IIT JAM Exam  >  IIT JAM Tests  >  Math - 2014 Past Year Paper - IIT JAM MCQ

Math - 2014 Past Year Paper - IIT JAM MCQ


Test Description

30 Questions MCQ Test - Math - 2014 Past Year Paper

Math - 2014 Past Year Paper for IIT JAM 2025 is part of IIT JAM preparation. The Math - 2014 Past Year Paper questions and answers have been prepared according to the IIT JAM exam syllabus.The Math - 2014 Past Year Paper MCQs are made for IIT JAM 2025 Exam. Find important definitions, questions, notes, meanings, examples, exercises, MCQs and online tests for Math - 2014 Past Year Paper below.
Solutions of Math - 2014 Past Year Paper questions in English are available as part of our course for IIT JAM & Math - 2014 Past Year Paper solutions in Hindi for IIT JAM course. Download more important topics, notes, lectures and mock test series for IIT JAM Exam by signing up for free. Attempt Math - 2014 Past Year Paper | 35 questions in 90 minutes | Mock test for IIT JAM preparation | Free important questions MCQ to study for IIT JAM Exam | Download free PDF with solutions
Math - 2014 Past Year Paper - Question 1

Let f(x) = |x– 25| for all x ∈ R. The total number of points of R at which f attains a local extremum (minimum or maximum) is

Math - 2014 Past Year Paper - Question 2

The coefficient of (x – 1)2 in the Taylor series expansion of f(x) = xex (x ∈ R) about the point x = 1 is

Math - 2014 Past Year Paper - Question 3

Math - 2014 Past Year Paper - Question 4

For a, b, c ∈ R, if the differential equation (ax2 + bxy + y2)dx + (2x2 + cxy + y2)dy = 0 is exact, then

Math - 2014 Past Year Paper - Question 5

If f(x, y, z) = x2y + y2z + z2x for all (x, y, z) ∈ R3 and     then the value of

at (1, 1, 1) is

Math - 2014 Past Year Paper - Question 6

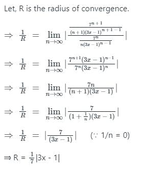
Detailed Solution for Math - 2014 Past Year Paper - Question 6

Math - 2014 Past Year Paper - Question 7

Let G be a group of order 17. The total number of non- isomorphic subgroups of G is

Detailed Solution for Math - 2014 Past Year Paper - Question 7

As 17 is a prime, and the order of a subgroup must divide the order of the group, G has only two subgroups, the unity subgroup and G itself. So the answer is 2.

Math - 2014 Past Year Paper - Question 8

Which one of the following is a subspace of the vector space R3 ?

Math - 2014 Past Year Paper - Question 9

Let T : R3 →  R3 be the linear transformation defined by T(x, y, z) = (x + y, y + z, z + x) for all (x, y, z) ∈ R3. Then

Detailed Solution for Math - 2014 Past Year Paper - Question 9



Now convert the matrix into row echlon form


Math - 2014 Past Year Paper - Question 10

Let f:  R → R be a continuous function satisfying   for all x ∈ R . Then the set 

  is the interval

Math - 2014 Past Year Paper - Question 11

Directions: Q.11 – Q.35 carry two marks each.

The system of linear equations

x – y + 2z = b1

x + 2y – z = b2

2y – 2z = b3
is inconsistent when (b1, b2, b3) equals

Math - 2014 Past Year Paper - Question 12

  be a matrix with real entries. If the sum and the product of all the eigenvalues
of A are 10 30 respectively, then a2 + b2 equals

Math - 2014 Past Year Paper - Question 13

Consider the subspace W = {(x1, x2, ..., x10) ∈ R10 : x n = xn–1 + xn–2 for 3 ≤  n ≤ 10} of the vector space R10. The dimension of W is

Math - 2014 Past Year Paper - Question 14

Let y1(x) and y2(x) be two linearly independent solutions of the differential equation

x2 y”(x) – 2xy’(x) – 4y(x) = 0 for x ∈ [1, 10].

Consider the Wronskian W(x) = y1(x)y2’(x) – y2(x)y1’(x). If W(1) = 1, then W(3) – W(2) equals

Math - 2014 Past Year Paper - Question 15

The equation of the curve passing through the point ,(π/2, 1) and having slope   at each
point (x, y) with x ≠ 0 is

Math - 2014 Past Year Paper - Question 16

The value of α ∈ R for which the curves x2 + αy2 = 1 and y = x2 intersect orthogonally is

Math - 2014 Past Year Paper - Question 17

Math - 2014 Past Year Paper - Question 18

Let {xn} be a sequence of real numbers such that    where c is a positive real number. Then then sequence {xn /n} is 

Math - 2014 Past Year Paper - Question 19

where    Then

Math - 2014 Past Year Paper - Question 20

Math - 2014 Past Year Paper - Question 21

The set all limit points of the set 

Math - 2014 Past Year Paper - Question 22

Let S = [0, 1] ∪  [2, 3) and let f : S → R be defined by 

If T = {f(x) : x ∈ S}, then the inverse function f–1 : T → S

Math - 2014 Past Year Paper - Question 23

Let f(x) = x3 + x and g(x) = x3 – x for all x ∈ R. If f–1 denotes the inverse function of f, then the derivative of the composite function g o f–1 at the point 2 is

Math - 2014 Past Year Paper - Question 24

For all (x, y) ∈ R2 , 

Then at the point (0, 0),

Math - 2014 Past Year Paper - Question 25

For all (x, y)  ∈ R2 

Math - 2014 Past Year Paper - Question 26

Let f : R →  R be a function with continuous derivative such that f ( √2 ) = 2 and f(x) = 

for all x ∈ R. Then f(3) equals

Math - 2014 Past Year Paper - Question 27

The value of   is 

Math - 2014 Past Year Paper - Question 28

If C is a smooth curve in R3 from (–1, 0, 1) to (1, 1, –1), then the value of

  is

Math - 2014 Past Year Paper - Question 29

Let C be the boundary of the region R = {(x, y) ∈ R2 : –1 ≤ y ≤ 1, 0 ≤ x ≤ 1 – y2} oriented in the counterclockwise direction. Then the value of  

Math - 2014 Past Year Paper - Question 30

Let G be a cyclic group of order 24. The total number of group isomorphism’s of G onto itself is

View more questions
Information about Math - 2014 Past Year Paper Page
In this test you can find the Exam questions for Math - 2014 Past Year Paper solved & explained in the simplest way possible. Besides giving Questions and answers for Math - 2014 Past Year Paper, EduRev gives you an ample number of Online tests for practice
Download as PDF