Civil Engineering (CE) Exam  >  Civil Engineering (CE) Tests  >  MP Vyapam Sub Engineer Civil Mock Test - 9 - Civil Engineering (CE) MCQ

MP Vyapam Sub Engineer Civil Mock Test - 9 - Civil Engineering (CE) MCQ


Test Description

30 Questions MCQ Test - MP Vyapam Sub Engineer Civil Mock Test - 9

MP Vyapam Sub Engineer Civil Mock Test - 9 for Civil Engineering (CE) 2025 is part of Civil Engineering (CE) preparation. The MP Vyapam Sub Engineer Civil Mock Test - 9 questions and answers have been prepared according to the Civil Engineering (CE) exam syllabus.The MP Vyapam Sub Engineer Civil Mock Test - 9 MCQs are made for Civil Engineering (CE) 2025 Exam. Find important definitions, questions, notes, meanings, examples, exercises, MCQs and online tests for MP Vyapam Sub Engineer Civil Mock Test - 9 below.
Solutions of MP Vyapam Sub Engineer Civil Mock Test - 9 questions in English are available as part of our course for Civil Engineering (CE) & MP Vyapam Sub Engineer Civil Mock Test - 9 solutions in Hindi for Civil Engineering (CE) course. Download more important topics, notes, lectures and mock test series for Civil Engineering (CE) Exam by signing up for free. Attempt MP Vyapam Sub Engineer Civil Mock Test - 9 | 200 questions in 180 minutes | Mock test for Civil Engineering (CE) preparation | Free important questions MCQ to study for Civil Engineering (CE) Exam | Download free PDF with solutions
MP Vyapam Sub Engineer Civil Mock Test - 9 - Question 1

Where was the first Formula One Race in India held?

Detailed Solution for MP Vyapam Sub Engineer Civil Mock Test - 9 - Question 1

The first F1 race in India was held at the Buddha International circuit in Grater Noida.

MP Vyapam Sub Engineer Civil Mock Test - 9 - Question 2

In each of the following questions, select the related word/letters/number from the given alternatives.
9143 : 9963 :: 6731 : ?

Detailed Solution for MP Vyapam Sub Engineer Civil Mock Test - 9 - Question 2

Sum of digits = 9 + 1 + 4 + 3 = 17, 9 + 9 + 6 + 3 = 27
Same as 6 + 7 + 3 + 1 = 17
now, 8 + 9 + 6 + 4 = 27

MP Vyapam Sub Engineer Civil Mock Test - 9 - Question 3

What will come in place of the question mark (?) in the following number series?
113, 225, 449, ?, 1793

Detailed Solution for MP Vyapam Sub Engineer Civil Mock Test - 9 - Question 3


Hence option A is correct.

MP Vyapam Sub Engineer Civil Mock Test - 9 - Question 4

निम्नलिखित शब्दों में किसका लिंग परिवर्तन हिन्दी भाषा में प्रचलित नहीं है?

Detailed Solution for MP Vyapam Sub Engineer Civil Mock Test - 9 - Question 4

कोयल शब्द का लिंग परिवर्तन हिन्दी भाषा में प्रचलित नहीं है। अन्य शब्दों के लिंग बदले जा सकते हैं जैसे भैंसा का स्त्रीलिंग भैंस, बहन का पुल्लिंग भाई और चाचा का स्त्रीलिंग चाची होता है, परंतु कोयल शब्द का लिंग परिवर्तन नहीं होता।

MP Vyapam Sub Engineer Civil Mock Test - 9 - Question 5

छंद कितने प्रकार के होते है ?

Detailed Solution for MP Vyapam Sub Engineer Civil Mock Test - 9 - Question 5

छंद चार प्रकार के होते हैं: मात्रिक छंद, वार्णिक छंद, वर्णवृत, मुक्तक छंद।

MP Vyapam Sub Engineer Civil Mock Test - 9 - Question 6

The property of a metal which enables it to be drawn into wires is______________.

Detailed Solution for MP Vyapam Sub Engineer Civil Mock Test - 9 - Question 6

A ductile substance can be drawn into a wire without breaking when hammered or stretched. Examples: Most metals are good examples of ductile materials, including gold, silver, copper, aluminium, etc.

MP Vyapam Sub Engineer Civil Mock Test - 9 - Question 7

The process of purification of sea water is_____?

Detailed Solution for MP Vyapam Sub Engineer Civil Mock Test - 9 - Question 7

Distillation is the process of separating the components or substances from a liquid mixture by selective evaporation and condensation. Distillation may result in essentially complete separation (nearly pure components), or it may be a partial separation that increases the concentration of selected components of the mixture. In either case the process exploits differences in the volatility of the mixture's components. In industrial chemistry, distillation is a unit operation of practically universal importance, but it is a physical separation process and not a chemical reaction.

MP Vyapam Sub Engineer Civil Mock Test - 9 - Question 8

What causes the mottling of the dental enamel ?

Detailed Solution for MP Vyapam Sub Engineer Civil Mock Test - 9 - Question 8

Dental fluorosis is a common disorder, characterized by hypomineralization of tooth enamel caused by ingestion of excessive fluoride during enamel formation.

MP Vyapam Sub Engineer Civil Mock Test - 9 - Question 9

Melting & freezing point of which substance is equal?

Detailed Solution for MP Vyapam Sub Engineer Civil Mock Test - 9 - Question 9

The melting & freezing point of ice is 0º C, due to the presence of impurities in the substance its melting & freezing point decreases.

MP Vyapam Sub Engineer Civil Mock Test - 9 - Question 10

In the following questions out of the four alternatives, choose the one which is best express the meaning of the given word.

PESTER

Detailed Solution for MP Vyapam Sub Engineer Civil Mock Test - 9 - Question 10

‘Pester’ means to ‘annoy’, or ‘harass’. Therefore, the synonym for ‘pester’ is ‘bother.’

Gratify refers to giving (someone) pleasure or satisfaction.

MP Vyapam Sub Engineer Civil Mock Test - 9 - Question 11

In the following question, a sentence is given with a blank to be filled in with appropriate word(s). Some alternatives are suggested for each question. Choose the correct alternative from the given alternatives.

Ritu asked Rashmi not to _____in her affairs.

Detailed Solution for MP Vyapam Sub Engineer Civil Mock Test - 9 - Question 11

Interfere is to obstruct.

Intercede is to interfere on some other's behalf or negotiate.

Impose refers to force (an unwelcome decision or ruling) on someone.

MP Vyapam Sub Engineer Civil Mock Test - 9 - Question 12

Which of the following is the 1's complement of 10?

Detailed Solution for MP Vyapam Sub Engineer Civil Mock Test - 9 - Question 12

For example, 2's complement of “01000” is “11000” (Note that we first find one's complement of 01000 as 10111). If there are all 1's (in one's complement), we add an extra 1 in the string. For example, 2's complement of “000” is “1000” (1's complement of “000” is “111”).

MP Vyapam Sub Engineer Civil Mock Test - 9 - Question 13

Red wavy lines under text indicates:

Detailed Solution for MP Vyapam Sub Engineer Civil Mock Test - 9 - Question 13

As you type, Word displays a wavy line under suspect text as follows: A red line indicates a possible misspelling. A green line indicates a possible grammatical error.

MP Vyapam Sub Engineer Civil Mock Test - 9 - Question 14

Shortcut Key to open a new document is:

Detailed Solution for MP Vyapam Sub Engineer Civil Mock Test - 9 - Question 14

Ctrl + N = Opens a new, blank document.

MP Vyapam Sub Engineer Civil Mock Test - 9 - Question 15

The interest on certain amount after 10 years is Rs. 800. If after 4 years the principle is doubled, what will be the interest after 10 year?

Detailed Solution for MP Vyapam Sub Engineer Civil Mock Test - 9 - Question 15

According to the given information
800 = P x R x T / 100
PR = 8000
(1) For the second case,
Interest for first 4 years = P x R x 4 / 100 = 4PR/100
Interest for the next 6 years = 2P x R x 6 / 100 = 12PR/100
Total interest = 16PR/100...... (2)
Solve equation (1) and (2)
Total interest = 16 x 8000 / 100 = Rs. 1280

MP Vyapam Sub Engineer Civil Mock Test - 9 - Question 16

Two varieties of milk are mixed in the ratio of 3:4. The price of the mixture is Rs. 30 per Liter. If the variety having lower weight is Rs. 15 per liter then find the price of other variety.

Detailed Solution for MP Vyapam Sub Engineer Civil Mock Test - 9 - Question 16

Use criss-cross method to simplify the problem

Now,
3/4 = N - 30/30 - 15 = N - 30/15 
N=41.25 per litre

MP Vyapam Sub Engineer Civil Mock Test - 9 - Question 17

A beam is hinged at end A and fixed at B. A moment M is applied at end A. What is the moment developed at end B?

Detailed Solution for MP Vyapam Sub Engineer Civil Mock Test - 9 - Question 17

As per the given information,

For end, B is fixed so the carry-over factor is 1/2.
Therefore, Moment developed at end B,
MB = 1/2 x M
⇒ MB = M/2

MP Vyapam Sub Engineer Civil Mock Test - 9 - Question 18

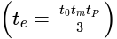
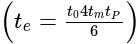
The expected time is given by:

Detailed Solution for MP Vyapam Sub Engineer Civil Mock Test - 9 - Question 18

The PERT estimate (te) is based on a formula that includes your optimistic time estimate (to), your most likely time estimate (tm) and your pessimistic time estimate (tp). The basic equation is this:

MP Vyapam Sub Engineer Civil Mock Test - 9 - Question 19

If simply supported concrete beam, prestressed with a force of 2500 kN, is designed by load and to carry a total load of 40 kN/m, the central dip of the cable profile should be:

Detailed Solution for MP Vyapam Sub Engineer Civil Mock Test - 9 - Question 19

Load Balancing concept:


(p = M/e)
(e = M/P = 500/2500)
(= 0.2m = 200mm)

MP Vyapam Sub Engineer Civil Mock Test - 9 - Question 20

Pick the incorrect statement-

Detailed Solution for MP Vyapam Sub Engineer Civil Mock Test - 9 - Question 20

For big size aggregate the total surface area to be wetted is less, also less pastle is required for lubricating the surface to reduce internal friction. Give high workability.

MP Vyapam Sub Engineer Civil Mock Test - 9 - Question 21

The Westerguard analysis is suitable for-

Detailed Solution for MP Vyapam Sub Engineer Civil Mock Test - 9 - Question 21
Stratified soils are those that are characterized by abrupt porosity changes at various depths within the potential active root zone. These changes in dimensions of the spaces between soil particles affect water and air movement and can limit the depth of the active root zone.
MP Vyapam Sub Engineer Civil Mock Test - 9 - Question 22

As per I.R.C the maximum width of a vehicle should be

Detailed Solution for MP Vyapam Sub Engineer Civil Mock Test - 9 - Question 22

The maximum width of vehicle as per IRC specifications is 2.44 m. If a single lane carriageway of width 3.8 m is provided, a side clearance of 0.68 m would be obtained.

MP Vyapam Sub Engineer Civil Mock Test - 9 - Question 23

If whole circle bearing of a line (120°) its reduced bearing is

Detailed Solution for MP Vyapam Sub Engineer Civil Mock Test - 9 - Question 23

If whole circle bearing of a line (120°) its reduced bearing is (S60°E).

Hence option B is correct.

MP Vyapam Sub Engineer Civil Mock Test - 9 - Question 24

Determination of the water content of coarse grain soil is done by-

Detailed Solution for MP Vyapam Sub Engineer Civil Mock Test - 9 - Question 24
The Pycnometer is used for determination of the specific gravity of soil particles of both fine grained and coarse grained soils. Pycnometer test is used to determine the water content in soil sample. It is used to determine specific gravity of soil. This method is use to find out the density of the soil.
MP Vyapam Sub Engineer Civil Mock Test - 9 - Question 25

Which is major pollutant present in photochemical smog?

Detailed Solution for MP Vyapam Sub Engineer Civil Mock Test - 9 - Question 25

Photochemical smog is a mixture of air pollutants which have been chemically altered into further noxious compounds by exposure to sunlight. The main components of photochemical smog are nitrogen oxides, Volatile Organic Compounds (VOCs), tropospheric ozone, and PAN (peroxyacytyl nitrate).

MP Vyapam Sub Engineer Civil Mock Test - 9 - Question 26

The minor loss due to sudden contraction is due to

Detailed Solution for MP Vyapam Sub Engineer Civil Mock Test - 9 - Question 26

Expansion of flow after sudden contraction

Head losses take place in a similar fashion as in the case of a sudden geometrical enlargement. As such, the head loss due to a sudden contraction is not caused by the contraction itself, but instead by the expansion of the cross section area of the flow right after the vena contracta.

MP Vyapam Sub Engineer Civil Mock Test - 9 - Question 27

Pozzolana is essentially a siliceous material containing clay up to

Detailed Solution for MP Vyapam Sub Engineer Civil Mock Test - 9 - Question 27

Pozzolanic material is essentially a siliceous or aluminous material which while in itself does not cementitious properties. Which in presence of water and in finely divided form reacts with calcium hydroxide, liberated in the hydration process, at ordinary temperature.

This compounds formed from reaction possesses cementitious properties.

Pozzolana material may contain clay of up to 80%.

MP Vyapam Sub Engineer Civil Mock Test - 9 - Question 28

For 100 sq. m cement concrete (1 : 2 : 4) 4 cm thick floor, the quantity of cement required is _____.

Detailed Solution for MP Vyapam Sub Engineer Civil Mock Test - 9 - Question 28

Dry volume of concrete is 154% of wet volume of concrete
The volume of concrete (wet) = 100 x 0.04 = 4 m3
Dry volume will be = 4 x 1.54 = 6.16 m3
NOw, quantity of cement will be = volume of dry concrete x cement proportion into the concrete,
= 6.16 x (1/7) = 0.88 m3

MP Vyapam Sub Engineer Civil Mock Test - 9 - Question 29

Geologic cycle for the formation of soil, is _____.

Detailed Solution for MP Vyapam Sub Engineer Civil Mock Test - 9 - Question 29

Geologic cycle for the formation of soil, is weathering → transportation → deposition → upheaval.

MP Vyapam Sub Engineer Civil Mock Test - 9 - Question 30

If the various concrete ingredients i.e. cement, sand, aggregates are in the ratio of 1:3:6, the grade of concrete is

Detailed Solution for MP Vyapam Sub Engineer Civil Mock Test - 9 - Question 30

For M10 grade of concrete, the proportion of cement, sand and aggregate is 1:3:6.

Generally M10 and M15 grades of concrete are used for leveling course, and bedding for footings.

View more questions
Information about MP Vyapam Sub Engineer Civil Mock Test - 9 Page
In this test you can find the Exam questions for MP Vyapam Sub Engineer Civil Mock Test - 9 solved & explained in the simplest way possible. Besides giving Questions and answers for MP Vyapam Sub Engineer Civil Mock Test - 9, EduRev gives you an ample number of Online tests for practice
Download as PDF