GMAT Exam  >  GMAT Tests  >  Executive Assessment Mock Test - 10 - GMAT MCQ

Executive Assessment Mock Test - 10 - GMAT MCQ


Test Description

30 Questions MCQ Test - Executive Assessment Mock Test - 10

Executive Assessment Mock Test - 10 for GMAT 2025 is part of GMAT preparation. The Executive Assessment Mock Test - 10 questions and answers have been prepared according to the GMAT exam syllabus.The Executive Assessment Mock Test - 10 MCQs are made for GMAT 2025 Exam. Find important definitions, questions, notes, meanings, examples, exercises, MCQs and online tests for Executive Assessment Mock Test - 10 below.
Solutions of Executive Assessment Mock Test - 10 questions in English are available as part of our course for GMAT & Executive Assessment Mock Test - 10 solutions in Hindi for GMAT course. Download more important topics, notes, lectures and mock test series for GMAT Exam by signing up for free. Attempt Executive Assessment Mock Test - 10 | 40 questions in 90 minutes | Mock test for GMAT preparation | Free important questions MCQ to study for GMAT Exam | Download free PDF with solutions
Executive Assessment Mock Test - 10 - Question 1

The table below  gives 2010 population based on UN estimates and 2050 populations based on UN projections for 19 selected countries. The table also gives the UN estimates of the percentage of the population that is foreign-born for each country in 2010.

Each column of the table can be sorted in ascending order by clicking on the word “Select” above the table and choosing, from the dropdown menu, the heading of the column on which you want the table to be sorted.

Alternate Sort 1: Population 2010

Q. Consider each of the following statements about these countries. For each statement indicate whether the statement is supported based on the information provided in the table.

Of the countries with a population of greater than 150 million in 2010, the one with the median number of foreign-born inhabitants is China.

Detailed Solution for Executive Assessment Mock Test - 10 - Question 1

Sort the countries by population in 2010. There are five countries with populations above 150 million: China, India, United States, Indonesia, and Brazil. If China were to have the median foreign-born population, there  would be two countries with a higher foreign-born population and two countries with a lower foreign born population. First, estimate China’s foreign-born population. According to the table 0.29% of China’s population of 1,399,725,000 is foreign-born. This is close to 0.3% of 1.4 billion. Multiply 0.003 by 1,400 million:
China has 4.2 million foreign-born
inhabitants. Now, estimate the foreign-born population of the other four countries. India’s foreign-born population is about 0.5% of 1.2 billion, or is 6 million, which is bigger than China’s foreign born population. The foreign-born population of the United States is about 20% of 312 million, about 62 million. This is bigger than China’s foreign- orn population. Indonesia’s foreign-born population is less than 1% of about 238 million. 1% of 238 million is about 2 million. Therefore, Indonesia’s foreign-born population is less than 2 million and less than China’s.
Brazil’s foreign- orn population is less than 1% of about 190 million. Since 1% of 190 million is about 1.9 million, Brazil’s foreign- orn population is less than 1.9 million. Therefore, Brazil’s foreign-born population is less than China’s. Since two of the countries have a higher foreign born population than China and two of the countries have a lower foreign-born population than China, China’s foreign born population is the median.

Executive Assessment Mock Test - 10 - Question 2

The table below  gives 2010 population based on UN estimates and 2050 populations based on UN projections for 19 selected countries. The table also gives the UN estimates of the percentage of the population that is foreign-born for each country in 2010.

Each column of the table can be sorted in ascending order by clicking on the word “Select” above the table and choosing, from the dropdown menu, the heading of the column on which you want the table to be sorted.

Alternate Sort 1: Population 2010

Q. Consider each of the following statements about these countries. For each statement indicate whether the statement is supported based on the information provided in the table.

The total population of Laos is projected to be about 8 million in 2030.

Detailed Solution for Executive Assessment Mock Test - 10 - Question 2

This might appear to be a reasonable conclusion, since 8 million is approximately the average of the population in 2010 and the projected population for 2050. However, there is no information in the table which allows you to assume a uniform population increase from 2010 to 2050. Therefore, this conclusion is unsupported.

Executive Assessment Mock Test - 10 - Question 3

The table below  gives 2010 population based on UN estimates and 2050 populations based on UN projections for 19 selected countries. The table also gives the UN estimates of the percentage of the population that is foreign-born for each country in 2010.

Each column of the table can be sorted in ascending order by clicking on the word “Select” above the table and choosing, from the dropdown menu, the heading of the column on which you want the table to be sorted.

Alternate Sort 1: Population 2010

Q. Consider each of the following statements about these countries. For each statement indicate whether the statement is supported based on the information provided in the table.

Andorra has the highest rank in terms of number of foreign-born inhabitants.

Detailed Solution for Executive Assessment Mock Test - 10 - Question 3

Although Andorra has the highest percentage of its population that is foreign born, this does not mean it has the great number of immigrants.About 20% of Australia’s population of about 20 million is made up of immigrants. Therefore, Australia has about 4 million immigrants. Since this is higher than the entire population of Andorra, the statement is unsupported.

Executive Assessment Mock Test - 10 - Question 4

The table below  gives 2010 population based on UN estimates and 2050 populations based on UN projections for 19 selected countries. The table also gives the UN estimates of the percentage of the population that is foreign-born for each country in 2010.

Each column of the table can be sorted in ascending order by clicking on the word “Select” above the table and choosing, from the dropdown menu, the heading of the column on which you want the table to be sorted.

Alternate Sort 1: Population 2010

Q. Consider each of the following statements about these countries. For each statement indicate whether the statement is supported based on the information provided in the table.

Russia is projected to have the highest percent decrease in population from 2010 to 2050.

Detailed Solution for Executive Assessment Mock Test - 10 - Question 4

First determine which countries are projected to have a decrease in population. These countries are Andorra, China, Kazakhstan, Portugal, and Russia. Estimate the percent changes. They are 

(a lot more)
Since Russia percent decrease is the only one a lot larger than 10%, Russia has the highest percent decrease. This statement is supported.

Executive Assessment Mock Test - 10 - Question 5

The following emails come from the Public Relations division of a large non-profit organization.

Hello Gloria!
We have to choose a caterer for the upcoming gala. Two under consideration are DoxySource and BrightRight. Although DoxySource has delivered satisfactory service in the past, our First Annual Sponsors Gala promises to be the largest event we have ever hosted, and BrightRight is known for large event planning and production. However, I’d like more information before switching from a tried and true contractor. Also, I’d like to consider how to justify any over-budget costs from using BrightRight, if that comes up. I am committed to using only one provider. Please work up a comparison of costs of services and rentals for BrightRight and DoxySource. We require: tables, audio, food, and a punch fountain or fountains (a dessert fountain would be a lovely addition). Our budget is $6,000.00, and we plan for a maximum of 400 people.
Thanks!
Evelyn Schott
Gala Coordinator

Hello Evelyn,
I’ve broken out the data in the following chart:

BrightRight offers packages that are generally more elegant and comprehensive, and more expensive. For instance, we can choose a single full meal set, such as “The Greek Feast,” for the entire gala. Using Doxy Source, while more economical and flexible in the catering, does mean more hands-on involvement on our end. 

The biggest price difference comes in the audio systems. BrightRight, which consistently hosts events with attendance of several hundreds, offers complex systems that include lights and sound effects, in addition to highdefinition audio reproduction. DoxySource offers two standard, large public address systems. I am not sure whether the Gala will need all the flash and sizzle of the high-end sound system; but the projected attendance is above the recommended usage for DoxySource’s P.A. systems. Due to electrical concerns, we can only have one P.A. system at the gala.
Gloria Welch
Administrative Assistant, Public Relations

Q. Based on the information in the communications above, and assuming the maximum number of guests, which of the following must be true?

If the coordinator uses DoxySource and orders one appetizer, one entrée and one dessert per person, then the table costs will be approximately 16.6% of the food costs.

Detailed Solution for Executive Assessment Mock Test - 10 - Question 5

The chart on the second tab lists two types of tables for DoxySource, and the first tab mentions the maximum number attending: 400. The cost of the food would therefore be (appetizer + entrée + dessert)(400) or ($2.00 +
$6.25 + $3.40)(400) = ($11.65)(400) = $4,660. 

The cost of the tables would vary according to type of tables used. If the less expensive tables (seating eight) are used, 50 tables are required at $15.50 each, for a total of $775. In this case, the cost of the tables ($775) would be approximately 16.6% of the cost of the food ($4,660). However, if the more expensive tables are used, the table cost rises to $986, which is approximately 21% of the cost of the food ($4,660).

Executive Assessment Mock Test - 10 - Question 6

The following emails come from the Public Relations division of a large non-profit organization.

Hello Gloria!
We have to choose a caterer for the upcoming gala. Two under consideration are DoxySource and BrightRight. Although DoxySource has delivered satisfactory service in the past, our First Annual Sponsors Gala promises to be the largest event we have ever hosted, and BrightRight is known for large event planning and production. However, I’d like more information before switching from a tried and true contractor. Also, I’d like to consider how to justify any over-budget costs from using BrightRight, if that comes up. I am committed to using only one provider. Please work up a comparison of costs of services and rentals for BrightRight and DoxySource. We require: tables, audio, food, and a punch fountain or fountains (a dessert fountain would be a lovely addition). Our budget is $6,000.00, and we plan for a maximum of 400 people.
Thanks!
Evelyn Schott
Gala Coordinator

Hello Evelyn,
I’ve broken out the data in the following chart:

BrightRight offers packages that are generally more elegant and comprehensive, and more expensive. For instance, we can choose a single full meal set, such as “The Greek Feast,” for the entire gala. Using Doxy Source, while more economical and flexible in the catering, does mean more hands-on involvement on our end. 

The biggest price difference comes in the audio systems. BrightRight, which consistently hosts events with attendance of several hundreds, offers complex systems that include lights and sound effects, in addition to highdefinition audio reproduction. DoxySource offers two standard, large public address systems. I am not sure whether the Gala will need all the flash and sizzle of the high-end sound system; but the projected attendance is above the recommended usage for DoxySource’s P.A. systems. Due to electrical concerns, we can only have one P.A. system at the gala.
Gloria Welch
Administrative Assistant, Public Relations

Q. Based on the information in the communications above, and assuming the maximum number of guests, which of the following must be true?

If the large punch fountain from BrightRight is sufficient for 400 guests, then using smaller fountains from DoxySource to serve the same number of guests would cost at least 20% less per gallon.

Detailed Solution for Executive Assessment Mock Test - 10 - Question 6

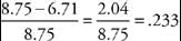
The chart on the first tab shows that the punch fountain from BrightRight comes with 40 gallons of punch. To acquire the same amount from DoxySource, the Gala Coordinator would have to order six of the smaller fountains, providing seven gallons of punch each. Thus, the cost per gallon for the BrightRight fountain is $350÷40 or $8.75 per gallon. The cost per gallon for the DoxySource fountains is (6)($47)÷42 gallons=$6.71 per gallon. Since the question states percent less, you figure the percent decrease by calculating the difference over the original:
 which is approximately 23%.

Executive Assessment Mock Test - 10 - Question 7

The following emails come from the Public Relations division of a large non-profit organization.

Hello Gloria!
We have to choose a caterer for the upcoming gala. Two under consideration are DoxySource and BrightRight. Although DoxySource has delivered satisfactory service in the past, our First Annual Sponsors Gala promises to be the largest event we have ever hosted, and BrightRight is known for large event planning and production. However, I’d like more information before switching from a tried and true contractor. Also, I’d like to consider how to justify any over-budget costs from using BrightRight, if that comes up. I am committed to using only one provider. Please work up a comparison of costs of services and rentals for BrightRight and DoxySource. We require: tables, audio, food, and a punch fountain or fountains (a dessert fountain would be a lovely addition). Our budget is $6,000.00, and we plan for a maximum of 400 people.
Thanks!
Evelyn Schott
Gala Coordinator

Hello Evelyn,
I’ve broken out the data in the following chart:

BrightRight offers packages that are generally more elegant and comprehensive, and more expensive. For instance, we can choose a single full meal set, such as “The Greek Feast,” for the entire gala. Using Doxy Source, while more economical and flexible in the catering, does mean more hands-on involvement on our end. 

The biggest price difference comes in the audio systems. BrightRight, which consistently hosts events with attendance of several hundreds, offers complex systems that include lights and sound effects, in addition to highdefinition audio reproduction. DoxySource offers two standard, large public address systems. I am not sure whether the Gala will need all the flash and sizzle of the high-end sound system; but the projected attendance is above the recommended usage for DoxySource’s P.A. systems. Due to electrical concerns, we can only have one P.A. system at the gala.
Gloria Welch
Administrative Assistant, Public Relations

Q. Based on the information in the communications above, and assuming the maximum number of guests, which of the following must be true?

If BrightRight is used, the project will go over its present budget by at least 15%.

Detailed Solution for Executive Assessment Mock Test - 10 - Question 7

The first tab states that the present budget is $6,000 and the maximum number of guests is 400. Assume the Gala Coordinator wants to use BrightRight, but to stay within the present budget. The costs are listed on the chart on the second tab. The least expensive food costs for BrightRight come with The Classic Western BBQ option, which is $14.00 per person, so total food costs would be (400)($14.00) = $5,600.00. Adding in the least expensive costs for the audio ($650) and the punch fountain ($350) brings the cost to $6,600. Lastly, calculate the least expensive table cost: 400 guests at eight guests per table requires 50 tables; (50)($20) = $1,000, and so the total cost is now $7,600, $1,600 over the current budget of $6,000. The percent over budget is 1600/6000 = .266 or approximately 27%.

Executive Assessment Mock Test - 10 - Question 8

The following emails come from the Public Relations division of a large non-profit organization.

Hello Gloria!
We have to choose a caterer for the upcoming gala. Two under consideration are DoxySource and BrightRight. Although DoxySource has delivered satisfactory service in the past, our First Annual Sponsors Gala promises to be the largest event we have ever hosted, and BrightRight is known for large event planning and production. However, I’d like more information before switching from a tried and true contractor. Also, I’d like to consider how to justify any over-budget costs from using BrightRight, if that comes up. I am committed to using only one provider. Please work up a comparison of costs of services and rentals for BrightRight and DoxySource. We require: tables, audio, food, and a punch fountain or fountains (a dessert fountain would be a lovely addition). Our budget is $6,000.00, and we plan for a maximum of 400 people.
Thanks!
Evelyn Schott
Gala Coordinator

Hello Evelyn,
I’ve broken out the data in the following chart:

BrightRight offers packages that are generally more elegant and comprehensive, and more expensive. For instance, we can choose a single full meal set, such as “The Greek Feast,” for the entire gala. Using Doxy Source, while more economical and flexible in the catering, does mean more hands-on involvement on our end. 

The biggest price difference comes in the audio systems. BrightRight, which consistently hosts events with attendance of several hundreds, offers complex systems that include lights and sound effects, in addition to highdefinition audio reproduction. DoxySource offers two standard, large public address systems. I am not sure whether the Gala will need all the flash and sizzle of the high-end sound system; but the projected attendance is above the recommended usage for DoxySource’s P.A. systems. Due to electrical concerns, we can only have one P.A. system at the gala.
Gloria Welch
Administrative Assistant, Public Relations

Q. Which of the following statements can be most reasonably inferred from the messages between the Gala Coordinator and the Administrative Assistant?

The Gala Coordinator is willing to ask for a budgetary increase, if necessary.

Detailed Solution for Executive Assessment Mock Test - 10 - Question 8

Referring to the first email from the Gala Coordinator, the message states Also, I’d like to consider how to justify any over-budget costs from using BrightRight. The Gala Coordinator is considering how to justify any overbudget costs: therefore, she is willing to ask for a budgetary increase.

Executive Assessment Mock Test - 10 - Question 9

The following emails come from the Public Relations division of a large non-profit organization.

Hello Gloria!
We have to choose a caterer for the upcoming gala. Two under consideration are DoxySource and BrightRight. Although DoxySource has delivered satisfactory service in the past, our First Annual Sponsors Gala promises to be the largest event we have ever hosted, and BrightRight is known for large event planning and production. However, I’d like more information before switching from a tried and true contractor. Also, I’d like to consider how to justify any over-budget costs from using BrightRight, if that comes up. I am committed to using only one provider. Please work up a comparison of costs of services and rentals for BrightRight and DoxySource. We require: tables, audio, food, and a punch fountain or fountains (a dessert fountain would be a lovely addition). Our budget is $6,000.00, and we plan for a maximum of 400 people.
Thanks!
Evelyn Schott
Gala Coordinator

Hello Evelyn,
I’ve broken out the data in the following chart:

BrightRight offers packages that are generally more elegant and comprehensive, and more expensive. For instance, we can choose a single full meal set, such as “The Greek Feast,” for the entire gala. Using Doxy Source, while more economical and flexible in the catering, does mean more hands-on involvement on our end. 

The biggest price difference comes in the audio systems. BrightRight, which consistently hosts events with attendance of several hundreds, offers complex systems that include lights and sound effects, in addition to highdefinition audio reproduction. DoxySource offers two standard, large public address systems. I am not sure whether the Gala will need all the flash and sizzle of the high-end sound system; but the projected attendance is above the recommended usage for DoxySource’s P.A. systems. Due to electrical concerns, we can only have one P.A. system at the gala.
Gloria Welch
Administrative Assistant, Public Relations

Q. Which of the following statements can be most reasonably inferred from the messages between the Gala Coordinator and the Administrative Assistant?

According to the Administrative Assistant, audio costs are not the only determining factor in choosing one event planning service over another.

Detailed Solution for Executive Assessment Mock Test - 10 - Question 9

Referring to the second tab, the Administrative Assistant mentions both more flexibility in the catering and more hands-on involvement on our end as factors to consider when weighing the benefits of one event planning service against another.

Executive Assessment Mock Test - 10 - Question 10

The following emails come from the Public Relations division of a large non-profit organization.

Hello Gloria!
We have to choose a caterer for the upcoming gala. Two under consideration are DoxySource and BrightRight. Although DoxySource has delivered satisfactory service in the past, our First Annual Sponsors Gala promises to be the largest event we have ever hosted, and BrightRight is known for large event planning and production. However, I’d like more information before switching from a tried and true contractor. Also, I’d like to consider how to justify any over-budget costs from using BrightRight, if that comes up. I am committed to using only one provider. Please work up a comparison of costs of services and rentals for BrightRight and DoxySource. We require: tables, audio, food, and a punch fountain or fountains (a dessert fountain would be a lovely addition). Our budget is $6,000.00, and we plan for a maximum of 400 people.
Thanks!
Evelyn Schott
Gala Coordinator

Hello Evelyn,
I’ve broken out the data in the following chart:

BrightRight offers packages that are generally more elegant and comprehensive, and more expensive. For instance, we can choose a single full meal set, such as “The Greek Feast,” for the entire gala. Using Doxy Source, while more economical and flexible in the catering, does mean more hands-on involvement on our end. 

The biggest price difference comes in the audio systems. BrightRight, which consistently hosts events with attendance of several hundreds, offers complex systems that include lights and sound effects, in addition to highdefinition audio reproduction. DoxySource offers two standard, large public address systems. I am not sure whether the Gala will need all the flash and sizzle of the high-end sound system; but the projected attendance is above the recommended usage for DoxySource’s P.A. systems. Due to electrical concerns, we can only have one P.A. system at the gala.
Gloria Welch
Administrative Assistant, Public Relations

Q. Which of the following statements can be most reasonably inferred from the messages between the Gala Coordinator and the Administrative Assistant?

Fountains are an optional element of the gala.

Detailed Solution for Executive Assessment Mock Test - 10 - Question 10

On the first tab, the Gala Coordinator states We require: tables, audio, food, and a punch fountain or fountains, meaning that a punch fountain is required. Although she goes on to state a dessert fountain would be a lovely addition, this refers only to a dessert fountain; the punch fountains are necessary.

Executive Assessment Mock Test - 10 - Question 11

Directions: Read the Passage carefully and answer the question as follow.

Archaeology as a profession faces two major prob-
lems. First, it is the poorest of the poor. Only paltry
sums are available for excavating and even less is avail-
able for publishing the results and preserving the sites 
(5)  once excavated. Yet archaeologists deal with priceless
objects every day. Second, there is the problem of illegal 
excavation, resulting in museum-quality pieces being 
sold to the highest bidder.
I would like to make an outrageous suggestion that 
(10) would at one stroke provide funds for archaeology and 
reduce the amount of illegal digging. I would propose 
that scientific archeological expeditions and govern-
mental authorities sell excavated artifacts on the open 
market. Such sales would provide substantial funds for 
(15) the excavation and preservation of archaeological sites 
and the publication of results. At the same time, they 
would break the illegal excavator’s grip on the market, 
thereby decreasing the inducement to engage in illegal 
activities.
(20) You might object that professionals excavate to 
acquire knowledge, not money. Moreover, ancient arti-
facts are part of our global cultural heritage, which 
should be available for all to appreciate, not sold to the 
highest bidder. I agree. Sell nothing that has unique
(25) artistic merit or scientific value. But, you might reply,
everything that comes our of the ground has scientific 
value. Here we part company. Theoretically, you may be 
correct in claiming that every artifact has potential scien-
tific value. Practically, you are wrong.
(30) I refer to the thousands of pottery vessels and ancient 
lamps that are essentially duplicates of one another. In 
one small excavation in Cyprus, archaeologists recently 
uncovered 2,000 virtually indistinguishable small jugs in
a single courtyard, Even precious royal seal impressions 
(35) known as/melekh handles have been found in abun-
dance---more than 4,000 examples so far.
The basements of museums are simply not large 
enough to store the artifacts that are likely to be discov-
ered in the future. There is not enough money even to 
(40) catalogue the finds; as a result, they cannot be found 
again and become as inaccessible as if they had never 
been discovered. Indeed, with the help of a computer,
sold artifacts could be more accessible than are the 
pieces stored in bulging museum basements. Prior to 
(45) sale, each could be photographed and the list of the 
purchasers could be maintained on the computer A
purchaser could even be required to agree to return the 
piece if it should become needed for scientific purposes.
It would be unrealistic to suggest that illegal digging 
(50) would stop if artifacts were sold on the open market.
But the demand for the clandestine product would be 
substantially reduced. Who would want an unmarked 
pot when another was available whose provenance was 
known, and that was dated stratigraphically by the 
professional archaeologist who excavated it?

Q. The author mentions the excavation in Cyprus (lines 31-34) to emphasize which of the following points?

Detailed Solution for Executive Assessment Mock Test - 10 - Question 11

C is the best answer. In lines 38-41, the author refutes the assertion that every object excavated has potential scientific value and therefore should not be sold.
In lines 42-44, the author defines those objects that do not have scientific value: “the thousands of pottery vessels…that are essentially duplicates of one another.” The Cyprus excavation appears in the next sentence as an example of one location in which such duplicate artifacts have been found in large quantities.
The reference to “2,000 virtually indistinguishable small jugs” highlights the profusion and uniformity of the Cyprus finds. Thus, the excavation is mentioned in order to emphasize the ready availability of objects that lack unique value and therefore could be sold.

Executive Assessment Mock Test - 10 - Question 12

Directions: Read the Passage carefully and answer the question as follow.

Archaeology as a profession faces two major prob-
lems. First, it is the poorest of the poor. Only paltry
sums are available for excavating and even less is avail-
able for publishing the results and preserving the sites 
(5)  once excavated. Yet archaeologists deal with priceless
objects every day. Second, there is the problem of illegal 
excavation, resulting in museum-quality pieces being 
sold to the highest bidder.
I would like to make an outrageous suggestion that 
(10) would at one stroke provide funds for archaeology and 
reduce the amount of illegal digging. I would propose 
that scientific archeological expeditions and govern-
mental authorities sell excavated artifacts on the open 
market. Such sales would provide substantial funds for 
(15) the excavation and preservation of archaeological sites 
and the publication of results. At the same time, they 
would break the illegal excavator’s grip on the market, 
thereby decreasing the inducement to engage in illegal 
activities.
(20) You might object that professionals excavate to 
acquire knowledge, not money. Moreover, ancient arti-
facts are part of our global cultural heritage, which 
should be available for all to appreciate, not sold to the 
highest bidder. I agree. Sell nothing that has unique
(25) artistic merit or scientific value. But, you might reply,
everything that comes our of the ground has scientific 
value. Here we part company. Theoretically, you may be 
correct in claiming that every artifact has potential scien-
tific value. Practically, you are wrong.
(30) I refer to the thousands of pottery vessels and ancient 
lamps that are essentially duplicates of one another. In 
one small excavation in Cyprus, archaeologists recently 
uncovered 2,000 virtually indistinguishable small jugs in
a single courtyard, Even precious royal seal impressions 
(35) known as/melekh handles have been found in abun-
dance---more than 4,000 examples so far.
The basements of museums are simply not large 
enough to store the artifacts that are likely to be discov-
ered in the future. There is not enough money even to 
(40) catalogue the finds; as a result, they cannot be found 
again and become as inaccessible as if they had never 
been discovered. Indeed, with the help of a computer,
sold artifacts could be more accessible than are the 
pieces stored in bulging museum basements. Prior to 
(45) sale, each could be photographed and the list of the 
purchasers could be maintained on the computer A
purchaser could even be required to agree to return the 
piece if it should become needed for scientific purposes.
It would be unrealistic to suggest that illegal digging 
(50) would stop if artifacts were sold on the open market.
But the demand for the clandestine product would be 
substantially reduced. Who would want an unmarked 
pot when another was available whose provenance was 
known, and that was dated stratigraphically by the 
professional archaeologist who excavated it?

Q. The author implies that all of the following statements about duplicate artifacts are true EXCEPT:

Detailed Solution for Executive Assessment Mock Test - 10 - Question 12

E is the best answer. The question requires you to identify the answer choice that CANNOT be inferred from the passage. Nothing in the passage implies that duplicate artifacts exceed museum objects in quality.

Executive Assessment Mock Test - 10 - Question 13

Directions: Read the Passage carefully and answer the question as follow.

Archaeology as a profession faces two major prob-
lems. First, it is the poorest of the poor. Only paltry
sums are available for excavating and even less is avail-
able for publishing the results and preserving the sites 
(5)  once excavated. Yet archaeologists deal with priceless
objects every day. Second, there is the problem of illegal 
excavation, resulting in museum-quality pieces being 
sold to the highest bidder.
I would like to make an outrageous suggestion that 
(10) would at one stroke provide funds for archaeology and 
reduce the amount of illegal digging. I would propose 
that scientific archeological expeditions and govern-
mental authorities sell excavated artifacts on the open 
market. Such sales would provide substantial funds for 
(15) the excavation and preservation of archaeological sites 
and the publication of results. At the same time, they 
would break the illegal excavator’s grip on the market, 
thereby decreasing the inducement to engage in illegal 
activities.
(20) You might object that professionals excavate to 
acquire knowledge, not money. Moreover, ancient arti-
facts are part of our global cultural heritage, which 
should be available for all to appreciate, not sold to the 
highest bidder. I agree. Sell nothing that has unique
(25) artistic merit or scientific value. But, you might reply,
everything that comes our of the ground has scientific 
value. Here we part company. Theoretically, you may be 
correct in claiming that every artifact has potential scien-
tific value. Practically, you are wrong.
(30) I refer to the thousands of pottery vessels and ancient 
lamps that are essentially duplicates of one another. In 
one small excavation in Cyprus, archaeologists recently 
uncovered 2,000 virtually indistinguishable small jugs in
a single courtyard, Even precious royal seal impressions 
(35) known as/melekh handles have been found in abun-
dance---more than 4,000 examples so far.
The basements of museums are simply not large 
enough to store the artifacts that are likely to be discov-
ered in the future. There is not enough money even to 
(40) catalogue the finds; as a result, they cannot be found 
again and become as inaccessible as if they had never 
been discovered. Indeed, with the help of a computer,
sold artifacts could be more accessible than are the 
pieces stored in bulging museum basements. Prior to 
(45) sale, each could be photographed and the list of the 
purchasers could be maintained on the computer A
purchaser could even be required to agree to return the 
piece if it should become needed for scientific purposes.
It would be unrealistic to suggest that illegal digging 
(50) would stop if artifacts were sold on the open market.
But the demand for the clandestine product would be 
substantially reduced. Who would want an unmarked 
pot when another was available whose provenance was 
known, and that was dated stratigraphically by the 
professional archaeologist who excavated it?

Q. The primary purpose of the passage is to propose 
(a) an alternative to museum display of artifacts 
(b) a way to curb illegal digging while benefiting the archaeological profession 
(c) a way to distinguish artifacts with scientific value from those that have no such value 
(d) the governmental regulation of archaeological sites 
(e) a new system for cataloguing duplicate artifacts

Detailed Solution for Executive Assessment Mock Test - 10 - Question 13

The first paragraph identifies two major problems faced by the archaeological profession: inadequate funding and illegal digging. Lines 12-15 indicate that the author is going to suggest how to remedy both problems, thereby benefiting the archaeological profession. The author proceeds to propose allowing the sale of excavated artifacts (lines 16-19) and to explain how this would solve both problems (lines 19-26). The author then supports the proposal by countering possible objections to it, and in the last paragraph explains how the proposal would curb illegal digging (lines 74-80). Thus, the way information is organized in the passage indicates that the author’s purpose is to suggest that allowing the sale of excavated artifacts would provide funds for the archaeological profession and curb illegal digging.

Executive Assessment Mock Test - 10 - Question 14

In countries where healthcare is universal and provided free of charge by the government, visits per capita to the doctor are twice as frequent as they are in countries where healthcare is paid at least partly out-of-pocket by the consumer. Presently, governments do not have a reliable way of determining whether the symptoms for which these patients were treated for would have otherwise subsided without medical attention. However, this information does not warrant the conclusion by some universal healthcare critics that in the countries with a higher frequency of doctor visits, about half of them are unnecessary. Alternatively, in those countries where healthcare is not free, consumers often forego visits to the doctor except in cases of severe symptoms.

Q. In the argument above, the two underline portions play which of the following roles?

Detailed Solution for Executive Assessment Mock Test - 10 - Question 14

Remember that for all Method of Reasoning questions you must first deconstruct the argument before you go through process of elimination to find which answer choice best describes it. The first underlined information gives that the frequency of visits to the doctor is twice as high in those countries with free healthcare as it is in those without free healthcare. This piece of information is presented without an explanation as to why and is therefore a premise that describes the frequency of visits to the doctors between countries that do and do not have universal healthcare.

After the first underlined portion, the next portion gives a second premise, that there is no way of determining the severity of the patients’ symptoms and no way of determining whether these trips to the doctor were unnecessary. The second sentence of not-underlined information continues this by stating that the conclusion that half of the visits in countries with universal health care are unnecessary is not necessarily valid.

The second set of underlined text then gives an alternative explanation: that consumers in countries without universal health care instead avoid going to the doctor when they need to. Notice that this isn’t a conclusion, but is instead an argument against a certain conclusion.

With the argument deconstructed, you can then take a look at the answer choices. Be wary of wordplay and be very picky!

Choice "The first is a premise that the argument disputes; the second is a conclusion that has been based on that premise." may seem close to your initial analysis of the underlined portions. The first underlined portion is a premise, but it is not the premise that the argument disputes, but the conclusions that can be drawn from that premise. Additionally, the second portion is reasoning that the conclusion in the previous sentence isn’t justified rather than a conclusion in and of itself. Choice "The first is a premise that the argument disputes; the second is a conclusion that has been based on that premise." can therefore be eliminated.

Choice "The first is a premise, of which the implications are in dispute in the argument; the second is a claim presented in order to argue against deriving certain implications from that premise." matches the deconstruction of the argument. The first underlined portion is a premise whose implications (whether or not the extra doctor’s visits are warranted) are indeed under attack. The second underlined portion is a claim, arguing against the conclusion in the previous sentence. Choice "The first is a premise, of which the implications are in dispute in the argument; the second is a claim presented in order to argue against deriving certain implications from that premise." is correct.

Choice "The first is a finding, the accuracy of which is evaluated in the argument; the second is evidence presented to establish the accuracy of the finding." can be eliminated since the first underlined portion is not a finding, but a premise. Its accuracy is also not in question, so you can confidently eliminate choice "The first is a finding, the accuracy of which is evaluated in the argument; the second is evidence presented to establish the accuracy of the finding.".

Choice "The first is a premise that has been used to support a conclusion that the argument accepts; the second is that conclusion." is correct in that the first portion is a premise. However, the first conclusion reached is not accepted by the argument – it is disputed. Choice "The first is a premise that has been used to support a conclusion that the argument accepts; the second is that conclusion." can be eliminated.

Choice "The first is a conclusion that rests upon further evidence within the argument; the second supports that conclusion." can be eliminated since the first underlined portion is a premise, not a conclusion, since it does not pass the “why” test.

The correct answer is "The first is a premise, of which the implications are in dispute in the argument; the second is a claim presented in order to argue against deriving certain implications from that premise.".

Executive Assessment Mock Test - 10 - Question 15

Business School Dean: We are all in agreement that we must cut unnecessary costs in order to afford our popular international study programs, a hallmark of our unique offering that prospective students know us for. But cutting the marketing budget would be a terrible idea; after all, our unique international programs cannot attract prospective students if we do not properly market them.

Q. The portions highlighted in underlined play which of the following roles?

Detailed Solution for Executive Assessment Mock Test - 10 - Question 15

As you assess the argument and scan the answer choices, it should become clear that you will need to determine the dean's conclusion. A few things are important in finding that: 1) note the word "but" to begin the second sentence. Transition language like that often signifies that the author is transitioning between contextual information and her main point, so you should pay even closer attention past "but" to find the conclusion there. 2) Remember the "why test" - in order to be a conclusion, a statement must be backed up with a reason "why" it's true somewhere else in the argument.

Note that the non-underlined initial clause of that sentence "cutting the marketing budget would be a terrible idea" does have a reason why: because if you did that, students wouldn't know about these great programs. The underlined portion does not have a reason why: "our unique programs cannot attract students if we do not properly market them" is given as a fact without the rest of the argument explaining why.

From that, you should see that the second underlined portion exists to support the author's conclusion. This will narrow you down to choices "The first is a consideration that the dean agrees with; the second is support for the dean’s conclusion." and "The first is a conclusion that the dean supports; the second is evidence for that conclusion.".

From there, play the answers against each other. "The first is a consideration that the dean agrees with; the second is support for the dean’s conclusion." says that the second portion is used to support the dean's conclusion, while "The first is a conclusion that the dean supports; the second is evidence for that conclusion." says that it's evidence for "that conclusion," meaning the first underlined portion. "our unique programs cannot attract students if we do not properly market them" does support the conclusion that cutting marketing would be a bad idea (choice "The first is a consideration that the dean agrees with; the second is support for the dean’s conclusion.") but it doesn't support the idea that "we should cut unnecessary costs" (choice "The first is a conclusion that the dean supports; the second is evidence for that conclusion."). So the correct answer is "The first is a consideration that the dean agrees with; the second is support for the dean’s conclusion.".

Executive Assessment Mock Test - 10 - Question 16

Recently, motorists have begun purchasing more and more fuel-efficient economy and hybrid cars that consume fewer gallons of gasoline per mile traveled. With that trend, there has been debate as to whether we can conclude that these purchases will actually lead to an overall reduction in the total consumption of gasoline across all motorists. The answer is no, since motorists with more fuel-efficient vehicles are likely to drive more total miles than they did before switching to a more fuel-efficient car, negating the gains from higher fuel-efficiency.

Q. Which of the following best describes the roles of the portions in underline?

Detailed Solution for Executive Assessment Mock Test - 10 - Question 16

As you deconstruct the argument in this Boldface question, recognize first that the first underlined sentence is a premise, stated as a fact. Further, the beginning of the next sentence states "with that trend...," establishing that the argument will build from that fact. From here you can eliminate choices "The first states a position taken by the argument; the second introduces a conclusion that is refuted by additional evidence." and "The first is a conclusion that is later shown to be false; the second is the evidence by which that conclusion is proven false." (each of which says that the first portion is a conclusion). You can also be very skeptical of choice "The first is a premise that is later shown to be false; the second is a conclusion that is later shown to be false.": even though it correctly says that the first portion is a premise, note that it goes on to say that the argument proves that premise false. As you will see from the rest of the paragraph, the argument is concerned with attacking a conclusion drawn from that premise, but never tries to disprove the fact itself. For this reason, "The first is a premise that is later shown to be false; the second is a conclusion that is later shown to be false." is also incorrect.

As you look at the second underlined portion, note that the phrase "there has been debate as to whether we can conclude" is also direct cause for eliminating "The first is a premise that is later shown to be false; the second is a conclusion that is later shown to be false.": the second underlined portion is not the conclusion itself, but rather the introduction of the conclusion. You should see that this language matches choice "The first describes a premise that is accepted as true; the second introduces a conclusion that is opposed by the argument as a whole." perfectly, so choice "The first describes a premise that is accepted as true; the second introduces a conclusion that is opposed by the argument as a whole." is correct.

Similarly "The first is evidence that has been used to support a position that the argument as a whole opposes; the second provides information to undermine the force of that evidence." is incorrect, as the second underlined portion introduces a conclusion that could be drawn based on the first premise: it does not, as "The first is evidence that has been used to support a position that the argument as a whole opposes; the second provides information to undermine the force of that evidence." says "undermine that evidence." To the contrary, it builds upon it.

Note that the conclusion of this argument is the phrase "the answer is no," which comes right next to the explanation for that conclusion, "since motorists with more fuel-efficient vehicles..." This allows you to eliminate choice "The first is a conclusion that is later shown to be false; the second is the evidence by which that conclusion is proven false.", as the evidence for the argument's conclusion is everything beginning with "since," not the second underlined portion. Choice "The first describes a premise that is accepted as true; the second introduces a conclusion that is opposed by the argument as a whole." is correct.

Executive Assessment Mock Test - 10 - Question 17


The dark purple region on the number line above is shown in its entirety. This region is delineated by which of the following inequalities?

Detailed Solution for Executive Assessment Mock Test - 10 - Question 17

Step one: find the midpoint of the region.
The midpoint, halfway between and 20 and 90, is 55.
In other words, 20 and 90 have the same distance from 55, a distance of 35.
These endpoints are not included, but the region includes all the points that have a distance from from x = 55 that is less than 35.
Translating that into math, we get the following:

|x – 55| < 35

Executive Assessment Mock Test - 10 - Question 18

The profits of QRS company rose 10% from March to April, then dropped 20% from April to May, then rose 50% from May to June. What was the percent increase for the whole quarter, from March to June?

Detailed Solution for Executive Assessment Mock Test - 10 - Question 18

Given the foregoing discussion, it may be obvious now the trap-mistake answer is (C), which results from simply adding and subtracting the percents.
We need multipliers.

multiplier for a 10% increases = 1 + 0.10 = 1.1

multiplier for a 20% decreases = 1 – 0.20 = 0.8

multiplier for a 50% increases = 1 + 0.50 = 1.5

Now, multiply these. First, multiply (0.8) and (1.5), using the doubling & halving trick. Half of 0.80 is 0.40, and twice 1.5 is 3

(0.8) * (1.5) = (0.4) * (3) = 1.2

Now, multiply this by 1.1

1.2 * 1.1 = 1.32

Thus, the three percent changes combined produce a 32% increase. Answer = (B).

Executive Assessment Mock Test - 10 - Question 19

There are two sets of letters, and you are going to pick exactly one letter from each set.

Set #1 = {A, B, C, D, E}

Set #2 = {K, L, M, N, O, P}

What is the probability of picking a C or an M?

Detailed Solution for Executive Assessment Mock Test - 10 - Question 19

Picking an M is not disjoint with picking a C — they both could happen on the same round of the game. We have to use the generalized OR rule for this:

P(C or M) = P(C) + P(M) – P(C and M)

= 1/5 + 1/6 - 1/30
= (1 × 6) / (5 × 6) + (1 × 5) / (6 × 5) - 1/30
= 6/30 + 5/30 - 1/30
= (6 + 5 - 1) / 30
= 10/30 = 1/3

Executive Assessment Mock Test - 10 - Question 20

How many four-digit positive integers exist that contain the block 25 and are divisible by 75. (2250 and 2025 are two such numbers)?

Detailed Solution for Executive Assessment Mock Test - 10 - Question 20

What will be the form of such 4-digit numbers?

The 4-digit numbers should contain the block 25.
The required 4-digit numbers will be of the form:
a. 25_ _
b. _ 25 _
c. _ _ 25

What is the test of divisibility by 75?

If a number is divisible by 75, then it will be divisible by 25 and 3.

Count the number of 4-digit numbers for three possiblities

a. Numbers of the form 25 _ _ that are divisible by 75
A number of the form 25_ _ is divisible by 25 if its rightmost 2 digits are 00, 25, 50, or 75.

Check which of these numbers are also multiples of 3
Only one number, 2550 satisfies the condition.

b. Numbers of the form _ 25 _ that are divisible by 75
A number of the form _ 25 _ is divisible by 25 if its unit digit is 0.
The 4-digit number will be of the form _ 250

What options exist for the left most digit so that the number is also divisible by 3?
The sum of the right most 3 digits of the number = 2 + 5 + 0 = 7.
If the first digit is 2 or 5 or 8, the sum of the 4 digits will be divisible by 3.
There are three 4-digit numbers that match the form _ 25 _ and are divisible by 75.

c. Numbers of the form _ _ 25 that are divisible by 75
All numbesr of the form _ _ 25 is divisible by 25.

What options exist for the first 2 digits so that the number is also divisible by 3?
We already have a 2 and 5 whose sum is 7. 7 is a multiple of 3 plus 1.
We have a (3k + 1) with us. If we add a (3m + 2), the sum will be 3(k + m) + 1 + 2 = 3(k + m) + 3, which is divisible by 3.
The least 2 digit number that is of the form (3m + 2) is 11.
For example, if 11 takes the 1st 2 places, the number is divisible by 3

11 is not the only such number.
All 2-digit numbers of the form (3m + 2) will work

How many are there? The largest 2-digit number that is of the form 3m + 2 is 98.
And all of these numbers are in arithmetic progression with a common difference of 3
So, apply the arithmetic progression formula to compute the nth term: 98 = 11 + (n - 1)3
3(n - 1) = 87
(n - 1) = 29
Or n = 30
30 such 4-digit numbers exist

Add the count of all three possiblities

1 + 3 + 30 = 34
34 such 4-digit numbers exist

Choice C is the correct answer.

Executive Assessment Mock Test - 10 - Question 21

A car drives for 3 hours at 40 mph and then drives 300 miles at 60 mph. What is the car’s average speed, in mph?

Detailed Solution for Executive Assessment Mock Test - 10 - Question 21

In the first leg, we know time and rate, so find distance: D = RT = (3)*(40) = 120 miles.
In the second leg, we know distance and rate, so find time: T = R/D = 300/60 = 5 hours.
Total distance = 120 + 300 = 420 miles. Total time = 3 + 5 = 8.
Average velocity = 420/8 = 210/4 = 105/2 = 52.5 mph.

Executive Assessment Mock Test - 10 - Question 22


If |x| < 20 and |x – 8| > |x + 4|, which of the following expresses the allowable range for x?

Detailed Solution for Executive Assessment Mock Test - 10 - Question 22

Some folks might think this involves a sophisticated calculation, but much of this can be done with simple spatial analysis. Look at the second inequality, the more complicated one: |x – 8| > |x + 4|. All this says is that we are looking for points such that the distance to x = 8 is greater than the distance from x = –4; in other words, we want all the points that are closer to x = –4 and farther from x = 8.

The midpoint between x = –4 and x = 8 is the point x = 2. This point is not included because it’s equidistant from both points, but everything to the left of this point on the number line is closer to x = –4 than it is to x = 8. That entire complicated inequality simplifies to x < 2.

Combine that with the first inequality, |x| < 20, which in the negative realm means that x must be greater than –20. Thus, the allowed region is –20 < x < 2.

Answer = (B)

Executive Assessment Mock Test - 10 - Question 23

In a certain game, you pick a card from a standard deck of 52 cards. If the card is a heart, you win. If the card is not a heart, the person replaces the card to the deck, reshuffles, and draws again. The person keeps repeating that process until he picks a heart, and the point is to measure: how many draws did it take before the person picked a heart and won? What is the probability that one will have at least three draws before one picks a heart?

Detailed Solution for Executive Assessment Mock Test - 10 - Question 23

A full deck of 52 cards contains 13 cards from each of the four suits. The probability of drawing a heart from a full deck is 1/4.  Therefore, the probability of “not heart” is 3/4.

P(at least three draws to win) = 1 – P(win in two or fewer draws)

Furthermore,

P(win in two or fewer draws) = P(win in one draw OR win in two draws)

= P(win in one draw) + P(win in two draws)

Winning in one draw means: I select one card from a full deck, and it turns out to be a heart. Above, we already said: the probability of this is 1/4.

P(win in one draw) = 1/4

Winning in two draws means: my first draw is “not heart”, P = 3/4, AND the second draw is a heart, P = 1/4. Because we replace and re-shuffle, the draws are independent, so the AND means multiply.

P(win in two draws) = (3/4) * (1/4) = 3/16

P(win in two or fewer draws) = P(win in one draw) + P(win in two draws)

= 1/4 + 3/16 = 7/16

P(at least three draws to win) = 1 – P(win in two or fewer draws)

= 1 – 7/16 = 9/16

Answer = B

Executive Assessment Mock Test - 10 - Question 24

Bert and Rebecca were looking at the price of a condominium.  The price of the condominium was 80% more than Bert had in savings, and separately, the same price was also 20% more than Rebecca had in savings.  What is the ratio of what Bert has in savings to what Rebecca has in savings.

Detailed Solution for Executive Assessment Mock Test - 10 - Question 24

The trap answer here would be to take the ratio of 80% and 20% — those don’t represent actually amounts that other person has, just the differences between amounts owned and the cost of the condo.  Think of this in terms of multipliers.  Use the variables:

B = amount Bert has in savings

R = amount Rebecca has in savings

P = price of the condominium

Then in terms of multipliers, the information given tells us that P = 1.8 * B, and P = 1.2 * R. Set these equal.

1.8 * B = 1.2 * R

Executive Assessment Mock Test - 10 - Question 25

There are two sets of letters, and you are going to pick exactly one letter from each set.
Set #1 = {A, B, C, D, E}
Set #2 = {K, L, M, N, O, P}

There are these two sets of letters, and you are going to pick exactly one letter from each set.  What is the probability of picking at least one vowel?

Detailed Solution for Executive Assessment Mock Test - 10 - Question 25

P(at least one vowel) = 1 – P(no vowels)

The probability of picking no vowel from the first set is 3/5. The probability of picking no vowel from the second set is 5/6. In order to get no vowels at all, we need no vowels from the first set AND no vowels from the second set. According to the AND rule, we multiply those probabilities.

P(no vowels) = (3/5) * (5/6) = 1/2

P(at least one vowel) = 1 – P(no vowels) = 1 – 1/2 = 1/2

Answer = C

Executive Assessment Mock Test - 10 - Question 26

Susan invited 13 of her friends for her birthday party and created return gift hampers comprising one each of $3, $4, and $5 gift certificates. One of her friends did not turn up and Susan decided to rework her gift hampers such that each of the 12 friends who turned up got $13 worth gift certificates. How many gift hampers did not contain $5 gift certificates in the new configuration?

Detailed Solution for Executive Assessment Mock Test - 10 - Question 26

Key Data:

Total dollar value of all gift certificates in the initial configuration : 13 hampers × 12 dollars = $156
Total dollar value of all gift certificates in the new configuration = 12 hampers × 13 dollars = $156
No change in total value of gift certificates.

Susan started with 13 hampers.
So, she has 13 of $3, 13 of $4, and 13 of $5 certificates.

Key Question: What are the possible combination of certificates in the new hampers?

In the new configuration, $13 can be achieved as follows: {3, 3, 3, 4}, {4, 4, 5}, and {5, 5, 3}
The hampers that contain the configuration {3, 3, 3, 4} will not have $5 certificates.

Assign Variables and Frame Linear Equations

Let Susan make x hampers of {3, 3, 3, 4}, y hampers of {4, 4, 5}, and z hampers of {5, 5, 3}.
The answer to ‘x’ is the answer to the question.

Number of $3 certificates will be 3x + z = 13 ....(1)
Number of $4 certificates will be x + 2y = 13 ....(2)
Number of $5 certificates will be y + 2z = 13 ....(3)

Solve the 3 Equations

Multiply (3) by 2: 2y + 4z = 26
Subtract (2) from (3) × 2
2y + 4z = 26
-x - 2y = -13
------------------
4z – x = 13 ....(4)
------------------

Multiply (1) by 4: 12x + 4z = 52
Subtract (4) and (1) × 4
12x + 4z = 52
-4z + x = -13
----------------
13x = 39
-----------------
Or x = 3

'x' is the number of gift hampers without $5 certificates.
As x = 3, three gift hampers did not contain $5 gift certificates.

Choice D is the correct answer.

Executive Assessment Mock Test - 10 - Question 27

A candy store sells 50 types of candies, each type costing one dollar per candy. No customer is sold more than one candy. The store accepts only one-dollar bills or green tokens issued by the store. Each token costs two dollars. If a customer buys one candy with a token, a one-dollar bill is returned to the customer as change. Every day, at the start of the day, the store keeps exactly 300 one-dollar bills and no green tokens in its cash register.

On a particular day, 600 candies were sold. On that day, customers were twice as likely to have paid with one-dollar bills as with green tokens.

In the table, select the number of one-dollar bills and the number of green tokens present in the cash register at the end. Make only two selections, one in each column.

Executive Assessment Mock Test - 10 - Question 28

The graph shows the per share price of the stock of three companies at the end of each year between 2002 and 2011.

Based on the given information, fill in the blanks in each of the following statements.
1. Between the end of 2003 and the end of 2007, the stock of ____ experienced the greatest percent appreciation.
2. At the end of 2005, the per share price of Tetrapod, Inc. was approximately ____ times the sum of the per share prices of Quadruped Corp. and FourFeet, Ltd.

Detailed Solution for Executive Assessment Mock Test - 10 - Question 28

Between the end of 2003 and the end of 2007 the stock of Quadruped appreciated from $15.50 to $18.25. This is a 17.74% increase. The stock of Tetrapod went from $11.50 to $13.25, for a 15.22% increase. Finally, the stock of FourFeet went from $10.75 to$12.50, for a $10.75 to $12.50 increase.
At the end of 2005, the per share price of Tetrapod was $13.00, while the per share prices of Quadruped and FourFeet were $19.50 and $11, respectively, summing up to $30.50. If $13 is x times $30.50, then:
13 = x(30.50)
x = 13 / 30.50
x = 0.43

Executive Assessment Mock Test - 10 - Question 29

A small library has books on twenty different subjects, with history being the most prominent. A librarian picks 100 books for reshelving from those returned that day, all of which were borrowed over the past three weeks. Are fewer than 20% of these 100 books on history?
Statement 1: Fewer than 20 per cent of the books in the library are on history.
Statement 2: During the past three weeks, exactly 15 books on history were borrowed from the library.

Detailed Solution for Executive Assessment Mock Test - 10 - Question 29

Statement (2) reveals that only 15 of the 100 books could be on history. Calculating 15/100 gives 15%, which is less than 20%. Thus, Statement (2) alone confirms the answer. Statement (1) doesn't provide specific info about the returned books, so it's insufficient. Therefore, B is correct.

Executive Assessment Mock Test - 10 - Question 30

Window 1: News Article in Major Newspaper 

If current trends continue, 24 million men will find themselves bachelors for life by 2020. China’s “one-child policy” has had an unintended effect: the narrowing of the gene pool. Female children are aborted more than 50 percent of the time, because families want a male heir. From 2000 to 2013, the sex-ratio at birth has gradually climbed to 117:100 in favor of male births, meaning that for every 117 boys only 100 girls were born.

Window 2: Interview with Genetic Expert

The one-child policy, first put into effect in the 1980s, was designed to slow the rapid growth of the Chinese people, as that growth was causing severe overcrowding. Leaders believed the policy would protect the country’s resources and improve productivity. Unfortunately, they did not foresee that the long-held preference for male heirs would lead to a substantial gender imbalance.

Since the introduction of the policy, the fertility rate among Chinese women has dropped from just over 3 births per woman to just 1.8. It is estimated that even though the country has reduced births by roughly 50 percent, there are still 1 million more children born each week than people dying, creating a steady increase in population in spite of the law.

Window 3: Commentary on the social side effects 

The gender imbalance resulting from China’s one-child policy has produced noticeable side effects. The more severe this imbalance becomes, the more severe its social side effects will be.

The imbalance causes men who know they are unlikely to form strong family ties to become vagrants. The nation has experienced an increased crime rate that is frequently linked to a large transient population of about 80 million unmarried, low-status, adult males. These individuals are commonly willing to resort to crime to improve their situations, given they have no family ties and perceive that they have nothing to lose.

Q. Consider each of the items listed below. Select Yes if the item can be determined based on the information given in the three sources. Otherwise, select No.

Detailed Solution for Executive Assessment Mock Test - 10 - Question 30

The number of vagrants in the Chinese population: No The percent decrease in fertility rate of Chinese women since the introduction of one child policy: Yes The number of female children expected to be born in China in 2020: No

View more questions
Information about Executive Assessment Mock Test - 10 Page
In this test you can find the Exam questions for Executive Assessment Mock Test - 10 solved & explained in the simplest way possible. Besides giving Questions and answers for Executive Assessment Mock Test - 10, EduRev gives you an ample number of Online tests for practice
Download as PDF