MP Police SI Exam  >  MP Police SI Tests  >  MP Police SI (Technical) Mock Test - 1 - MP Police SI MCQ

MP Police SI (Technical) Mock Test - 1 - MP Police SI MCQ


Test Description

30 Questions MCQ Test - MP Police SI (Technical) Mock Test - 1

MP Police SI (Technical) Mock Test - 1 for MP Police SI 2025 is part of MP Police SI preparation. The MP Police SI (Technical) Mock Test - 1 questions and answers have been prepared according to the MP Police SI exam syllabus.The MP Police SI (Technical) Mock Test - 1 MCQs are made for MP Police SI 2025 Exam. Find important definitions, questions, notes, meanings, examples, exercises, MCQs and online tests for MP Police SI (Technical) Mock Test - 1 below.
Solutions of MP Police SI (Technical) Mock Test - 1 questions in English are available as part of our course for MP Police SI & MP Police SI (Technical) Mock Test - 1 solutions in Hindi for MP Police SI course. Download more important topics, notes, lectures and mock test series for MP Police SI Exam by signing up for free. Attempt MP Police SI (Technical) Mock Test - 1 | 100 questions in 120 minutes | Mock test for MP Police SI preparation | Free important questions MCQ to study for MP Police SI Exam | Download free PDF with solutions
MP Police SI (Technical) Mock Test - 1 - Question 1

If a certain amount doubles itself in 5 years at simple interest then find the rate of interest per annum at which the sum was invested?

Detailed Solution for MP Police SI (Technical) Mock Test - 1 - Question 1

Given:

Time = 5 years

SI = 

Where P is principal, R is rate of interest and T is time.

Sum doubles itself:

So, SI = 2P – P = P

⇒ P = 

⇒ R = 20%

So, rate of interest = 20%

MP Police SI (Technical) Mock Test - 1 - Question 2

In RNA, thymine is replaced by__________.

Detailed Solution for MP Police SI (Technical) Mock Test - 1 - Question 2

In RNA (Ribonucleic acid), thymine is replaced by uracil.

This ribonucleic acid acts as a template for the synthesis of proteins, where it transforms the genetic material from the genes to protein synthesis components, to form the amino acids.The nitrogenous bases are purines and pyrimidines. The purines are adenine and guanine. The pyrimidines are thymine and cytosine. In RNA, the thymine is replaced by uracil. Uridylic acid is formed by the combination of uracil as a nitrogenous base, ribose sugar, and triphosphate. It is mainly found in RNA. It is an ester of phosphoric acid with the nucleoside uridine.

MP Police SI (Technical) Mock Test - 1 - Question 3

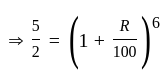
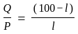
The meter bridge works on the principle of:

Detailed Solution for MP Police SI (Technical) Mock Test - 1 - Question 3

The meter bridge works on the principle of Balanced Wheatstone bridge and the length of conductor is directly proportional to the resistance.

Wheatstone Bridge: In the below diagram, BD is Wheatstone Bridge when there is no current across it. This happens when:

Meter Bridge: It is an electrical instrument used to measure an unknown resistance.

It works on two principles, one is Wheatstone Bridge, and the other is 'direct proportionality relationship between length and resistance of a wire.'

Working of meter Bridge: AC is long resistance wire 100 cm long. Varying the position of tapping point B, the bridge is balanced.

Bridge Balanced means the galvanometer is showing zero resistance and the condition satisfying Wheatstone Bridge.

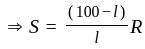
If B is the balanced position of bridge AB = l, BC (100 – l) so that,

Also, by condition of Wheatstone Bridge

Here, S is unknown resistance that can be measured with the help of the meter bridge. 

Therefore, we can say that the meter bridge works on the principle of Wheatstone Bridge and direct proportionality relationship between length and resistance of a wire.

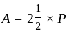
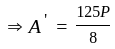
MP Police SI (Technical) Mock Test - 1 - Question 4

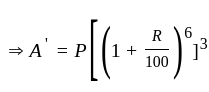
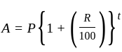
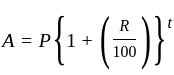
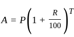
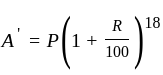
A sum of Rs. was borrowed at percent compound interest p.a. What is the amount payable after years?

Detailed Solution for MP Police SI (Technical) Mock Test - 1 - Question 4

Given:

Principal (P) Rs.

Rate of Interest (R)

Time (t) years

Formula:

According to the question,

The amount payable after years,

Rs.

The amount payable after years is Rs. .

MP Police SI (Technical) Mock Test - 1 - Question 5

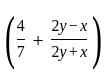
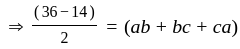
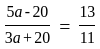
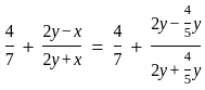
If and , find the value of is:

Detailed Solution for MP Police SI (Technical) Mock Test - 1 - Question 5

Given :

Calculations:

Multiply the numerator and denominator by 2

We know that,

Putting the given value of and

The value of is 3 .

MP Police SI (Technical) Mock Test - 1 - Question 6

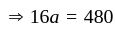
A sum of money becomes 5 times at simple interest in 16 years. What is the rate of interest?

Detailed Solution for MP Police SI (Technical) Mock Test - 1 - Question 6

Given:

The Sum of money becomes 5 times of itself in 16 years

(i)

Where principal

rate

time

(ii)

Where, Amount

simple interest

Let the principal be .

For 16 years,

The rate of interest is .

MP Police SI (Technical) Mock Test - 1 - Question 7

Which of the following can be used as the halide component for Friedel-Crafts reaction?

Detailed Solution for MP Police SI (Technical) Mock Test - 1 - Question 7

Friedel-Craft reaction is carried out by the generation of a carbocation but in chlorobenzene, bromobenzene, chloroethene, lone pair of halogen are delocalized with π bonds to attain double bond character. According to the Friedel-Crafts reaction, Isopropyl chloride can be used as the halide component.

MP Police SI (Technical) Mock Test - 1 - Question 8

Most abundant organic compound on earth is _______________.

Detailed Solution for MP Police SI (Technical) Mock Test - 1 - Question 8

The compounds that contain carbon are known as organic compounds. Most abundant organic compound on earth is cellulose.

Carbohydrates are grouped into monosaccharides, disaccharides and polysaccharides. Cellulose, a storage form of carbohydrate found in plants that humans cannot digest, is among the most plentiful of the carbohydrates worldwide. Cellulose is a polymer of linear polysaccharide, with several monosaccharide glucose units. The acetal linkage is beta which distinguishes it from starch. Human beings are unable to digest cellulose because there are no sufficient enzymes for breaking down beta-acetal linkages.

MP Police SI (Technical) Mock Test - 1 - Question 9

Which of the following complex is in which organic ligand is having only bond with metal?

Detailed Solution for MP Police SI (Technical) Mock Test - 1 - Question 9

is the only $\sigma$-donor ligand while are -acceptor ligands.

MP Police SI (Technical) Mock Test - 1 - Question 10

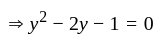
What is the value of ?

Detailed Solution for MP Police SI (Technical) Mock Test - 1 - Question 10

Let,

By comparing the equation y2 - 2y - 1 = 0 with the standard quadratic equation ax2 + bx + c = 0. We get, a = 1, b = -2 and c = - 1

So,

MP Police SI (Technical) Mock Test - 1 - Question 11

A sum of money becomes times in 6 years when invested at compound interest. How many times does the sum become when it is invested for 18 years?

Detailed Solution for MP Police SI (Technical) Mock Test - 1 - Question 11

Given-

A sum of money becomes times in 6 years when invested at compound interest.

Let the sum

Amount

Time years

According to the formula-

where is rate

-------- EQUATION (1)

When the sum of money is invested for years,

New amount

From EQUATION (1),

The sum of money becomes times when it is invested for years.

MP Police SI (Technical) Mock Test - 1 - Question 12

Enzymes having slightly different molecular structure but performing identical activity are __________.

Detailed Solution for MP Police SI (Technical) Mock Test - 1 - Question 12

Enzymes having slightly different molecular structure but performing identical activity are isoenzymes. Isoenzymes refer to those enzymes from different genes that process or catalyse the same reaction. Isoenzyme of an enzyme differ from each another in their amino acid sequence, molecular weight, immunological and electrophoretic behaviours. The presence of isozymes helps in the process of metabolism which is required for the purpose of meeting the particular needs of a biological function.

MP Police SI (Technical) Mock Test - 1 - Question 13

If two dice are thrown, then what is the probability that the sum of the faces of dice are prime?

Detailed Solution for MP Police SI (Technical) Mock Test - 1 - Question 13

The sum may be 2, 3, 5, 7, 11

⇒ 2 can be obtained in 1 way = (1, 1)

⇒ 3 can be obtained in 2 ways = (1, 2), (2, 1)

⇒ 5 can be obtained in 4 ways = (1, 4), (2, 3), (3, 2), (4, 1)

⇒ 7 can be obtained in 6 ways = (1, 6), (2, 5), (3, 4), (4, 3), (5, 2), (6, 1)

⇒ 11 can be obtained in 2 ways = (5, 6), (6, 5)

∴ Total favorable ways = 1 + 2 + 4 + 6 + 2 = 15

Total outcomes = 62 = 36

P (E)

∴ The required probability is .

MP Police SI (Technical) Mock Test - 1 - Question 14
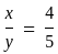
Two people and had money in the ratio . When gave to then the ratio became . How much money did have initially?
Detailed Solution for MP Police SI (Technical) Mock Test - 1 - Question 14

Given-

and had money in the ratio .

Let the share of

Let the share of

According to question,

gave to .

New share of

New share of

Money which had initially

MP Police SI (Technical) Mock Test - 1 - Question 15

If the cost price of 45 masks is equal to the selling price of 30 masks, then what will be the gain or loss percentage?

Detailed Solution for MP Police SI (Technical) Mock Test - 1 - Question 15

Given:

The cost price of 45 masks = Cost price of 30 masks

Formula used:

Profit = Selling price - Cost price

Profit percentage

Let the cost price be CP.

Let the selling price be SP.

Profit

Profit percentage

The gain percentage is .

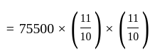
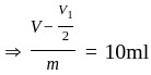
MP Police SI (Technical) Mock Test - 1 - Question 16

The area of a rectangle is m. If one of its sides is m, then the perimeter of rectangle is:

Detailed Solution for MP Police SI (Technical) Mock Test - 1 - Question 16

Given,

The area of a rectangle is m.

One side is m.

As we know,

Area of Rectangle Length breadth

Substituting the given value, we get,

breadth

breadth

breadth

m breadth

As we know,

Perimeter of rectangle

On substituting the value we get,

Perimeter of rectangle

Or

Perimeter of rectangle m

So, the perimeter of rectangle is m.

MP Police SI (Technical) Mock Test - 1 - Question 17

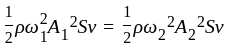
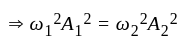
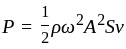
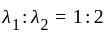
Two sound waves traveling in the same direction, if the ratio of the average power and wavelength transmitted by both the waves is , then the ratio of the amplitude of the pressure is ____.

Detailed Solution for MP Police SI (Technical) Mock Test - 1 - Question 17

Given:

Average power transmitted, ,

Wavelength,

The average power is given by,

Since the average power transmitted by two waves in a cross section is equal.

Or,

The relationship between angular frequency and wavelength is inversely proportional to each other, therefore,

From equation ,

Now, the pressure amplitude,

यहाँ,

MP Police SI (Technical) Mock Test - 1 - Question 18

Which power plant works on the basis of gravity of earth?

Detailed Solution for MP Police SI (Technical) Mock Test - 1 - Question 18
The hydropower plants work on the basis of the gravity of the earth. Hydropower plants are used for generating electricity by constructing the dams.
MP Police SI (Technical) Mock Test - 1 - Question 19

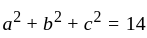
Amongst and :

Detailed Solution for MP Police SI (Technical) Mock Test - 1 - Question 19

Ni (28) and both have two unpaired electrons. and are strong field ligands and thus, unpaired electrons get paired. Thus, and are diamagnetic. While Cl as a weak field ligand, so is paramagnetic.

MP Police SI (Technical) Mock Test - 1 - Question 20

If and , then

Detailed Solution for MP Police SI (Technical) Mock Test - 1 - Question 20

Given,

and

As we know

MP Police SI (Technical) Mock Test - 1 - Question 21

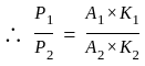
A and B borrowed the same sum of money at and respectively rate of simple interest per annum for years. B paid Rs. more interest than A. Find the sum.

Detailed Solution for MP Police SI (Technical) Mock Test - 1 - Question 21

Given:

Rate of interest at which A borrows per annum

Rate of interest at which B borrow per annum

Time years

We know that,

Simple interest

Let the sum borrowed be Rs. .

Simple interest for A

Simple interest for B

Now,

Rs.

Sum borrowed is Rs. .

MP Police SI (Technical) Mock Test - 1 - Question 22

A lottery system has ticket numbers with eight digits. There are ten first prizes of Rs. 1.00 lakh each, One hundred second prizes of Rs. 10,000 each and one thousand third prizes of Rs. 1,000 each. At the draw of lots, an eight digit number is generated by choosing for each digit from left to right a random number in the range of 0 to 8. Any one who has a ticket with the first two digits (from left to right) matching, the chosen number gets a first prize, and so on. One individual purchases a large number of tickets at a discounted price of Rs. 0.75 each. For how much money should he purchase tickets to achieve a 10% chance of winning a third prize?

Detailed Solution for MP Police SI (Technical) Mock Test - 1 - Question 22

One individual purchases a large number of tickets at a discounted price of Rs. 0.75 each. For Rs. 7,500 should he purchase tickets to achieve a 10% chance of winning a third prize.

MP Police SI (Technical) Mock Test - 1 - Question 23

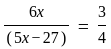
Two numbers are in the ratio of . If the first number is increased by and the second number is decreased by 27, the ratio becomes . Find the difference between numbers.

Detailed Solution for MP Police SI (Technical) Mock Test - 1 - Question 23

Given:

Ratio of numbers

Increment in number

Decrement in number

We know that,

If is distributed between and in the ratio of , then and

To convert any ratio to an exact value, we should have to multiply any constant value.

Let, numbers be and respectively.

Now, number of

number

Numbers are and

The difference of numbers

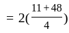
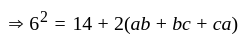
MP Police SI (Technical) Mock Test - 1 - Question 24

can do a work in days. is more efficient than will complete some work in:

Detailed Solution for MP Police SI (Technical) Mock Test - 1 - Question 24

Given:

Ratio of time taken by and

Then,

B will complete the work in days.

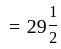
MP Police SI (Technical) Mock Test - 1 - Question 25

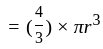
If the radius of a sphere is increased by decimetre (dm), then its surface area increases by dm. What is the volume (in dm ) of the sphere?

Take

Detailed Solution for MP Police SI (Technical) Mock Test - 1 - Question 25

Given,

The radius of a sphere is increased by decimeter (dm), then its surface area increases by dm.

As we know,

The surface area of sphere

The volume of sphere

Where radius and

according to the question,

dm

Now,

Volume

dm

The volume of the sphere is dm.

MP Police SI (Technical) Mock Test - 1 - Question 26

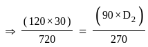
120 men consume 720 kg of rice in 30 days. In how many days can 90 men consume 270 kg?

Detailed Solution for MP Police SI (Technical) Mock Test - 1 - Question 26

Given:

120 men consume 720 kg of rice in 30 days.

Formula used :

Where,

Initial Men,

Initial day

Initial hour

Work by initial men

Final men

Final day

Final hour

Work by final men

Calculations :

Now applying the formula,

In 15 days 90 men can consume .

MP Police SI (Technical) Mock Test - 1 - Question 27

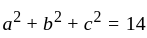
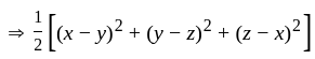
If , then the value of is:

Detailed Solution for MP Police SI (Technical) Mock Test - 1 - Question 27

MP Police SI (Technical) Mock Test - 1 - Question 28

Glycogen is a polymer of:

Detailed Solution for MP Police SI (Technical) Mock Test - 1 - Question 28

Glycogen is a polymer of glucose. Glycogen is a substance which is deposited in body tissues in the form of carbohydrates and it is broken down in the form of glucose which provides an instant source of energy to muscles by the process of glycolysis. It is accumulated in response to insulin and it is broken down into glucose in response to glucagon and it is mainly stored in the liver and the muscles. It provides the body with an instant source of energy when the blood glucose level decreases. It maintains blood glucose level and it is really important because glucose is the only fuel used by the brain virtually.

MP Police SI (Technical) Mock Test - 1 - Question 29

A box contains 100 round discs, 50 square - shaped discs and 30 triangular discs. All the discs are made up of iron and have an equal probability of getting attracted by a magnet. If a magnet which can attract only one disc in one pass and the disc is passed over them twice. What is the probability that both times a triangular disc is attracted? The disc attracted in one pass does not fall into box again, however each time a square shaped disc is kept into the box:

Detailed Solution for MP Police SI (Technical) Mock Test - 1 - Question 29

A box contains round discs, square-shaped discs and triangular discs.

Probability

Total number of discs

Total number of triangular discs

The probability that in first pass a triangular disc is attracted

The first disc is kept aside and one square disc is kept inside.

The probability that in second pass a triangular disc is attracted

Required Probability

MP Police SI (Technical) Mock Test - 1 - Question 30
In the Kjeldahl's method for estimation of nitrogen present in a soil sample, ammonia evolved from of sample neutralized of . The percentage of nitrogen in the soil is:
Detailed Solution for MP Police SI (Technical) Mock Test - 1 - Question 30

of

consumed
Acid used for the absorption of ammonia


Kjeldahl's method
of
Volume of
Volume of
given,



% of

View more questions
Information about MP Police SI (Technical) Mock Test - 1 Page
In this test you can find the Exam questions for MP Police SI (Technical) Mock Test - 1 solved & explained in the simplest way possible. Besides giving Questions and answers for MP Police SI (Technical) Mock Test - 1, EduRev gives you an ample number of Online tests for practice
Download as PDF