Civil Engineering (CE) Exam  >  Civil Engineering (CE) Tests  >  RSMSSB JE Civil Mock Test - 9 - Civil Engineering (CE) MCQ

RSMSSB JE Civil Mock Test - 9 - Civil Engineering (CE) MCQ


Test Description

30 Questions MCQ Test - RSMSSB JE Civil Mock Test - 9

RSMSSB JE Civil Mock Test - 9 for Civil Engineering (CE) 2025 is part of Civil Engineering (CE) preparation. The RSMSSB JE Civil Mock Test - 9 questions and answers have been prepared according to the Civil Engineering (CE) exam syllabus.The RSMSSB JE Civil Mock Test - 9 MCQs are made for Civil Engineering (CE) 2025 Exam. Find important definitions, questions, notes, meanings, examples, exercises, MCQs and online tests for RSMSSB JE Civil Mock Test - 9 below.
Solutions of RSMSSB JE Civil Mock Test - 9 questions in English are available as part of our course for Civil Engineering (CE) & RSMSSB JE Civil Mock Test - 9 solutions in Hindi for Civil Engineering (CE) course. Download more important topics, notes, lectures and mock test series for Civil Engineering (CE) Exam by signing up for free. Attempt RSMSSB JE Civil Mock Test - 9 | 120 questions in 120 minutes | Mock test for Civil Engineering (CE) preparation | Free important questions MCQ to study for Civil Engineering (CE) Exam | Download free PDF with solutions
RSMSSB JE Civil Mock Test - 9 - Question 1

Match the following:

Detailed Solution for RSMSSB JE Civil Mock Test - 9 - Question 1

The correct answer is A-iv, B-i, C-ii, D-i

Key Points

  • Jhanjhi-The girls' song sung during Shardiya Navratra
  • Jhujhuna-The song sung on Chhati during Birth Celebration
  • Ghoomar -The song sung on good occasions
  • Dhak -The song is sung in the Brij area on being bitten by a snake.

Important Points

  • Ghoomar
    • It is often performed on special occasions, such as at weddings, festivals, and religious occasions.
  • Bhavai Dance
    • Bhavai is a skillful and wonderful dance performance by the women balancing 6 to 7 brass or earthen pots on the head. To perform this traditional dance form needs great effort and hard work.
  • Kalbelia
    • Kalbelia dance form popularly known as “Sapera Dance” or “Snake Charmer Dance” and is also recognized by UNESCO as Intangible Cultural Heritage.
  • Chari or Pot Dance
    • Chari is a traditional dance form by the Kishangarh and Saini communities which is followed during some special occasions like festivals.
  • Kachhi Ghodi
    • Kachhi Ghodi is a famous dance form by the men representing the stories of Bandits of the Shekhawati region.
RSMSSB JE Civil Mock Test - 9 - Question 2

Which Lok Devta of Rajasthan fought with Mahmud Ghaznavi?

Detailed Solution for RSMSSB JE Civil Mock Test - 9 - Question 2

The correct answer is Gogaji.

Key Points

  • Lok devta Goga ji fought with Mahmud Ghaznavi.
  • He was awarded the title 'Jahir Peer' by Ghaznavi.
  • Gogaji was born in Dadreva (Churu).
  • He died while protecting cows.
  • He is also known as the God of Snakes.
  • Shirsh Medi - Dadreva Temple
  • Dhur Medi - Goga Medi Temple
  • Goga Medi temple was built in Makbara style.
  • Bismillah is written on the top of the main entrance of this temple.

Additional Information

RSMSSB JE Civil Mock Test - 9 - Question 3

Who among the following is called the first citizen of a State in India?

Detailed Solution for RSMSSB JE Civil Mock Test - 9 - Question 3
The correct answer is The Governor.
  • Governor comes under Article 153 to 167 Part VI of the constitution.
  • The Governor is the chief executive head of the state.

Key Points

  • The 7th Constitutional Amendment Act of 1956 facilitated the appointment of the same person as the government for two or more States.
  • He stays in the office under the pleasure of the president.

Additional Information

  • A governor must:
    • Be a citizen of India.
    • Completed 35 years of age.
    • Not be a member of either house of the parliament or the house of the state legislature.
    • Not hold any office of profit.
RSMSSB JE Civil Mock Test - 9 - Question 4
Which of the following tribes belongs to Seemalwada Tehsil of Dungarpur district?
Detailed Solution for RSMSSB JE Civil Mock Test - 9 - Question 4

The correct answer is Damor.

Key Points

  • Damor tribe in Rajasthan-
    • This tribe is originally from the state of Gujarat.
    • In Rajasthan, this tribe belongs to Seemalwada Tehsil of Dungarpur.
    • Language - Wagdi
    • They lived in a nuclear family and the father is the head of the family.
    • Secret marriage is prohibited in this tribe.
    • The smallest unit of the village - Falan
    • There are many functions in a village, the head of the function is called Mukhi.
    • Fair- Fair of Jhela Bavasi and Fair of Gyarshi at Rewari.
    • The men of this tribe are very fond of wearing jewellery.
    • Major occupations - Agriculture and animal husbandry.

Additional Information

  • Sansi tribe belongs to the Bharatpur and Jhunjhunu districts of Rajasthan.
  • Kathodi tribe belongs to Kotda, Jhadol, Sarada region of Udaipur district.
  • Sahariya tribe belongs to the Shahbad and Kishanganj tahsils of Baran district.
RSMSSB JE Civil Mock Test - 9 - Question 5
Which among the following Power Station is based on Natural Gas?
Detailed Solution for RSMSSB JE Civil Mock Test - 9 - Question 5
Anta Power Plant is a power station that is run on natural gas. It is located in the Baran district of Rajasthan and is operated by the NTPC.
RSMSSB JE Civil Mock Test - 9 - Question 6

In which year was the RUDA (Rural Non Farm Development Agency-RUDA) established?

Detailed Solution for RSMSSB JE Civil Mock Test - 9 - Question 6

The correct answer is In 1995.

  • The government of Rajasthan established the Rural Non-Farm Development Agency (RUDA) in November 1995 as an exclusive agency to promote the rural micro-enterprises in the State.

Key Points

  • RUDA (Rural Non-Farm Development Agency-RUDA)
    • RUDA (Rural Non-Farm Development Agency) was established in November 1995, by the Government of Rajasthan.
    • It is an independent agency to promote the Rural Non-Farm Sector (RNFS) in the State.
    • RUDA follows a sub-sectoral, integrated, and cluster-based approach for promoting rural micro-enterprises for rural artisans.
    • RUDA is registered under the Societies Registration Act giving it a certain autonomy and flexibility in its functioning.

Additional Information

  • The Rajasthan Small Industries Corporation Ltd.
    • Rajasthan Small Industries Corporation Limited (RSIC) was born in the year 1961 as an undertaking of the Government of Rajasthan.
    • In 1975, The Rajasthan Small Industries Corporation Limited was given the status of a public limited company.
    • It plays a major role in promoting the handicrafts produced in the state.
RSMSSB JE Civil Mock Test - 9 - Question 7
Which one center does not have a cement industry?
Detailed Solution for RSMSSB JE Civil Mock Test - 9 - Question 7

Barauni in Bihar has oil refinery.
Key Points

  • The second refinery of the country is Barauni Refinery.
  • It is in the Bihar state of India.
  • It was built in collaboration with the Soviet Union at a cost of Rs. 49.4 crores and went on stream in July, 1964.
  • It is situated 125 kilometres from Patna and was commissioned with a refining capacity of 1 million metric tonnes per annum to process Assam crude oil.
  • The refinery was dedicated to the Nation by the then Union Minister for Petroleum, Prof. Humayun Kabir on 15th January 1965.

Thus, Barauni Refinery is in the Begusarai District Bihar state of India.

RSMSSB JE Civil Mock Test - 9 - Question 8

Match the following folk instruments of Rajasthan with their category -

Detailed Solution for RSMSSB JE Civil Mock Test - 9 - Question 8

The correct answer is (a) - 3, (b) - 4, (c) - 1 (d) - 2.

Key Points

  • Ektara
    • It falls in the category of tat instruments.
    • This is an ancient musical instrument and is associated with the sage Narad.
    • The instrument made by inserting a bamboo stick into a small round pot is called Ektara.
    • There are two pegs on the bamboo to which two strings are tied, one above and the other below.
    • A part of the bottle gourd is cut and covered with goat skin.
    • Ektara is played in one hand and Khartal is played in the other hand.
    • It is played by Kalbelis, Naths sadhus, and saints.
  • Satara
    • It comes in the category of wind instruments.
    • This instrument is a combination of Algoja, Flute, and Shehnai which is made from Sheesham, Saagarvan, and Tali wood.
    • Like the algoza, it also has two long flutes.
    • Its main feature is that by closing any desired hole, the octave can be changed as per requirement.
    • This instrument is mainly played by the Langa and Meghwal castes in Jaisalmer and Barmer.
    • The first flute in Satara has 6 holes, out of which 5 are closed with wax and the second one has 6 holes.
  • noob
    • It comes in the stringed instrument category.
    • The four-foot-deep semi-oval vessel made of metal is covered with buffalo skin and tied with leather strings.
    • It is played with sticks made of acacia or rosewood.
    • Naubat was played especially at the main entrance of temples and kings' palaces.
  • khadtal
    • It comes in the category of drum instruments.
    • The word Khadtal is derived from Kartal.
    • It is made from wood of Ker and Acacia.
    • Famous artist of the Barmer region, Siddiq Khan (Magician of Khadtal) is skilled in playing Khadtal.
    • It is a folk instrument popular everywhere in India.
    • In this instrument, small brass plates are placed between two pieces of wood, which produce a melodious sound by rubbing against each other.
    • It is played with Ektara.
    • This is mainly a musical instrument of sadhus and saints.
RSMSSB JE Civil Mock Test - 9 - Question 9
According to Koppen’s classification, Jalore, Sikar, Nagaur and Jhunjhunu are included in which of the following climatic region?
Detailed Solution for RSMSSB JE Civil Mock Test - 9 - Question 9

The correct answer is Bshw.

Key Points

  • Bshw Climatic Region
    • This climatic region is semi-arid, where winters are dry and even in summers there is no sufficient amount of rainfall.
    • Vegetation is of steppe type, characterized with thorny bushes and grasses.
    • This region comprises the districts of Barmer, Jalore, Jodhpur, Nagaur, Churu, Sikar, Jhunjhunu and Hanumangarh.

Additional Information

  • The Koppen climate classification divides climates into four main climate groups in respect of Rajasthan, with each group being divided based on vegetation.
  • Bwhw Climatic Region
    • The region has an arid-hot desert climate with very scanty rainfall.
    • The process of evaporation is very active. Thus, these areas are known as a desert region, limited to western parts of Thar Desert.
    • North-western Jodhpur, Jaisalmer, western Bikaner and western parts of Ganganagar district are included in this category.
  • Aw or Tropical Humid Region
    • The southern parts of Dungarpur district and Banswara come under the region.
    • Arid tropical grasslands and Savanna like region are found along with deciduous trees of monsoon type.
    • Winter season is arid and cool whereas summers experience scorching heat.
  • Cwg Climatic Region
    • The south-eastern areas of Aravalli are part of the region.
    • Rains are limited to a few monsoon months only.
    • Seasonal winds do not bring rains to this region during winters.
RSMSSB JE Civil Mock Test - 9 - Question 10
Which one of the following incidents was called ‘dyrism double distilled’ by Mahatma Gandhi?
Detailed Solution for RSMSSB JE Civil Mock Test - 9 - Question 10

The correct answer is Neemuchana incident of May, 1925.

  • On 14th May 1925, forces opened fire on around 800 farmers gathered at Neemchuna.
    • Mahatma Gandhi considered this massacre as even extreme of Jallianwallah Bagh and termed it “Dyrism Double Distilled” in Young India.

Additional Information

  • Chandaval incident - 1942 AD
    • On March 28, 1942 AD, a member of the Lok Parishad named Mangilal invited members from nearby to Chandawal to celebrate Responsible Government Day.
    • The Thakur of this place did not allow their event and got people coming from Sojat (Pali) lathi-charged, in which many people were injured.
  • Dabda incident:
    • In protest against the repressive policies of the government, a joint session of Marwar Lok Parishad and Kisan Sabha was held on 13 March 1947 in Dabda village (Nagore) near Didwana, which was attacked by the followers of the hideout and the jagirdars.
    • Mathuradas Mathur was the main organizer of Dabra.
RSMSSB JE Civil Mock Test - 9 - Question 11

Consider the following statements related to principles of design of connections:

  1. The centre of gravity of bolts should coincide with the centre of gravity of the connected members.
  2. The length of connection should be kept as small as possible.

Which of the above statements is/are correct?

Detailed Solution for RSMSSB JE Civil Mock Test - 9 - Question 11

The center of gravity of bolts should coincide with the center of gravity of the connected members:

  • This statement is correct because ensuring that the center of gravity of the bolts aligns with the center of gravity of the connected members helps in maintaining balance and reducing the chances of eccentric loading, which could lead to unwanted moments and stresses in the connection.

The length of connection should be kept as small as possible:

  • This statement is also generally correct.
  • Keeping the length of the connection as short as possible can help reduce bending moments and shear forces within the connection

Additional InformationConnections

As per IS 800: 2007, Section 10

  • Connection elements consist of components such as cleats, gusset plates, brackets, connecting plates and connectors such as rivets, bolts, pins, and welds.
  • The connections in a structure shall be designed so as to be consistent with the assumptions made in the analysis of the structure and comply with the requirements specified in this section.
  • Connections shall be capable of transmitting the calculated design actions.
  • Where members are connected to the surface of a web or the flange of a section, the ability of the web or the flange to transfer the applied forces locally should be checked and where necessary, local stiffening provided.
  • Ease of fabrication and erection should be considered in Ihe design of connections. Attention should be paid to clearances necessary for field
    erection, tolerances, tightening of fasteners, welding procedures, subsequent inspection, surface treatment and maintenance.
  • The ductility of steel assists the distribution of forces generated within a joint. Effects of residual stresses and stresses due to tightening of fasteners and normal tolerances of fit-up need not therefore be considered in connection design, provided ductile behaviour is ensured.
RSMSSB JE Civil Mock Test - 9 - Question 12

The outlet discharge factor is the duty at the head of :

Detailed Solution for RSMSSB JE Civil Mock Test - 9 - Question 12

Duty:

  • It is the relationship between volume of water available to the area which can be irrigated for a particular crops.
  • The area which can be irrigated by 1 cumec of discharge when it is available throughout the base period is called duty of the crops.

Duty at different places:

  • As water moves downstream its duty increases.
  • Duty at the head of field is called net quantity.
  • Duty at head of water course is called outlet factor.
  • Duty at the head of branch canal is called lateral quantity.
  • Duty at the head of main canal s called gross quantity.

Net quantity > Outlet factor> Lateral quantity > Gross quantity

RSMSSB JE Civil Mock Test - 9 - Question 13

Consider the following statements:

  1. Flexibility is the ratio of change of discharge in the distributing channel to the rate of change of the discharge in the outlet.
  2. A hyper-proportional outlet is the one in which the flexibility is greater than one.
  3. A sub-proportional outlet is the one in which the flexibility is less than one.

Which of the above statements are correct?

Detailed Solution for RSMSSB JE Civil Mock Test - 9 - Question 13

(1) Flexibility is the ratio of the rate of change of discharge at an outlet to the rate of change of discharge of the distributary channel.

Flexibility, F

where,
q = discharge passing through the outlet
Q = flow rates in the distributary channels
y = depth of flow in the channel, H = Head on the outlet
m = outlet index, n = channel index

F =

F = 0 for modular outlet

F = for semi-modular channel, dy = dH

(2) Proportionality is the property of the channel and an outlet is said to be proportional when the rate of change of outlet discharge equals to the rate of change of channel discharge.

Proportionality = 1 =

Depending on the value of Flexibility, the outlet can be classified as

  • Proportional outlet (F = 1)
  • Hyper Proportional outlet (F > 1)
  • Sub Proportional outlet (F < 1)


Additional Information

(i) Sensitivity is the ratio of the rate of change of discharge through an outlet to the rate of change in the water surface level of distributary channel with respect to the normal depth of the flow in the channel.

where, S = Gauge reading

(ii) Setting is the ratio of the depth of the crest level of the module below the free surface level of the distributary channel to the full supply depth of the distributary channel.

Setting  = H/y

RSMSSB JE Civil Mock Test - 9 - Question 14

Carry-over factor CBA for the beam shown in the figure below is

Detailed Solution for RSMSSB JE Civil Mock Test - 9 - Question 14

Concept:

Carry-over factor:

  • If a moment My is applied at the end of 1 of the member, Then a specified amount of moment, Mji is generated at the further restrained end.
  • The carry-over factor (C.O.F.) is defined as, the factor by which the moment at simply supported end I, Mij, is multiplied to get the moment carried over to the other end, that is Mji is the carry-over factor.
  • Mji = COF × Mij

∑ M = 0, About the hinge

M - RB×b = 0

RB = --------- (1)

∑V = 0, R2 + RB = 0 ( No vertical load is there)

R2 = - ------- (2)

MA = ×a - M' = 0

M' = ×a--------(3)

COF = = =

Important Points

Some important results are as follows:

RSMSSB JE Civil Mock Test - 9 - Question 15

Consider the following statements in relation to given sketch :

1. Soil is partially saturated at degree of saturation = 60%
2. Void ratio = 40%
3. Water content = 30%
4. Saturated unit weight = 1.5 g/cc.

Of these statements

Detailed Solution for RSMSSB JE Civil Mock Test - 9 - Question 15

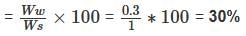
The degree of saturation is

Vw= volume of water, Vv= volume of void
S=100% for full saturated soil, S=0 % for fully dry soil

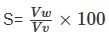
Void ratio is

Vv= volume of the void, Vs=volume of solids

0<e<infinity

Water content is

Ww= weight of water, Ww= weight of solids
There is no upper limit for water content

Saturated unit weight is

= W/V
w= weight of saturated soil, V = volume of soil

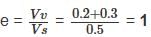
Calculation:

Given data;
The volume of air Va=0.2, Volume of water Vw =0.3, Volume of solids Vs = 0.5
Weight of water Ww = 0.3, Weight of solids Ws =1

The degree of saturation is

Void ratio is

Water content is

Saturated unit weight is
The total weight under saturated conditions would be the sum of the weight of solids and the weight of water required to fill all the voids. In this case, voids volume = 0.5 cm³, so the weight of water filling those voids would be:

= = = 1.5 g/cc

RSMSSB JE Civil Mock Test - 9 - Question 16

The purpose of _______ test is to detect the presence of uncombined lime in cement.

Detailed Solution for RSMSSB JE Civil Mock Test - 9 - Question 16

Fineness: Fineness of cement is property of cement that indicate particle size of cement and specific surface area and indirectly effect heat of hydration. The fineness of cement affects hydration rate hence the rate of strength gain. It is determined by Sieve test and Air permeability test.

Consistency: Vicat’s Apparatus is used to find out the consistency, initial setting time, and final setting time of the cement. In the normal consistency test, we have to find out the amount of water to be added to the cement to form a cement paste of normal consistency.

Initial setting time: Initial setting time of cement is regarded as the time which is measured from the addition of water up to the time it starts loosing its plasticity. Initial setting time is taken as the time required by a square needle of 1mm2 size penetrate up to the depth of 33 mm to 35 mm from the top.

Soundness: A soundness test is done to determine the uncombined lime in cement with the help of Le-chatelier apparatus. Soundness due to magnesia is determined by Autoclave apparatus.

RSMSSB JE Civil Mock Test - 9 - Question 17
Calculate the value of minimum edge distance for 20 mm diameter bolt using machine flame cut.
Detailed Solution for RSMSSB JE Civil Mock Test - 9 - Question 17

Concept:

Specification for the pitch of bolts or rivets

1. Minimum pitch and minimum gauge length

  • P = 2.5 × nominal diameter of the bolt

2. Minimum end and edge distance

  • emin = 1.5 × diameter of the bolt hole ....... (for machine cut element)
  • emin = 1.7 × diameter of the bolt hole ....... (for hand-cut element)

Calculation:

Given,

Diameter of bolt = 20 mm,

as the bolt diameter is in the range of (16 - 24) mm

Hole Dia = Bolt dia + 2 mm = 20 + 2 = 22 mm

Minimum edge Distance for machine flame cut = 1.5 × 22 = 33 mm

Additional Information

3. Maximum end and edge distance

  • emax = 12 × t × ϵ
  • Where, ϵ , fy = yield stress and t = thickness of thinner plate.

4. The maximum pitch of bolts or rivets or welds in the compression zone

Pmax = minimum { 12 × t or 200 mm } ....... (For compression zone)

Where, t = thickness of the thinner plate

5. The maximum pitch of bolts or rivets or welds in the tension zone

Pmax = minimum { 16 × t or 200 mm } ....... (For tension zone)

Where, t = thickness of the thinner plate

RSMSSB JE Civil Mock Test - 9 - Question 18
The joints which are provided parallel to the centre line of the pavement, are called
Detailed Solution for RSMSSB JE Civil Mock Test - 9 - Question 18

Concept:

The joints based on the alignment are classified as Longitudinal and transverse joints.

Longitudinal joints are joints which run along the direction of traffic or parallel to the centre line of concrete road.

Transverse joints are joints which run across the traffic flow or perpendicular to the centre line of road.

Joints in RCC Road Pavements based on their function are:

Contraction Joints: These joints are intended to control the cracks in slab that are developed due to the stresses caused by moisture-related concrete shrinkage, thermal contraction, temperature warping. They may be oriented transversely (i.e. perpendicular to the direction of traffic flow) or longitudinally (i.e. parallel to the direction of traffic flow).

Construction Joints: The joint that results from the placement of concrete next to hardened concrete without an effort to isolate the two placements, called construction joints. They may be oriented transversely between consecutive paving placements in the same lane or longitudinally i.e. between adjacent lanes of pavement placed on different days.

Expansion Joints: A joint which is constructed in new pavements to accommodate excessive slab expansion due to raise in temperature of pavement without developing any compressive stresses in the pavement that might otherwise results in joint spalling or damage to pavement. They oriented mostly in transverse direction.
RSMSSB JE Civil Mock Test - 9 - Question 19
Calculate Young's Modulus of Elasticity of a material, whose bulk modulus is 50 GPa, modulus of rigidity is 30 GPa and Poisson's ratio is 0.25.
Detailed Solution for RSMSSB JE Civil Mock Test - 9 - Question 19

Concept :

The relation between E, K, and μ

E = 2G (1 + μ)

E = 3K (1 - 2μ)

Where,

E = Young's Modulus of Rigidity = Stress / strain

G = Shear Modulus or Modulus of rigidity = Shear stress / Shear strain = 30 GPa

μ = Poisson’s ratio = - lateral strain / longitudinal strain

K = Bulk Modulus of elasticity = Volumetric stress / Volumetric strain = 50 GPa

Calculation:

E = 75 GPa

RSMSSB JE Civil Mock Test - 9 - Question 20

The failure of a material under varying load after a number of cycles of such load is known as

Detailed Solution for RSMSSB JE Civil Mock Test - 9 - Question 20

Concept:

The following table shows the different mechanical properties:

 

RSMSSB JE Civil Mock Test - 9 - Question 21

In a overhanging beam ABC, AB = L and BC = a, C being the free end. If it is subjected to a vertical load W at free end, maximum moment occurs at

Detailed Solution for RSMSSB JE Civil Mock Test - 9 - Question 21

As support A is simply supported, the moment at A will be zero.

As the nature of the moment produced by W and Rb is different, the maximum moment could be possible at B only.

The bending moment at B, MB = Wa

The bending moment at A,

The bending moment diagram is given below
From the bending moment diagram, it is clear that the maximum moment will be at B.
Additional Information
The shear force and bending moment of a simply supported beam carrying UDL.
RSMSSB JE Civil Mock Test - 9 - Question 22

In which of the following truss members the stress depends upon whether the load is moving on top chord or bottom chord?

Detailed Solution for RSMSSB JE Civil Mock Test - 9 - Question 22

Components of roof trusses are:

  1. Upper chord members: The uppermost line of members which extend from one support to the other through the apex is called the upper chord.
  2. Bottom chord members: The lowermost line of members which extend from one support to the other through the apex is called the lower chord.
  3. Web members or diagonals: The top and the bottom chord members are connected by vertical or diagonal members called web members.

In trusses simply supported at the ends, the members in the top chord are subjected to compression and the members of the bottom chord are subjected to tension. Tension members are called ties while compression members are called struts.

A roof truss will slightly deflect under a vertical or moving load. The upper chord will be under compression while the lower chord is under tension. Diagonals can either be compression or tension members depending on their inclination. Therefore, diagonals are truss members the stress depends upon whether the load is moving on the top chord or bottom chord.

RSMSSB JE Civil Mock Test - 9 - Question 23

Improper curing leads to

I. Lower compressive and flexural strengths
II. Reduced durability
III. Ingress of chlorides and atmospheric chemicals
IV. Decrease in the rate of carbonation

Which of the following option is correct?

Detailed Solution for RSMSSB JE Civil Mock Test - 9 - Question 23

Improper curing leads to

  1. The chances of ingress of chlorides and atmospheric chemicals are very high
  2. The compressive and flexural strengths are lowered
  3. The cracks are formed due to plastic shrinkage, dry shrinkage, and thermal effects
  4. The durability decreases due to a higher permeability
  5. The frost and weathering resistances are reduced
  6. The rate of carbonation increases
  7. The surfaces are coated with sand and dust and it leads to lower abrasion resistance

Note: Carbonation of concrete is a process by which carbon dioxide from the air penetrates into concrete through pores and reacts with calcium hydroxide to form calcium carbonate.

RSMSSB JE Civil Mock Test - 9 - Question 24

Let E2 and E1 represent compaction energy deployed for compacting the soil as per modified compaction test and standard test, as per IS.

Choose from the following correct ratio E2/E1:

Detailed Solution for RSMSSB JE Civil Mock Test - 9 - Question 24

Proctor test:

  • A definite relationship is established between the degree of dry density and soil moisture content
  • Compactive effort is a moisture content of mechanical energy applied to the soil mass.
  • OMC is the moisture content at which a particular soil attains maximum dry density ( MDD )
  • On increasing compactive effort, the curve shifts backward and upwards.

Type of compaction test:

Compactive effort (E) =

Where N = Number of blow per layer,n = Number of layers, W = Weight of hammer, h = Heeight of fall, V = Volume of mould

For the SPT test, Compactive energy = E1, For MPT compactive energy = E2

Hence, from the above table

= = 4.54

RSMSSB JE Civil Mock Test - 9 - Question 25
Which types of aggregates are best suitable for concrete strength and durability?
Detailed Solution for RSMSSB JE Civil Mock Test - 9 - Question 25

Concepts:

Based on gradation, the aggregates are generally classified into four types. These are:

1. Uniform Graded Aggregate:

  • It refers to a gradation that contains most of the particles in a very narrow size range.
  • Theoretically, all the particles are the same size.
  • The gradation curve is steep.

2. Open Graded Aggregate

  • In this type of gradation of aggregates, only a small percentage of aggregate particles is in the small range. This results in more air voids because there are not enough small particles to fill in the voids between the larger particles.
  • The gradation curve is near vertical in the mid-size range, and flat and near-zero in the small-size range particles.

3. Gap Graded Aggregate

· They contain only a small percentage of aggregate particles in the mid-size range.

  • The gradation curve is flat in the mid-size range.
  • Some PCC mix designs use gap-graded aggregate to provide a more economical mix since less sand can be used for a given workability.
  • They are used to obtain uniform textures in exposed aggregate concrete.

4. Dense or Well Graded Aggregate

· A dense gradation refers to a sample that is approximately equal amounts of various sizes of aggregate.

  • By having a dense gradation, most of the air voids between the materials are filled with particles.
  • It results in an even gradation curve.
  • These aggregates are best suitable for concrete strength and durability and Mix design for RCC.

RSMSSB JE Civil Mock Test - 9 - Question 26

The latitude of a line is:

Detailed Solution for RSMSSB JE Civil Mock Test - 9 - Question 26

Latitude of a line is the orthographic projection on N-S meridian. It is positive in case of Northing and negative in case of Southing.
Departure
of a line is the orthographic projection on E-W meridian. It is positive in case of Easting and negative in case of Westing.
For illustration refer line OA and OB as shown in figure. Let L be the latitude and D be the departure.

RSMSSB JE Civil Mock Test - 9 - Question 27

Consider the following statements:
1. Permissible limit for turbidity is between 1 - 5 ppm
2. Tintometer is used to measurement of taste and odour.
3. Total kjeldahl nitrogen is a measure of both organic and ammonia nitrogen.

Which of the above statement are correct related to water quality parameter?

Detailed Solution for RSMSSB JE Civil Mock Test - 9 - Question 27

Statement 1: Correct
Turbidity:

  • It is defined as the measurement of the degree to which water losses its transparency due to the presence of suspended solids.
  • The standard unit of Turbidity is Silica Turbidity Unit (STU) or Jackson’s turbidity unit (JTU).

Statement 2: Incorrect
Tintometer

  • It is a device to determine colour in water.
  • The unit of colour measurement is TCU.
  • 1 TCU is the colour produced by 1 mg of platinum cobalt in the form of chloroplatinate ions dissolved in 1 litre of distilled water.

Statement 3: Correct
Total Kjeldahl nitrogen (TKN):

  • Kjeldahl Nitrogen = Organic nitrogen + free ammonia/ammonia nitrogen
  • To calculate Total Nitrogen (TN), the concentrations of nitrate-N and nitrite-N are determined and added to the total Kjeldahl nitrogen
RSMSSB JE Civil Mock Test - 9 - Question 28

Which of the following represents a correct match?
i) moveable hair method - The intercept on levelling staff is kept constant and stadia hair interval is variable.
ii) fixed hair method - The intercept on levelling staff is variable and stadia hair interval is fixed.
iii) tangential hair method - The stadia hairs are not used.

Detailed Solution for RSMSSB JE Civil Mock Test - 9 - Question 28

Moveable hair method

  • Stadia hair is not fixed but can be moved by means of micrometer screws.
  • The intercept on leveling staff is kept constant and stadia hair interval is variable.
  • The stall is provided with 2 vanes or targets fixed at a known distance apart.
  • The variable stadia distance measured from this value, the required horizontal distance may be found out.
  • It is the slow method as compared to other methods

Fixed hair method

  • In this method distance between hairs is fixed
  • The intercept on leveling staff is variable and stadia hair interval is fixed.
  • The staff intercept value varies with its distance from the instrument, this is most commonly used in tacheometry

Tangential hair method

  • In the tangential hair method the stadia hairs are not used.
  • The readings being taken against horizontal cross hair.
  • It is slower than the stadia hair method.
RSMSSB JE Civil Mock Test - 9 - Question 29

Fill in the blank with the CORRECT option:

_______ and _______ are the two major natural forces responsible for causing defects in timber.

Detailed Solution for RSMSSB JE Civil Mock Test - 9 - Question 29

Defects in timber:

  • Abnormal growth and rupture of tissues are the two major natural forces responsible for causing defects in timber

Various types of defects in Timber are given below:

1. Knots:

  • These are the bases of branches or limbs which are broken or cut off from the tree.
  • It is formed in a portion from which the branch is removed and receives nourishment from the stem for a pretty long time.

2. Rind galls:

  • The rind means bark and the gall indicates abnormal growth. Hence peculiar curved swellings found on the body of a tree are known as the rind galls

3. Shakes:

  • These are cracks that partly or completely separate the fibers of the wood.

4. Bow:

  • This defect is indicated by the curvature formed in the direction of the length of timber.

5. Case-Hardening:

  • The exposed surface of timber dries very rapidly. It therefore shrinks and is under compression.
  • The interior surface which has not completely dried is under tension.

6. Check:

  • A check is a crack that separates fibers of the wood. It does not extend from one end to the other.

7. Honey-Combing:

  • Due to stresses developed during drying, the various radial and circular cracks develop in the interior portion of timber.
  • The timber thus assumes the honey-comb texture and the defect so developed is known as the honey-combing
RSMSSB JE Civil Mock Test - 9 - Question 30

Consider the following statement regarding reinforcement provision as per IS 456,
1. Minimum reinforcement for short column is 0.08% of gross area.
2. Minimum reinforcement for pedestal is 0.15 % of gross area.
3. The ratio of minimum reinforcement in vertical and horizontal directions of an RC wall is 3:5
4. Maximum reinforcement in the column is 4% of the gross area when splicing is not done.

Detailed Solution for RSMSSB JE Civil Mock Test - 9 - Question 30

Concept:

As per clause 26.5.1 of IS 456:2000, the minimum percentage of longitudinal reinforcement for short columns is 0.8% of gross area.

As per clause 26.5.2 of IS 456:2000, the minimum percentage of longitudinal reinforcement for pedestals is 0.15% of gross area.

As per clause 26.5.3 of IS 456:2000, the minimum percentage of reinforcement in vertical and horizontal directions of an RC wall is 0.3% and 0.5% respectively.

As per clause 26.4.3.2 of IS 456:2000, the maximum percentage of longitudinal reinforcement in a column should not exceed 4% of the gross area, except in special cases where splicing is provided.

Additional InformationPedestal → λ < 3
Short column → 3 < λ < 12
Long column → λ > 12

View more questions
Information about RSMSSB JE Civil Mock Test - 9 Page
In this test you can find the Exam questions for RSMSSB JE Civil Mock Test - 9 solved & explained in the simplest way possible. Besides giving Questions and answers for RSMSSB JE Civil Mock Test - 9, EduRev gives you an ample number of Online tests for practice
Download as PDF