain metal is 30 Å. If the radiation of 2000 Å is incident on the metal

Detailed Solution for VITEEE Physics Test - 2 - Question 25

The photoelectric effect occurs when the energy of the incident light (photon) is greater than or equal to the work function of the metal, causing the emission of electrons from the metal surface.

The energy of a photon is given by the formula:
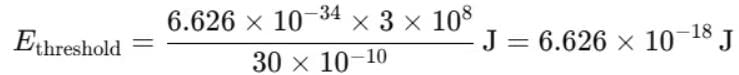
E = hc/λ

where:

  • h is Planck's constant (6.626 × 10-34 J·s),
  • c is the speed of light (3 × 108 m/s),
  • λ is the wavelength of the incident light.

The threshold wavelength (λthreshold) corresponds to the minimum wavelength that has sufficient energy to overcome the work function of the metal. For this metal, the threshold wavelength is 30 Å.

Now, for the incident light with a wavelength of 2000 Å:

  1. The energy of the photon with wavelength 2000 Å is calculated as:
  2. The energy corresponding to the threshold wavelength of 30 Å is:

Since the energy of the incident photon (9.939 × 10-19 J) is much lower than the threshold energy required (6.626 × 10-18 J), the photon does not have enough energy to overcome the work function of the metal and therefore cannot emit electrons.

Thus, the correct answer is D: Electrons will not be emitted.

VITEEE Physics Test - 2 - Question 26

A double convex lens made of air with both radii of curvature being 10 cm is placed in a medium of refractive index 1.5. The focal length and nature of lens is

Detailed Solution for VITEEE Physics Test - 2 - Question 26

f = - 15 cm concave  ​​​​​

VITEEE Physics Test - 2 - Question 27

In comparison to a half wave rectifier, the full wave rectifier gives lower

Detailed Solution for VITEEE Physics Test - 2 - Question 27

Let's analyze the comparison between a half-wave rectifier and a full-wave rectifier in terms of efficiency, average current, and average output voltage:

Option A: Efficiency: The efficiency of a half-wave rectifier is around 40.6%, while the efficiency of a full-wave rectifier is around 81.2%. Therefore, a full-wave rectifier is more efficient than a half-wave rectifier.
Option B: Average Current:: The average current provided by a full-wave rectifier is higher than that of a half-wave rectifier because it utilizes both halves of the AC input cycle.
Option C: Average Output Voltage: The average output voltage of a full-wave rectifier is also higher than that of a half-wave rectifier because it is using both halves of the AC cycle.

Thus, none of the given options (efficiency, average current, average output voltage) are lower for the full-wave rectifier in comparison to the half-wave rectifier. Therefore, the correct answer is D: none of these.

VITEEE Physics Test - 2 - Question 28

If a full wave rectifier circuit is operating from 50 Hz mains, then fundamental frequency in the ripple will be

Detailed Solution for VITEEE Physics Test - 2 - Question 28

In full wave rectifier, two diodes are used to rectify the input A.C. voltage into D.C. voltage. Hence, for each cycle of input signal pulsating, unidirectional output will obtain. Thus, the fundamental frequency in the ripple will be doubled, i.e., 100 Hz.

VITEEE Physics Test - 2 - Question 29

The current gain for a transistor working as common-base amplifier is 0.96. If the emitter current is 7.2 mA, then the base current is

Detailed Solution for VITEEE Physics Test - 2 - Question 29

Solution :- Current gain of transistor is

α = ΔIC/ΔiE

 Where ΔiC is change in collector current, and ΔiE is change in emitter current.

Given, α=0.96,ΔiE=7.2,

ΔiC=0.96×7.2=6.91mA

Also ΔiE=ΔiC+ΔiB

∴ ΔiB = ΔiE + ΔiC

= 7.2−6.91 = 0.29mA

VITEEE Physics Test - 2 - Question 30

To obtain electrons as majority charge carriers in a semiconductor, the impurity mixed is

Detailed Solution for VITEEE Physics Test - 2 - Question 30

To obtain electrons as majority charge carriers in a semiconductor, the impurity added should be a pentavalent element.

When a pentavalent impurity (such as phosphorus or arsenic) is added to a semiconductor like silicon, it donates an extra electron because pentavalent elements have five valence electrons, and only four are needed to bond with the silicon atoms. This results in an excess electron in the material, which becomes the majority charge carrier. This process is called n-type doping.

Thus, the correct answer is D: Pentavalent.

View more questions
Information about VITEEE Physics Test - 2 Page
In this test you can find the Exam questions for VITEEE Physics Test - 2 solved & explained in the simplest way possible. Besides giving Questions and answers for VITEEE Physics Test - 2, EduRev gives you an ample number of Online tests for practice
Download as PDF