JEE Exam  >  JEE Tests  >  VITEEE Physics Test - 5 - JEE MCQ

VITEEE Physics Test - 5 - JEE MCQ


Test Description

30 Questions MCQ Test - VITEEE Physics Test - 5

VITEEE Physics Test - 5 for JEE 2025 is part of JEE preparation. The VITEEE Physics Test - 5 questions and answers have been prepared according to the JEE exam syllabus.The VITEEE Physics Test - 5 MCQs are made for JEE 2025 Exam. Find important definitions, questions, notes, meanings, examples, exercises, MCQs and online tests for VITEEE Physics Test - 5 below.
Solutions of VITEEE Physics Test - 5 questions in English are available as part of our course for JEE & VITEEE Physics Test - 5 solutions in Hindi for JEE course. Download more important topics, notes, lectures and mock test series for JEE Exam by signing up for free. Attempt VITEEE Physics Test - 5 | 35 questions in 50 minutes | Mock test for JEE preparation | Free important questions MCQ to study for JEE Exam | Download free PDF with solutions
VITEEE Physics Test - 5 - Question 1

In photoelectric phenomenon, the number of photo electrons emitted depends on

Detailed Solution for VITEEE Physics Test - 5 - Question 1

Photoelectric current depends on the intensity of incident light,
the number of photoelectrons emitted per second is directly proportional to the intensity of incident radiation.

VITEEE Physics Test - 5 - Question 2

A particle of mass 0.6 gm and having charge of 25 nC is moving horizontally with a uniform velocity 1.2 x 104  ms-1 in a uniform magnetic field; then the value of the magnetic induction is (g = 10 m s⁻²)

Detailed Solution for VITEEE Physics Test - 5 - Question 2

Step-by-Step Solution:

Step 1: Understand the Concept

A charged particle moving in a magnetic field experiences a magnetic force. The force is given by:

Magnetic force (F) = q × v × B × sin(θ)

Where:

  • q is the charge

  • v is the velocity

  • B is the magnetic induction (magnetic field strength)

  • θ is the angle between the velocity vector and the magnetic field

If a particle is moving horizontally with uniform velocity, the net force acting on it must be zero. This means the magnetic force must be balanced by another force.

Since gravity is mentioned, and the magnetic field is uniform, the problem likely assumes that magnetic force is balancing the gravitational force, which pulls the particle downward.

So, we can set:

Magnetic force = Gravitational force

That is:

q × v × B = m × g

Now, solve for B:

B = (m × g) / (q × v)

Step 2: Plug in the Values

  • m = 0.0006 kg

  • g = 10 m/s²

  • q = 25 × 10⁻⁹ C

  • v = 1.2 × 10⁴ m/s

Now substitute:

B = (0.0006 × 10) / (25 × 10⁻⁹ × 1.2 × 10⁴)

B = 0.006 / (25 × 10⁻⁹ × 12000)

First calculate the denominator:

25 × 10⁻⁹ × 12000 = 3 × 10⁻⁴

Now divide:

B = 0.006 / 0.0003 = 20 Tesla

Final Answer:

20 T

Correct Option: (c)

Conclusion:

The magnetic field (B) must be 20 T for the magnetic force to balance the weight of the particle. The earlier solution that assumed the magnetic field was parallel to the velocity (thus giving zero force) did not consider the role of gravity. This was the mistake. In this problem, the magnetic field is perpendicular to the velocity, and it acts upward to balance gravity, allowing the particle to move horizontally with uniform velocity.

VITEEE Physics Test - 5 - Question 3

For electroplating a spoon, it is placed in the voltameter at

Detailed Solution for VITEEE Physics Test - 5 - Question 3

For electroplating a spoon, it is essential to place it in the correct position within the voltameter:

  • The spoon should be positioned at the cathode, where it will receive the metal ions.
  • At the anode, metal is oxidised and dissolved into the electrolyte.
  • Placing the spoon anywhere else, such as in the middle or at arbitrary points, will not achieve the desired electroplating effect.
VITEEE Physics Test - 5 - Question 4

Consider telecommunication through optical fibres. Which of the following statements is not correct

Detailed Solution for VITEEE Physics Test - 5 - Question 4

Optical fibres are a crucial technology for telecommunications, and understanding their characteristics is important.

  • Low Transmission Loss: Optical fibres are known for having extremely low transmission losses, making them efficient for long-distance communication.
  • Core and Cladding: They can feature a homogeneous core paired with suitable cladding, which helps in guiding light effectively.
  • Graded Refractive Index: Optical fibres can also have a graded refractive index, allowing for improved performance in light transmission.
  • Electromagnetic Interference: Unlike traditional copper cables, optical fibres are not susceptible to electromagnetic interference, providing a clearer signal.
VITEEE Physics Test - 5 - Question 5

The average power dissipated in a pure inductor of inductance L when an A.C. current is passing through it is

Detailed Solution for VITEEE Physics Test - 5 - Question 5

The average power dissipated in a pure inductor of inductance L when an A.C. current is passing through it is:

The power dissipated in a pure inductor is calculated as follows:

  • The current in an inductor creates a magnetic field that stores energy.
  • This stored energy does not dissipate as heat, leading to no average power loss.
  • As a result, the average power dissipated in a pure inductor is zero.
VITEEE Physics Test - 5 - Question 6

A wire of radius r has resistance R. If it is stretched to a radius of 3r/4, its resistance becomes

Detailed Solution for VITEEE Physics Test - 5 - Question 6

Let L1 be the length and A1 the area of crosssection of the original wire and L2, A2 be their values of the stretched wire
Since volume of the wire remains unchanged, we have

VITEEE Physics Test - 5 - Question 7

The length of given cylindrical wire is increased by 100%. Due to the consequent decrease in diameter the change in the resistance of the wire will be

Detailed Solution for VITEEE Physics Test - 5 - Question 7

The solution requires an understanding of resistance in a cylindrical wire, which is influenced by its physical dimensions.

  • Resistance (R) of a wire is calculated using the formula: R = ρ(L/A), where:
    • ρ is the resistivity of the material.
    • L is the length of the wire.
    • A is the cross-sectional area.
  • When the length of the wire is increased by 100%, the new length becomes 2L.
  • The diameter's decrease leads to a change in the cross-sectional area, calculated as:
    • If the diameter decreases, the area A = π(d/2)² also decreases.
  • With both the increased length and decreased area, the new resistance can be determined:
    • New Resistance R' = ρ(2L/A'), where A' is the new area.
  • As a result, the resistance increases significantly due to the combined effects of lengthening and area reduction.

Therefore, the change in the resistance of the wire will be substantial, indicating a marked increase in overall resistance. The exact percentage can be evaluated based on the area reduced, often leading to a greater than 200% increase in resistance.

VITEEE Physics Test - 5 - Question 8

If an electron revolves in the path of a circle of radius of 0.5x 10-10  m at a frequency of 5 x 1015  cycles ∕ sec , the electric current in the circle is (charge of electron = 1.6 x 10-19  C )

Detailed Solution for VITEEE Physics Test - 5 - Question 8

To calculate the electric current generated by an electron revolving in a circular path, follow these steps:

  • First, determine the current (I) using the formula: I = n × q, where:
    • n is the number of revolutions per second (frequency),
    • q is the charge of the electron.
  • Given that the frequency (n) is 5 x 1015 cycles/sec and the charge (q) is 1.6 x 10-19 C, substitute these values into the formula:
  • Calculate the current: I = (5 x 1015) × (1.6 x 10-19).
  • This results in: I = 8 x 10-4 A or 0.8 mA.

The electric current in the circle is therefore 0.8 mA.

VITEEE Physics Test - 5 - Question 9

At what temperature, the resistance of a copper wire will become three times its value at 0oC ? (Temperature coefficient of resistance for copper = 4 x 10-3per oC)

Detailed Solution for VITEEE Physics Test - 5 - Question 9

To find the temperature at which the resistance of a copper wire becomes three times its resistance at 0°C, we can use the formula for resistance change with temperature:

  • R = R0 (1 + αT)
  • Where:
    • R = resistance at temperature T
    • R0 = resistance at 0°C
    • α = temperature coefficient of resistance (4 x 10-3 per °C)
    • T = temperature in °C
  • Given that R = 3R0, we can set up the equation:

3R0 = R0(1 + αT)

  • Dividing both sides by R0 gives:
  • 3 = 1 + αT
  • Now, isolate T:

3 - 1 = αT

2 = αT

T = 2/α

  • Substituting α:
  • T = 2 / (4 x 10-3)
  • T = 500°C

The temperature at which the resistance becomes three times its value at 0°C is 500°C.

VITEEE Physics Test - 5 - Question 10

If particles are moving with same velocity, then maximum de-Broglie's wavelength will be for

Detailed Solution for VITEEE Physics Test - 5 - Question 10

To determine which particle exhibits the maximum de-Broglie's wavelength when moving at the same velocity, consider the following:

  • De-Broglie's wavelength is inversely related to the momentum of a particle.
  • Momentum is defined as the product of mass and velocity.
  • Among the given particles, the mass varies:
    • Neutrons have a mass of approximately 1 atomic mass unit (amu).
    • Protons also have a mass near 1 amu.
    • Beta particles (electrons) have a significantly smaller mass (around 0.0005 amu).
    • Alpha particles, consisting of two protons and two neutrons, have a larger mass (approximately 4 amu).
  • Since de-Broglie's wavelength increases as mass decreases, the particle with the smallest mass will have the largest wavelength.
  • Thus, the β-particle (electron) will have the maximum de-Broglie's wavelength as it has the least mass.
VITEEE Physics Test - 5 - Question 11

The core of a transformer is laminated so that

Detailed Solution for VITEEE Physics Test - 5 - Question 11

The core of a transformer is laminated to:

  • Reduce energy losses caused by eddy currents.

  • Improve efficiency by limiting the flow of these currents.

  • Enhance the overall performance of the transformer.

VITEEE Physics Test - 5 - Question 12

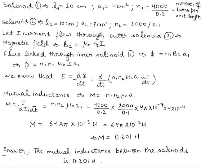
A solenoid of length 20 cm area of cross-section 4 cm2 and having 4000 turns is placed inside another solenoid of 2000 turns having a cross-section area 8 cm2 and length 10 cm. The mutual inductance of the system is

Detailed Solution for VITEEE Physics Test - 5 - Question 12

VITEEE Physics Test - 5 - Question 13

Two coils are placed close to eachother. The mutual inductance of the pair of coils depends upon

Detailed Solution for VITEEE Physics Test - 5 - Question 13

The mutual inductance of two coils depends on several factors:

  • Relative position and orientation: The way the coils are positioned and aligned affects the magnetic coupling between them.
  • Material properties: The type of materials used in the coils can influence their inductive behaviour.
  • Changing currents: The rates at which the currents in both coils change play a crucial role in determining the mutual inductance.

However, the actual currents flowing through the coils do not directly affect the mutual inductance itself.

VITEEE Physics Test - 5 - Question 14

Which of the following waves have maximum wavelength?

Detailed Solution for VITEEE Physics Test - 5 - Question 14

Which of the following waves have maximum wavelength?

The wave with the maximum wavelength among the options listed is:

  • Radio waves

Here's a brief overview of each type of wave:

  • X-rays: Have short wavelengths, typically in the range of 0.01 to 10 nanometres.
  • IR-rays: Infrared rays have longer wavelengths than X-rays, ranging from about 700 nanometres to 1 millimetre.
  • UV-rays: Ultraviolet rays fall between X-rays and visible light, with wavelengths from 10 to 400 nanometres.
  • Radio waves: These have the longest wavelengths, ranging from 1 millimetre to thousands of kilometres.

Thus, among the listed options, radio waves possess the maximum wavelength.

VITEEE Physics Test - 5 - Question 15

Eight dipoles of charges of magnitude e are placed inside a cube. The total electric flux coming out of the cube will be

Detailed Solution for VITEEE Physics Test - 5 - Question 15

The question involves calculating the total electric flux from a cube containing dipoles.

The total electric flux, denoted by Φ, through a closed surface can be determined using Gauss's Law, which states:

  • The total electric flux through a closed surface is proportional to the net charge enclosed within that surface.
  • For dipoles, which consist of equal and opposite charges, the net charge is zero.
  • Since there are eight dipoles, each having a charge of magnitude e, the total enclosed charge remains zero.

As a result, the total electric flux coming out of the cube is:

  • Φ = 0
VITEEE Physics Test - 5 - Question 16

Two charges -10 C and + 10 C are placed 10cm apart. Potential at the centre of the line joining two charges is

Detailed Solution for VITEEE Physics Test - 5 - Question 16

The potential at the midpoint between two charges can be calculated as follows:

  • The two charges are -10 C and +10 C, placed 10 cm apart.
  • The midpoint is 5 cm from each charge.
  • Electric potential (V) due to a point charge is given by the formula: V = k * (q / r), where:
    • k is Coulomb's constant.
    • q is the charge.
    • r is the distance from the charge.
  • Calculating the potential from each charge at the midpoint:
    • For -10 C: V1 = k * (-10 C / 0.05 m)
    • For +10 C: V2 = k * (10 C / 0.05 m)
  • Since the potentials due to each charge are equal in magnitude but opposite in sign, they will cancel each other out:
  • Total potential = V1 + V2 = 0

The potential at the midpoint between the charges is zero.

VITEEE Physics Test - 5 - Question 17

Two equal charges, q each are placed at a distance of 2a, and a third charge -2q is placed at the mid point. The potential energy of the system is

Detailed Solution for VITEEE Physics Test - 5 - Question 17

To calculate the potential energy of the system:

  • The system consists of two equal charges, q, separated by a distance of 2a, with a third charge of -2q positioned at the midpoint.
  • The potential energy between two point charges is given by the formula: U = k * (q1 * q2) / r, where k is the Coulomb's constant, q1 and q2 are the charges, and r is the distance between them.
  • Calculate the potential energy contributions from each pair of charges:
    • Between the two charges q:

      U1 = k * (q * q) / (2a) = k * q² / (2a).

    • Between one charge q and the charge -2q:

      U2 = k * (q * -2q) / (a) = -2k * q² / a.

    • For the other charge q and the charge -2q:

      U3 = k * (q * -2q) / (a) = -2k * q² / a.

  • Now, sum all contributions to find the total potential energy:

    U_total = U1 + U2 + U3 = k * q² / (2a) - 2k * q² / a - 2k * q² / a.

  • This simplifies to:

    U_total = k * q² / (2a) - 4k * q² / a = -7k * q² / (2a).

  • Therefore, the final result for the potential energy is:

    U_total = -7q² / (8π ∈₀ a).

VITEEE Physics Test - 5 - Question 18

If an uncharged capacitor is charged by connecting it to a battery, then the amount of energy lost as heat is

Detailed Solution for VITEEE Physics Test - 5 - Question 18

When an uncharged capacitor is connected to a battery, energy is involved in the charging process. The following points outline the energy loss as heat:

  • The total energy supplied by the battery is represented as Q V, where Q is the charge and V is the voltage.
  • However, not all of this energy is stored in the capacitor; some is lost as heat due to resistance in the circuit.
  • The energy actually stored in the capacitor is 1/2 Q V.
  • Thus, the energy lost as heat during charging can be determined by the difference between the energy supplied and the energy stored.

In summary, the energy lost as heat is equal to:1/2 Q V.

VITEEE Physics Test - 5 - Question 19

Two equal charges q each are placed at a distance of 2a. If a third charge-2q is placed at the mid-point, then potential energy of the system is

Detailed Solution for VITEEE Physics Test - 5 - Question 19

VITEEE Physics Test - 5 - Question 20
An electric dipole placed in a non-uniform electric field experiences
Detailed Solution for VITEEE Physics Test - 5 - Question 20

An electric dipole in a non-uniform electric field experiences:

  • Torque: The dipole will be subjected to a rotational force due to varying field strengths across its ends.
  • Net Force: The dipole can also experience a net force because the electric field strength acting on each end is different.

In summary, an electric dipole in a non-uniform electric field will experience both a torque and a net force. This is a result of the differences in electric field strength affecting its positive and negative charges.

VITEEE Physics Test - 5 - Question 21

In β + decay process, the following changes take place inside the nucleus

Detailed Solution for VITEEE Physics Test - 5 - Question 21

In the process of β+ decay, several key changes occur within the nucleus:

  • Proton conversion: A proton in the nucleus is transformed into a neutron.
  • Positron emission: This transformation releases a positron, which is the antimatter counterpart of an electron.
  • Neutrino production: Alongside the positron, a neutrino is also emitted, which carries away some energy.
  • Nuclear composition change: The atomic number of the element decreases by one, while the mass number remains unchanged.

This decay process is significant in understanding nuclear reactions and the stability of atomic nuclei.

VITEEE Physics Test - 5 - Question 22

A current carrying loop is free to return in a uniform magnetic field. The loop will then come into equilibrium when its plane is inclined at

Detailed Solution for VITEEE Physics Test - 5 - Question 22

A current-carrying loop in a uniform magnetic field will achieve equilibrium when it is inclined at:

  • The loop will be in a stable position when its plane is aligned with the magnetic field.
  • This occurs at an angle of zero degrees to the field direction.
  • At this position, the torque acting on the loop is minimised, leading to stability.
  • Other angles, such as 45 degrees or 90 degrees, will not provide the same stability.
VITEEE Physics Test - 5 - Question 23

Which of the following is more effective in inducing nuclear fission

Detailed Solution for VITEEE Physics Test - 5 - Question 23

Fast neutrons are generally more effective in inducing nuclear fission compared to other particles. Here's why:

  • Neutron interactions: Neutrons can easily penetrate the nucleus without being repelled by the positive charge, unlike protons.
  • Energy levels: Fast neutrons have sufficient energy to overcome the nuclear forces holding the nucleus together.
  • Fission probability: Slow neutrons, or thermal neutrons, are also effective due to their ability to be captured by the nucleus, leading to fission.
  • Protons: Fast and slow protons are less effective as they face repulsion from the nucleus, making fission less likely.

In conclusion, while both fast and slow neutrons can induce fission, fast neutrons generally have a higher probability of success.

VITEEE Physics Test - 5 - Question 24

What is the Q-value of the reaction
p + 7 Li → 4 He + 4 He
The atomic masses of 1 H , 4 H e and 7 L i are 1.007825 u, 4.002603 u and 7.016004 u respectively

Detailed Solution for VITEEE Physics Test - 5 - Question 24

To calculate the Q-value of the reaction:

  • Identify the atomic masses involved in the reaction:
    • Proton (p): 1.007825 u
    • Lithium-7 (7Li): 7.016004 u
    • Helium-4 (4He): 4.002603 u
  • Write the reaction equation:
  • p + 7Li → 24He

  • Calculate the total mass of reactants:
  • Total mass = mass of p + mass of 7Li = 1.007825 u + 7.016004 u = 8.023829 u

  • Calculate the total mass of products:
  • Total mass = 2 × mass of 4He = 2 × 4.002603 u = 8.005206 u

  • Determine the mass difference:
  • Mass difference = mass of reactants - mass of products = 8.023829 u - 8.005206 u = 0.018623 u

  • Convert mass difference to energy using the conversion factor:
  • Q-value (in MeV) = mass difference (u) × 931.5 MeV/u

    Q-value = 0.018623 u × 931.5 MeV/u ≈ 17.35 MeV

The Q-value of the reaction is approximately 17.35 MeV.

VITEEE Physics Test - 5 - Question 25
If work function of metal is 3 eV then threshold wavelength will be
Detailed Solution for VITEEE Physics Test - 5 - Question 25

To determine the threshold wavelength of a metal with a work function of 3 eV:

  • The threshold wavelength can be calculated using the formula:
  • λ = (hc) / φ
  • Where:
    • h = Planck's constant (6.626 x 10-34 J·s)
    • c = Speed of light (3 x 108 m/s)
    • φ = Work function in joules (1 eV = 1.6 x 10-19 J)
  • Convert work function to joules:
    • 3 eV = 3 x 1.6 x 10-19 J = 4.8 x 10-19 J
  • Substituting the values:
    • λ = (6.626 x 10-34 J·s * 3 x 108 m/s) / (4.8 x 10-19 J)
  • Calculating gives:
    • λ ≈ 4.13 x 10-7 m or 4133 Å

Conclusion: The threshold wavelength is approximately 4133 Å.

VITEEE Physics Test - 5 - Question 26

The refractive index of a certain glass is 1.5, for a light of wavelength 6000 Å . When light (c = 3 x 108 m s-1)passed through this glass, its wavelength is

Detailed Solution for VITEEE Physics Test - 5 - Question 26

To find the new wavelength of light in glass:

  • The refractive index (n) of the glass is 1.5.
  • The original wavelength of light in air is 6000 Å.
  • The relationship between wavelength in air (λ₀) and wavelength in glass (λ) is given by:
  • λ = λ₀ / n
  • Substituting the values:
  • λ = 6000 Å / 1.5
  • This calculation results in:
  • λ = 4000 Å

The wavelength of light in the glass is therefore 4000 Å.

VITEEE Physics Test - 5 - Question 27
The spectrum obtained from a sodium vapour lamp is an example for
Detailed Solution for VITEEE Physics Test - 5 - Question 27

The spectrum from a sodium vapour lamp is classified as an:

  • Emission spectrum

The key characteristics of an emission spectrum include:

  • It is produced when atoms or molecules emit light.
  • The spectrum consists of bright lines or bands at specific wavelengths.
  • Each element has a unique emission spectrum, aiding in its identification.

In contrast, other types of spectra include:

  • Continuous spectrum: Displays a seamless range of wavelengths without gaps.
  • Absorption spectrum: Shows dark lines where light has been absorbed by atoms or molecules.
  • Band spectrum: Composed of closely spaced lines, often seen in molecular emissions.
VITEEE Physics Test - 5 - Question 28

The minimum potential difference between the base and emitter required to switch a silicon transistor 'ON' is approximately

Detailed Solution for VITEEE Physics Test - 5 - Question 28

The minimum potential difference required to turn a silicon transistor 'ON' is typically around:

  • 0.6 to 0.7 V for the base-emitter junction.
  • This voltage is necessary to overcome the barrier for conduction.
  • Values may vary slightly depending on specific transistor designs.
VITEEE Physics Test - 5 - Question 29

The potential barrier, in the depletion of layer, is due to

Detailed Solution for VITEEE Physics Test - 5 - Question 29

The potential barrier in the depletion layer is caused by:

  • Interaction between electrons and holes in the semiconductor material.
  • Formation of a region devoid of mobile charge carriers.
  • Presence of ions that create an electric field, establishing the barrier.

This barrier affects the movement of charge carriers and impacts the overall behaviour of the semiconductor device.

VITEEE Physics Test - 5 - Question 30

The intrinsic semiconductor becomes an insulator at

Detailed Solution for VITEEE Physics Test - 5 - Question 30

The intrinsic semiconductor behaves as an insulator at

  • The temperature at which intrinsic semiconductors become insulators is typically close to absolute zero, around 0 K.

  • At higher temperatures, more charge carriers are available, enabling conductivity.

  • As the temperature decreases, the excitation of electrons becomes less likely, leading to insulating behaviour.

View more questions
Information about VITEEE Physics Test - 5 Page
In this test you can find the Exam questions for VITEEE Physics Test - 5 solved & explained in the simplest way possible. Besides giving Questions and answers for VITEEE Physics Test - 5, EduRev gives you an ample number of Online tests for practice
Download as PDF