If the length of a rectangle is increased by 25% and the breadth is reduced by 33.33% then what will be the effect on its diagonal(approximately)?
The perimeter of rectangle of length 2 (x + 3) cm and breadth 2 (x + 1) cm is double the
perimeter of a square of area 225 cm2. Find the area of rectangle.
The difference between the area of a circle and the area of the rectangle is 394.94 cm2. If the length of rectangle is 25% more and breadth is 10% less than the radius of the circle, then find the perimeter of the rectangle? (Take π = 3.14)
A track of width 1.5 m is made along the inside edge of a rectangular park of dimensions 50 m and 35 m. What is the total cost of laying bricks on the track at the rate of Rs 125 per 10m2?
The sum of perimeter of a rectangle (R) and a square (S) is 210 cm. If the length and breadth of rectangle (R) is 40% more and 20% less than the side of square(S), what is the length of diagonal of rectangle (R)?
A jeweler wants to build a 1250 square meters rectangular jewellery shop. Since she has only 100 m spiky wire, she barbed only three sides of the jewellery shop letting her home wall acting as the remaining side of the shop. Find the dimension of the
jewellery shop where the spiky wires are being used?
The ratio of the breadth to the length of a rectangular field is 1 : 3. The total cost of cutting the grass of the field at the rate of Rs 6 per m2 is Rs. 8712. Find the cost of fencing the boundary of the field at the rate of Rs. 11 per m.
The ratio of area of a rectangle to that of a square is 3 : 5. If the perimeter of thesquare is 100 cm then what can be the perimeter of the rectangle if the breadth of therectangle is 66.67% more than that of length?
A cuboid of dimensions 15 m x 20 m x 18 m was painted from inside as well as outside at the rate of 5 paisa per sq. m. If the cuboid was made of metal of negligible thickness then how much money will be required (In Rupees) to paint the cuboid for inside as well as outside?
In a parallelogram shaped field, one of its side is 15 meters and the length of the perpendicular distance between the opposite sides is 16 m. In the field, if wheat seeds were to sow at the rate of Rs. 15 per sq. meter, then how much money will be needed
to sow wheat seeds in the field?
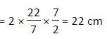
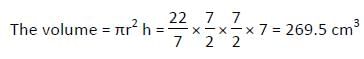
The height of a cylindrical shaped wood is 15 cm less than its circumference of the base and the curved surface area is 154 cm2 , then what is the volume (in cm3) of the cylinder shaped wood?
Sum of the volume of a cylinder and a cone is 2190π cm2. The radius of both cylinder and cone is same i.e., 10 cm. If the height of cone is 15 cm, then find the ratio of height of cylinder to height of cone?
A triangular field has to be fenced with iron wire. The cost of fencing is Rs.15 per meter. If the sum of lengths of two of the three sides of the triangular field is 25 meters, then which of the following cannot be the cost of fencing the field?
Area of a circle is 616 cm2 breadth of Rectangle is half than the radius of the Circle. The length of rectangle is 37.5% of the perimeter of Rectangle. If the side of a square is double the length of rectangle, then find the area of square.