Class 9 Exam  >  Class 9 Tests  >  High Order Thinking Skills (HOTs) - 4 - Class 9 MCQ

High Order Thinking Skills (HOTs) - 4 - Class 9 MCQ


Test Description

10 Questions MCQ Test - High Order Thinking Skills (HOTs) - 4

High Order Thinking Skills (HOTs) - 4 for Class 9 2025 is part of Class 9 preparation. The High Order Thinking Skills (HOTs) - 4 questions and answers have been prepared according to the Class 9 exam syllabus.The High Order Thinking Skills (HOTs) - 4 MCQs are made for Class 9 2025 Exam. Find important definitions, questions, notes, meanings, examples, exercises, MCQs and online tests for High Order Thinking Skills (HOTs) - 4 below.
Solutions of High Order Thinking Skills (HOTs) - 4 questions in English are available as part of our course for Class 9 & High Order Thinking Skills (HOTs) - 4 solutions in Hindi for Class 9 course. Download more important topics, notes, lectures and mock test series for Class 9 Exam by signing up for free. Attempt High Order Thinking Skills (HOTs) - 4 | 10 questions in 15 minutes | Mock test for Class 9 preparation | Free important questions MCQ to study for Class 9 Exam | Download free PDF with solutions
High Order Thinking Skills (HOTs) - 4 - Question 1

What is the unit of electrical resistance?

Detailed Solution for High Order Thinking Skills (HOTs) - 4 - Question 1
The unit of electrical resistance is the Ohm, symbolized by the Greek letter omega (Ω).
High Order Thinking Skills (HOTs) - 4 - Question 2

What is the chemical formula for table salt?

Detailed Solution for High Order Thinking Skills (HOTs) - 4 - Question 2
The chemical formula for table salt is NaCl, which stands for sodium chloride.
High Order Thinking Skills (HOTs) - 4 - Question 3

What is the acceleration due to gravity on Earth?

Detailed Solution for High Order Thinking Skills (HOTs) - 4 - Question 3
The acceleration due to gravity on Earth is approximately 9.8 meters per second squared (m/s²).
High Order Thinking Skills (HOTs) - 4 - Question 4
Which of the following is a non-renewable source of energy?
Detailed Solution for High Order Thinking Skills (HOTs) - 4 - Question 4
Coal is a non-renewable source of energy as it takes millions of years to form and cannot be replenished within a human lifespan.
High Order Thinking Skills (HOTs) - 4 - Question 5
What is the process by which plants make their food?
Detailed Solution for High Order Thinking Skills (HOTs) - 4 - Question 5
Photosynthesis is the process by which plants make their food using sunlight, carbon dioxide, and water.
High Order Thinking Skills (HOTs) - 4 - Question 6

Fill in the blanks by selecting an appropriate option.

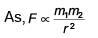
Every object in the universe attracts every other object with a force which is directly proportional to the product of their masses and (i) proportional to the (ii) of the distance between them. If an object of mass 1 kg is placed on the surface of the Earth, gravitational force of attraction between the object and the Earth is (iii) N. If two objects are of different masses and the distance between them is decreased by 10 %, then the percentage change in the gravitational force between the two objects is about (iv).

Detailed Solution for High Order Thinking Skills (HOTs) - 4 - Question 6

High Order Thinking Skills (HOTs) - 4 - Question 7

Figure shows the frictional force (F) versus displacement(s) graph for a particle in motion.
The loss of kinetic energy (work done against friction) in travelling over s1 = 10 m to s2 = 20 m will be

Detailed Solution for High Order Thinking Skills (HOTs) - 4 - Question 7

High Order Thinking Skills (HOTs) - 4 - Question 8

Read the given passage where few words are italiscised and select the correct statement regarding them.

The term cell was coined by Robert Hooke in 1665. Cells that lack a well defined nucleus and membrane bound organelles are called prokaryotic cells whereas cells that have a well defined nucleus and membrane bound organelles are called eukaryotic cells. Bacterial cells are prokaryotic cells whereas animal cells are eukaryotic cells.

Detailed Solution for High Order Thinking Skills (HOTs) - 4 - Question 8

Robert Hooke should not be replaced as it is correctly mentioned. Prokaryotic should not be interchanged with eukaryotic as they are correctly mentioned. Bacterial must not be replaced as it is correctly mentioned.

High Order Thinking Skills (HOTs) - 4 - Question 9

The given figure is of a type of plant tissue. Identify it and select the incorrect statement regarding its function.

Detailed Solution for High Order Thinking Skills (HOTs) - 4 - Question 9

The given figure is of collenchyma that is a simple permanent tissue. Sclerenchyma forms the protective covering in seeds and nuts.

High Order Thinking Skills (HOTs) - 4 - Question 10

The following figure shows the changes in the three states of matter of a substance X.


Select the incorrect statements about these changes
I. Change 1 requires a decrease in temperature and an increase in pressure and is also called sublimation.
II. Change 3 can be carried out by decreasing pressure and increasing temperature.
III. Change 2 can be brought by heating the given substance.
IV. Change 4 can be carried out in the presence of heat.

Detailed Solution for High Order Thinking Skills (HOTs) - 4 - Question 10

I - Change 1 requires an increase in temperature and a decrease in pressure, and is also known as sublimation. During sublimation, solid state is directly converted to gaseous state without coming into liquid state.
II - Change 3 depicts the conversion of gaseous state to liquid state or liquefaction of gas. Gases can be liquefied by applying pressure and reducing temperature.

Information about High Order Thinking Skills (HOTs) - 4 Page
In this test you can find the Exam questions for High Order Thinking Skills (HOTs) - 4 solved & explained in the simplest way possible. Besides giving Questions and answers for High Order Thinking Skills (HOTs) - 4, EduRev gives you an ample number of Online tests for practice
Download as PDF