Karnataka (KSP) Police Constable Exam  >  Karnataka (KSP) Police Constable Tests  >  Karnataka (KSP) Police Constable Mock Test - 2 - Karnataka (KSP) Police Constable MCQ

Karnataka (KSP) Police Constable Mock Test - 2 - Karnataka (KSP) Police Constable MCQ


Test Description

30 Questions MCQ Test - Karnataka (KSP) Police Constable Mock Test - 2

Karnataka (KSP) Police Constable Mock Test - 2 for Karnataka (KSP) Police Constable 2025 is part of Karnataka (KSP) Police Constable preparation. The Karnataka (KSP) Police Constable Mock Test - 2 questions and answers have been prepared according to the Karnataka (KSP) Police Constable exam syllabus.The Karnataka (KSP) Police Constable Mock Test - 2 MCQs are made for Karnataka (KSP) Police Constable 2025 Exam. Find important definitions, questions, notes, meanings, examples, exercises, MCQs and online tests for Karnataka (KSP) Police Constable Mock Test - 2 below.
Solutions of Karnataka (KSP) Police Constable Mock Test - 2 questions in English are available as part of our course for Karnataka (KSP) Police Constable & Karnataka (KSP) Police Constable Mock Test - 2 solutions in Hindi for Karnataka (KSP) Police Constable course. Download more important topics, notes, lectures and mock test series for Karnataka (KSP) Police Constable Exam by signing up for free. Attempt Karnataka (KSP) Police Constable Mock Test - 2 | 100 questions in 90 minutes | Mock test for Karnataka (KSP) Police Constable preparation | Free important questions MCQ to study for Karnataka (KSP) Police Constable Exam | Download free PDF with solutions
Karnataka (KSP) Police Constable Mock Test - 2 - Question 1

Which of the following statements is/are Incorrect about Rig Veda?
1. The Upaveda of Rig Veda is Gandharv Veda.
2. It is recited by Hota or Hotri priest.
3. Gayatri Mantra is taken from third Mandal of Rigveda.

Detailed Solution for Karnataka (KSP) Police Constable Mock Test - 2 - Question 1

The Upaveda of Rig Veda is Gandharv Veda is an incorrect statement.Explanation

  • Rig Veda:
    • Rig Veda is the oldest Veda dating back to 1500 to 1000 BC.
    • It is divided into 10 mandals.
    • 2-7 mandals are the oldest and are family books describe to a particular family of Rishis.
    • 8th Mandal is related to the Kanva family.
    • 9th Mandal contains the compilation of Soma Hymns.
    • 1st and 10th mandals are the latest and contain Purushsukta which defines the four varnas.
    • It is recited by Hota or Hotri Priest. Hence statement 2 is correct.
    • The Upveda of rigveda is Ayurveda. Hence, statement 1 is Not correct.
    • Gayatri Mantra is taken from the third Mandal of Rig Veda and was composed by Vishva Mitra to convert non-Aryans to Aryans. It is devoted to Sun God Savita. Hence statement 3 is correct.
    • It consists of 1028 hymns.
    • Indra is mentioned 250 times in Rigveda.
Karnataka (KSP) Police Constable Mock Test - 2 - Question 2

Who built the famous Shiva temple at Ellora?

Detailed Solution for Karnataka (KSP) Police Constable Mock Test - 2 - Question 2

The correct answer is Rashtrakuta Ruler Krishna I.
Key Points

  • Kailasha Temple Ellora
    • The Kailasha Temple is the largest of the rock-cut Hindu temples at the Ellora Caves, Maharashtra.
    • It is considered one of the most remarkable cave temples in the world because of its size, architecture and sculptural treatment, and the climax of the rock-cut phase of Indian architecture.
    • The Kailasa temple is the largest of the 34 Buddhist, Jain, and Hindu cave temples and monasteries known collectively as the Ellora Caves, ranging for over 2 kilometers along the sloping basalt cliff at the site.
    • The temple architecture shows traces of Pallava and Chalukya styles.
    • The temple contains a number of relief and free-standing sculptures on a grand scale equal to the architecture, though only traces remain of the paintings which originally decorated it.
  • Krishna I
    • Krishna I took charge of the growing Rashtrakuta Empire by defeating the last Badami Chalukya ruler Kirtivarman II in 757.
    • He is also known as Kannada or Kannesvara and took the titles Akalavarsha, Shubatunga, Prithvivallabha, and Shrivallabha.
    • He patronized the famous Jain logician Akalanka Bhatta, the author of Rajavartika.
    • He successfully fought the Western Ganga Dynasty King Sripurusha and the Shilaharas of South Konkan.
    • He was responsible for building 18 shiva temples.

Karnataka (KSP) Police Constable Mock Test - 2 - Question 3

Article 76 of the Constitution of India deals with _________.

Detailed Solution for Karnataka (KSP) Police Constable Mock Test - 2 - Question 3

The correct answer is Attorney General of India.
Explanation

  • Article 76 of the Constitution of India deals with the Attorney General of India.
  • He is appointed by the President on the advice of the Government.
  • The President of India appoints a person who is qualified for the post of Supreme Court Judge.
  • He is the highest law officer in India.
  • He is the chief legal advisor of the Government of India.

Other Related Points

Important Points

  • Advocate General of the state is the highest law officer in the state.
  • He is appointed by Governor.
  • The First Attorney General of India was M.C.Setalvad.
Karnataka (KSP) Police Constable Mock Test - 2 - Question 4

Leaning tower of PISA is located in which of the following country?

Detailed Solution for Karnataka (KSP) Police Constable Mock Test - 2 - Question 4

The correct answer is Italy.
Explanation

  • The Leaning Tower of Pisa is one of the most remarkable architectural structures from medieval Europe.
  • It is located in the Italian town of Pisa, Italy, one of the most visited European cities.
  • The Tower of Pisa stands at a height of 60 meters and until 1990 it was leaning at about of 10-degree angle.
  • The tower of Pisa consists of eight stories buildings, including the chamber for the bells.
  • With 207 columns ranging around eight stories, the Tower of Pisa looks like a massive wedding cake knocked precariously askew by a clumsy giant guest.

Leaning tower of Pisa: the bell tower ...

Karnataka (KSP) Police Constable Mock Test - 2 - Question 5

What significant challenge does the Enforcement Directorate (ED) face regarding the Prevention of Money Laundering Act (PMLA)?

Detailed Solution for Karnataka (KSP) Police Constable Mock Test - 2 - Question 5

The Enforcement Directorate has initiated numerous cases under the PMLA but has achieved a low conviction rate, highlighting the challenges in securing successful prosecutions. This situation raises concerns regarding the effectiveness of the PMLA and the need for improved enforcement mechanisms to combat money laundering effectively.

Karnataka (KSP) Police Constable Mock Test - 2 - Question 6

The Rhisotope Project aims to address which critical issue?

Detailed Solution for Karnataka (KSP) Police Constable Mock Test - 2 - Question 6

The Rhisotope Project is focused on preventing rhino poaching by making rhino horns traceable and unsuitable for illegal trade. By injecting a radioisotope into the horns, the project aims to deter poaching by ensuring that these horns can be detected and rendered toxic for illegal human consumption, thereby protecting the species.

Karnataka (KSP) Police Constable Mock Test - 2 - Question 7

In which state is the world's largest Ramayan temple, Viraat Ramayan Mandir, being constructed?

Detailed Solution for Karnataka (KSP) Police Constable Mock Test - 2 - Question 7

The correct answer is Bihar.
Explanation

  • The Viraat Ramayan Mandir is being constructed in East Champaran district of Bihar.
  • Once completed, it will be three times bigger than the Ram Mandir in Ayodhya.
  • The temple will be built at a cost of ₹500 crore and will feature the world's largest shivling.
  • The architecture of the temple is inspired by the Angkor Wat in Cambodia, the Ramanathaswamy temple in Rameswaram, and the Meenakshi Sundareswarar temple in Madurai.

Other Related Points

  • Uttar Pradesh: Known for the Ram Mandir in Ayodhya but not related to the Viraat Ramayan Mandir.
  • Tamil Nadu: Houses the Ramanathaswamy temple in Rameswaram but not related to the Viraat Ramayan Mandir.
  • Madhya Pradesh: Not mentioned in the context of the Viraat Ramayan Mandir construction.
Karnataka (KSP) Police Constable Mock Test - 2 - Question 8

What are the potential consequences of ethanol blending in fuel, according to recent discussions?

Detailed Solution for Karnataka (KSP) Police Constable Mock Test - 2 - Question 8

The potential consequences of ethanol blending in fuel include reduced mileage and potential vehicle damage. Ethanol is known to have a lower energy content compared to petrol, which can lead to increased fuel consumption and may cause corrosion in vehicles not designed for higher ethanol blends.

Karnataka (KSP) Police Constable Mock Test - 2 - Question 9

Ao tribe of Nagaland has one special festival which is celebrated after seeds have been sown in the fields. What is the name of the festival?

Detailed Solution for Karnataka (KSP) Police Constable Mock Test - 2 - Question 9

 The correct answer is Moatsu Festival.

Explanation

  • The Ao tribe of Nagaland has one such special festival, known as the Moatsu festival.
  • This festival is celebrated after seeds have been sown in the fields.
  • Men and women of the tribe gather around large outdoor fires and perform traditional dances.

Mistake Points

  • Aoleang Festival is one of the essential harvest festivals in Nagaland.
  • The festival is primarily celebrated by the people of the Konyak tribe in Nagaland.
  • It occurs after the harvest of new seeds in the fields of the tribal people, and it also welcomes the new year during spring.

Other Related Points

  • Some important festivals of Northeastern states are:

Karnataka (KSP) Police Constable Mock Test - 2 - Question 10

Vaishali was the capital of which of the following Mahajanapadas?

Detailed Solution for Karnataka (KSP) Police Constable Mock Test - 2 - Question 10

 The correct answer is Vajji.
Important Points

  • Vaishali was the capital of Vajji Mahajanapada.
  • The kingdom was situated in Bihar to the north of the river Ganga.
  • It covered the districts of Vaishali and Muzaffarpur in Bihar.

Other Related Points

Karnataka (KSP) Police Constable Mock Test - 2 - Question 11

Financial emergency provisions of the Indian Constitution have been borrowed from ___________.

Detailed Solution for Karnataka (KSP) Police Constable Mock Test - 2 - Question 11

The correct answer is the Constitution of Germany.
Explanation

  • Article 360 of the Indian Constitution deals with Financial Emergency.
  • The constitutions of Germany and India both specifically mention emergency provisions.
  • Both the houses of Germany and India must vote by a two-thirds majority to declare a national emergency, after which the president of each nation issues a proclamation.
  • While the United States has both national and financial emergencies.
  • The provision of financial emergency has been borrowed from the Constitution of Germany.
  • The constitutions of Germany and India have both national and state emergencies.

Other Related Points

  • The President of India has the authority to declare three types of emergencies:
    • National Emergency (Article 352),
    • State Emergency or President rule (Article 356)
    • Financial Emergency (Article 360)
    • No Financial Emergency has been declared so far, though there was a financial crisis in 1991.
  • Article 20: (Protection in respect of conviction for offenses) &
  • Article 21: (Protection of life and personal liberty) cannot be suspended during a national emergency.
Karnataka (KSP) Police Constable Mock Test - 2 - Question 12

During which five year plan did India opt for a mixed economy?

Detailed Solution for Karnataka (KSP) Police Constable Mock Test - 2 - Question 12

The correct answer is Second Five Year Plan.
Explanation

  • Second Five-year plan (1956 to 1961)
    • The second plan was conceived in an atmosphere of economic stability.
    • It was felt agriculture could be accorded lower priority.
    • Industries got more importance in the 2nd five-year plan. The focus was mainly on heavy industries.
    • The Indian government boosted the manufacturing of industrial goods in the country.
    • This was done primarily to develop the public sector.
    • The Plan Focussed on rapid industrialization- heavy & basic industries.
    • Advocated huge imports through foreign loans.
    • Therefore, the Indian Government adopted a mixed economy during the second five-year plan. Hence, Option 2 is correct.
    • The Industrial Policy 1956 was based on the establishment of a socialistic pattern of society as the goal of economic policy.
    • Acute shortage of forex led to pruning of development targets, the price rise was also seen ( about 30%) vis a vis decline in the earlier Plan & the 2nd FYP was only moderately successful.

Important Points

  • The 2nd year five-year plan functioned based on the Mahalanobis model.
  • The Mahalanobis model was propounded by the famous Prasanta Chandra Mahalanobis in the year 1953.
  • As many as five steel plants including the ones in Durgapur, Rourkela ,Bhilai were set up as per the 2nd five-year plan.
  • During the term of the 2nd five-year plan, Atomic Energy Commission came into being.
  • The Commission was established in the year 1957.
  • During the same period, the Tata Institute of Fundamental Research was born.

Other Related Points

  • First Five Year Plan:
    • It was launched from 1951 to 1956, under the leadership of Jawaharlal Nehru.
    • It was based on the Harrod-Domar model with a few modifications.
    • Its main focus was on the agricultural development of the country.
    • This plan was successful and achieved a growth rate of 3.6% (more than its target of 2.1%).
    • At the end of this plan, five IITs were set up in the country.
  • Third Five Year Plan:
    • It was made from 1961 to 1966.
    • It is also called ‘Gadgil Yojna’, after the Deputy Chairman of Planning Commission D.R. Gadgil.
    • The target of this plan was to make the economy independent.
    • The stress was laid on agriculture and the improvement in the production of wheat.
    • India was engaged in two wars: (1) the Sino-India war of 1962 and (2) the Indo-Pakistani war of 1965. These wars exposed the weakness in our economy and shifted the focus to the defense industry, the Indian Army, and the stabilization of the price (India witnessed inflation).
    • The plan was a flop due to wars and drought. The target growth was 5.6% while the achieved growth was 2.4%.
  • Fourth Five Year Plan:
    • Its duration was from 1969 to 1974, under the leadership of Indira Gandhi.
    • The two main objectives of this plan i.e. growth with stability and progressive achievement of self-reliance.
    • Fourteen major Indian banks were nationalized.
    • Indo-Pakistani War of 1971 and the Bangladesh Liberation War took place.
    • Implementation of Family Planning Programmes was amongst major targets of the Plan
    • It failed and could achieve a growth rate of 3.3% only against the target of 5.7%.
Karnataka (KSP) Police Constable Mock Test - 2 - Question 13

Which of the following is an example of vector quantity?

Detailed Solution for Karnataka (KSP) Police Constable Mock Test - 2 - Question 13

 The Correct Answer is Velocity.

  • The physical quantities which are specified with the magnitude or size alone are called scalar quantities. For example, length, speed, work, mass, distance, entropy, energy, etc.
  • Vector quantities refer to the physical quantities characterized by the presence of both magnitude and direction.
    • For example, velocity, displacement, force, torque, momentum, acceleration, etc.

Karnataka (KSP) Police Constable Mock Test - 2 - Question 14
How much water (in ml) should be added to 300 ml of a 75% milk and water mixture so that it becomes a 45% milk and water mixture?
Detailed Solution for Karnataka (KSP) Police Constable Mock Test - 2 - Question 14

Given:

Mixture of milk and water = 75%

Required percentage mixture of milk and water = 45%

Volume of mixture = 300 ml

Concept used:

Concentration before mixture = Concentration after mixture

Calculation:

⇒ Let the amount of water mixed is x ml.

⇒ The concentration of milk in the initial mixture = 75%

⇒ Volume of mixture = 300 ml

⇒ Final concentration of milk = 45%

⇒ So, after adding, Volume of mixture = 300 + x

⇒ The amount of milk in the mixture is remain unchanged.

⇒ 75% × 300 = 45% × (300 + x)

⇒ 500 = 300 + x

⇒ x = 500 – 300 = 200 ml.

Hence, the amount of water mixed in the mixture is 200 ml to reduce the concentration from 75% to 45%.

Karnataka (KSP) Police Constable Mock Test - 2 - Question 15

The Bhakra Nangal dam is situated on the ______ river.

Detailed Solution for Karnataka (KSP) Police Constable Mock Test - 2 - Question 15

The correct answer is Sutlej.

Karnataka (KSP) Police Constable Mock Test - 2 - Question 16

The age of man is 4 times that of his son. 5 years ago, the man was nine times as old as his son was at that time. What is the present age of the man?

Detailed Solution for Karnataka (KSP) Police Constable Mock Test - 2 - Question 16

Given:
Ratio of present ages of man and his son = 4 : 1 .
Ratio of ages of man and his son before 5 years = 9 : 1 .
Calculation:
Let ages of man and his son 5 ys ago be 9x and x
According to question,

,

On solving equation we get, x = 3
So, 5 years ago man's age was 9 x 3 = 27 years
Present age of man = 27 + 5 =32 years
∴ The answer is 32 years .

Karnataka (KSP) Police Constable Mock Test - 2 - Question 17
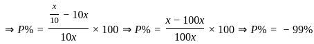
A number x is mistakenly divided by 10 instead of being multiplied by 10. The percentage error in the result is
Detailed Solution for Karnataka (KSP) Police Constable Mock Test - 2 - Question 17

Concept Used:

The formula to calculate percentage error, P%, is,

Explanation:-

Given number is x.

Number when it is divided by 10 = (x / 10)

Number, when it is multiplied by 10 = 10x

So, the percentage error

Thus, the percentage error in the result is of 99%.

Hence, the correct option is 1.

Karnataka (KSP) Police Constable Mock Test - 2 - Question 18

Which of the following is Non-Federal feature of the Indian Constitution ?

Detailed Solution for Karnataka (KSP) Police Constable Mock Test - 2 - Question 18

The correct answer is Single Constitution.
Explanation

  • Federal Government: A government in which powers are divided between the central government and state government by the constitution itself and both operate in their respective jurisdiction independently.
  • Unitary Government: A government in which all the powers are vested in the central government and if state governments exist, they derive their authority from the central government.

Important Points
Comparing Features of Federal and Unitary Governments

Karnataka (KSP) Police Constable Mock Test - 2 - Question 19
India shares its land boundaries with ___________ countries.
Detailed Solution for Karnataka (KSP) Police Constable Mock Test - 2 - Question 19

The Correct Answer is Seven.
Explanation

  • India shares its border with seven countries
    • Afghanistan and Pakistan to the North-West
    • China, Bhutan, and Nepal to the North
    • Myanmar to the far East and Bangladesh to the East.

Other Related Points

  • India is located latitudinally in the Northern Hemisphere and longitudinally in the Eastern Hemisphere.
  • India has a land frontier of 15,200 km.
  • The total length of the coastline of the mainland, Lakshadweep Islands and Andaman and the Nicobar Islands is 7,516.6 km.
  • Sri Lanka (from the South-East) and Maldives (from the South-West) are two countries with water borders.

Karnataka (KSP) Police Constable Mock Test - 2 - Question 20

Who among the following introduced the 'Doctrine of Lapse'?

Detailed Solution for Karnataka (KSP) Police Constable Mock Test - 2 - Question 20

The correct answer is Lord Dalhousie.
Explanation

  • The chief instrument through which Lord Dalhousie implemented his policy of annexation was the ‘Doctrine of Lapse’.
    • Under the Doctrine of Lapse, when the ruler of a protected state died without a natural heir, his/her state was not to pass to an adopted heir as sanctioned by the age-old tradition of the country.
  • Lord Dalhousie came to India as the Governor-General in 1848.
  • Lord Dalhousie was keen on annexing the kingdom of Avadh.

Important Points

Karnataka (KSP) Police Constable Mock Test - 2 - Question 21

Which organization is the lead agency for the Skill Impact Bonds initiative?

Detailed Solution for Karnataka (KSP) Police Constable Mock Test - 2 - Question 21

The National Skill Development Corporation (NSDC) is the lead agency for the Skill Impact Bonds initiative. Established to enhance the skill development landscape in India, the NSDC collaborates with various partners to implement programs that bridge the gap between training and employment, enhancing workforce readiness and productivity.

Karnataka (KSP) Police Constable Mock Test - 2 - Question 22

Which of the following keyboard shortcuts can be used for "change case" operation in Microsoft Power Point?

Detailed Solution for Karnataka (KSP) Police Constable Mock Test - 2 - Question 22

The correct answer is Shift + F3.
Explanation

  • Shift+F3: It is used to use the change case option where you can change the text from uppercase to lowercase or a capital letter at the beginning of every word.
  • Shift+Alt+D is used to insert the current date.
  • Shift+Alt+T: is to insert the current time.

Other Related Points

  • Shift + F5 forces the web browser to ignore its cached contents and retrieve a fresh copy of the web page into the browser.
  • Shift + F5 guarantees loading the web page's latest content.
  • In Windows or MS-DOS command line F3 will repeat the last command.
  • In Microsoft Word Shift + F3 will lowercase any highlighted text.
  • Shift+F3 will change the text in Microsoft Word from upper to lowercase or a capital letter at the beginning of every word.
Karnataka (KSP) Police Constable Mock Test - 2 - Question 23
Which of the following is an outer planet of the solar system?
Detailed Solution for Karnataka (KSP) Police Constable Mock Test - 2 - Question 23

Saturn is an outer planet of the solar system. It is the sixth planet from the sun and is known for its beautiful rings. Outer planets, also called gas giants, are primarily composed of gas and have thick atmospheres. They are located beyond the asteroid belt and include Jupiter, Saturn, Uranus, and Neptune.

Karnataka (KSP) Police Constable Mock Test - 2 - Question 24

The rearview mirrors of the vehicle should produce:

Detailed Solution for Karnataka (KSP) Police Constable Mock Test - 2 - Question 24

The correct option is 4 i.e. Diminished, virtual, and erect image.
Explanation
The rearview mirrors of the vehicle should produce diminished, virtual and erect image.

  • The mirror in the rearview is a convex mirror which provides.
  • Convex mirrors bulge outwards and provide a wide field of view.
  • Uses of Convex Mirror:
    • hallways of buildings stores, schools, hospitals.
    • Used automated teller machines as a handy security feature that allows users to see what all is happening behind them.
  • A concave mirror reflects the light falling on it to one focal point thus creating a reflective image of the object.
  • It is used in the headlights of vehicles.
  • Some uses Of Concave Mirror:
    • Shaving mirrors.
    • Head mirrors.
    • Astronomical telescopes.
    • Headlights.
    • Solar furnaces.
Karnataka (KSP) Police Constable Mock Test - 2 - Question 25

Vijay Ghat is the resting place of which of the following personalities?

Detailed Solution for Karnataka (KSP) Police Constable Mock Test - 2 - Question 25

 The correct answer is option 2 i.e., Lal Bahadur Shastri.

  • Vijay Ghat is the resting place of Late Shri Lal Bahadur Shastri.
  • Vijay Ghat is the memorial of India’s second Prime Minister Lal Bahadur Shastri.
  • Vijay means victory and his memorial was named after the victory he led India to in the 1965 war against Pakistan.
  • Lal Bahadur Shastri was elected to the legislature of the United Provinces in 1937 and 1946.

Karnataka (KSP) Police Constable Mock Test - 2 - Question 26

What does the term "flash floods" refer to in the context of Uttarkashi's recent disaster?

Detailed Solution for Karnataka (KSP) Police Constable Mock Test - 2 - Question 26

Flash floods refer to sudden and intense floods that occur within a short timeframe, often within minutes or hours. In Uttarkashi, these floods were primarily caused by sustained heavy rainfall rather than a cloudburst, illustrating the region's vulnerability to rapid and severe flooding events.

Karnataka (KSP) Police Constable Mock Test - 2 - Question 27

Who among the following is known for his work on medicine during the Gupta period?

Detailed Solution for Karnataka (KSP) Police Constable Mock Test - 2 - Question 27

The correct answer is Sushruta.
Confusion Points

  • Charaka was known to be a physician in the court of King Kanishka during the 2nd century AD.

Important Points

  • The Gupta Era (320 AD- 550 AD) considered to be the golden era of India in terms of Art, Literature, Astronomy, Medical science etc.
  • Sushruta is known for his work on medicine during the Gupta period.
  • About Sushruta:
    • Sushruta is known for his work on medicine during the Gupta period. Sushruta was the first Indian surgeon.
    • The Sushruta Samhita is a Sanskrit text on surgery.
      • The work is attributed to Sushruta, a historical physician of 6th century BCE, although the text as preserved dates to the 3rd or 4th century CE. It is one of the three foundational texts of Ayurveda (Indian traditional medicine).
    • The Sushruta Samhita, in its extant form, is divided into 186 chapters and contains descriptions of 1,120 illnesses, 700 medicinal plants, 64 preparations from mineral sources and 57 preparations based on animal sources.

Other Related Points

  • About the Gupta Era (320-550 AD):
    • The Gupta age in ancient India has been called the ‘Golden Age of India’ because of the many accomplishments in the field of arts, science, and literature that Indians made under the Guptas.
    • The affluence under the Guptas initiated a period of distinguished accomplishments in arts and sciences.
      • The Gupta Empire lasted from 320 AD to 550 AD.
    • Sanskrit literature thrived under the Guptas. Kalidasa, the great poet, and playwright were in the court of Chandragupta Vikramaditya.
      • He composed great epics such as Abhijnanashaakuntalam, Kumarasambhavam, Malavikagnimitram, Ritusamharam, Meghadootam, Vikramorvashiyam, and Raghuvamsham.
    • Vishnu Sharma of Panchatantra fame lived during this era.
    • Vishakhadatta composed Mudrarakshasa. Other philologists who contributed to the Sanskrit language include Vararuchi and Bhartrihari.
    • Aryabhatta, the great Indian mathematician and astronomer wrote Surya Siddhanta and Aryabhattiya.
      • He also gave the value of Pi.
      • He also gave the distance between earth and sun which is remarkably close to the actual value.
      1. He wrote on geometry, astronomy, mathematics and trigonometry.
    • These are some of the achievments during the Gupta Era.
Karnataka (KSP) Police Constable Mock Test - 2 - Question 28

At which of the following places is a branch of Karnataka High Court located?

Detailed Solution for Karnataka (KSP) Police Constable Mock Test - 2 - Question 28

The correct answer is Dharwad.
Explanation

  • Karnataka High Court was established in 1884.
  • The principal bench is located in Bengaluru with an additional bench in Dharwad and Kalaburgi.
  • The High Court functions out of a red-painted brick building known as the Attara Kacheri, located opposite the Vidhana Soudha.
  • The new branches were inaugurated on 4 and 5 July 2008, at Dharwad and Kalaburgi respectively. There was later demand to make both Hubballi-Dharwada and Kalaburagi benches permanent. Consequently, Hubballi-Dharwad circuit bench became a permanent bench on 25 August 2013 and Kalaburagi circuit bench became a permanent bench on 31 August 2013.

Other Related Points

  • High Courts are the highest judicial court in State.
  • There are 25 High courts in India.
  • Article 214 of the Constitution of India provides that there shall be a High Court in each State.
  • Under Article 231, Parliament has the power to establish a common High Court for two or more States.
Karnataka (KSP) Police Constable Mock Test - 2 - Question 29

Which district covers least forest area in Karnataka

Detailed Solution for Karnataka (KSP) Police Constable Mock Test - 2 - Question 29

The correct answer is Chitradurga.
Explanation

  • Chitradurga has the least forest area cover.
  • Uttar Kannada has the largest forest area cover in Karnataka.

Other Related Points

  • The total forest area of Karnataka is 43,356.47 sq. km (16740.02 sq.m)
  • Forest area covers 22.6% of the total geographical area of Karnataka.
  • Karnataka ranks 4th among the top five states in terms of increase in forest cover.
  • 60 forests of Karnataka are situated in the biodiversity hotspot of Western Ghats.
  • Karnataka has following types of forests.
    • Evergreen and Semi-evergreen Forest
    • Moist Deciduous Forest
    • Dry Deciduous Forest
    • Scrub and Thorny Forest
  • The State has Protected Areas with 5 Tiger Reserves, 30 Wildlife Sanctuaries, 15 Conservation Reserves and 1 Community Reserve.
  • Important acts
    • Karnataka Forest Act 1963,
    • Wildlife Protection Act 1972, Forest (Conservation) Act 1980,
    • Karnataka Preservation of Trees Act 1976, etc.
Karnataka (KSP) Police Constable Mock Test - 2 - Question 30

______ is the key circuit board holding the essential processing parts of a computer.

Detailed Solution for Karnataka (KSP) Police Constable Mock Test - 2 - Question 30

The correct answer is Motherboard.
Explanation

  • Motherboard: The motherboard is the main circuit board of a computer.
    • It houses the CPU, RAM, and other essential components.
    • It also provides the electrical connections by which the other components of the system communicate.

Other Related Points

View more questions
Information about Karnataka (KSP) Police Constable Mock Test - 2 Page
In this test you can find the Exam questions for Karnataka (KSP) Police Constable Mock Test - 2 solved & explained in the simplest way possible. Besides giving Questions and answers for Karnataka (KSP) Police Constable Mock Test - 2, EduRev gives you an ample number of Online tests for practice
Download as PDF