SSC CGL Exam  >  SSC CGL Tests  >  SSC CGL Tier 1 Mock Test - 1 - SSC CGL MCQ

SSC CGL Tier 1 Mock Test - 1 - SSC CGL MCQ


Test Description

30 Questions MCQ Test - SSC CGL Tier 1 Mock Test - 1

SSC CGL Tier 1 Mock Test - 1 for SSC CGL 2025 is part of SSC CGL preparation. The SSC CGL Tier 1 Mock Test - 1 questions and answers have been prepared according to the SSC CGL exam syllabus.The SSC CGL Tier 1 Mock Test - 1 MCQs are made for SSC CGL 2025 Exam. Find important definitions, questions, notes, meanings, examples, exercises, MCQs and online tests for SSC CGL Tier 1 Mock Test - 1 below.
Solutions of SSC CGL Tier 1 Mock Test - 1 questions in English are available as part of our course for SSC CGL & SSC CGL Tier 1 Mock Test - 1 solutions in Hindi for SSC CGL course. Download more important topics, notes, lectures and mock test series for SSC CGL Exam by signing up for free. Attempt SSC CGL Tier 1 Mock Test - 1 | 100 questions in 60 minutes | Mock test for SSC CGL preparation | Free important questions MCQ to study for SSC CGL Exam | Download free PDF with solutions
SSC CGL Tier 1 Mock Test - 1 - Question 1

Find out the alternative figure which contains the figure (?) as its part.

Detailed Solution for SSC CGL Tier 1 Mock Test - 1 - Question 1

SSC CGL Tier 1 Mock Test - 1 - Question 2

Find two numbers such that their mean proportion is 12 and third proportion is 324.

Detailed Solution for SSC CGL Tier 1 Mock Test - 1 - Question 2

Let the number be a and b.

∴ √ab = 12
⇒ ab = 12²
= 144 ......(i)
Again, a/b = b/324
⇒ b² = 324a
b² = 324(144/b)
(a = 144/b) From (i)
⇒ b³ = 324 × 144
⇒ b = 36
∴ ab = 144
⇒ a = 144/b = 144/36 = 4
⇒ a = 4 and b = 36

SSC CGL Tier 1 Mock Test - 1 - Question 3

Two different positions of the same dice are shown. Select the number that will be at the top if '6' is at the bottom.

Detailed Solution for SSC CGL Tier 1 Mock Test - 1 - Question 3

In first dice and second dice. Number '1' is common. The left letter will be opposite to each other writing them clockwise starting from 1.

SSC CGL Tier 1 Mock Test - 1 - Question 4

In a certain code language, 'CROW' is coded as '3-18-15-23' and 'FISH' is coded as '6-9-19-8'. How will 'BULL' be coded in that language?

Detailed Solution for SSC CGL Tier 1 Mock Test - 1 - Question 4

The logic followed here is :-

Alphabetic positional values are represented.

'CROW' is coded as '3-18-15-23'.

And

'FISH' is coded as '6-9-19-8'.

Similarly,

'BULL' will be coded as :

Hence, the correct answer is "2-21-12-12".

SSC CGL Tier 1 Mock Test - 1 - Question 5

Select the correct combination of mathematical symbols that can sequentially replace the * symbols and balance the following equation.

117 * 13 * 65 * 15 * 984

Detailed Solution for SSC CGL Tier 1 Mock Test - 1 - Question 5

The logic followed here is:

In order to find the balance equation, check all options one by one.

Option (1) : -, ÷, +, =

117 – 13 ÷ 65 + 15 = 984

132 – 0.2 = 984

131.8  984

Option (2) : ×, +, ÷, =

117 × 13 + 65 ÷ 15 = 984

1521 + 4.34 = 984

1525.34 ≠  984

Option (3) : ÷, +, ×, =

117 ÷ 13 + 65 × 15 = 984

9 + 975 = 984

984 = 984

Option (4) : +, ÷, ×, =

117 + 13 ÷ 65 × 15 = 984

117 + 0.2 × 15 = 984

117 + 3 = 984

120  984

Hence, "÷, +, ×, =" is the correct answer.

SSC CGL Tier 1 Mock Test - 1 - Question 6

Which of the following diagrams indicates the best relation between India, Haryana, and World?

Detailed Solution for SSC CGL Tier 1 Mock Test - 1 - Question 6

Haryana is in India and India is in the World.

Therefore, the possible Venn diagram is as follows:

SSC CGL Tier 1 Mock Test - 1 - Question 7

Direction: Find the figure that will come in the place of question mark from the answer figures.

Question figure:

Answer figure:

Detailed Solution for SSC CGL Tier 1 Mock Test - 1 - Question 7

The four parts obtained in answer figure A are placed in such a manner that their pointed corners are facing each other.

SSC CGL Tier 1 Mock Test - 1 - Question 8

How many squares are there in the following figure?

Detailed Solution for SSC CGL Tier 1 Mock Test - 1 - Question 8

image.png

  • The squares composed of two components each are BJMI, CKMJ, DLMK and AIML i.e. 4 in number.
  • The squares composed of three components each are EBMA, BFCM, MCGD and AMDH i.e. 4 in number.
  • The squares composed of four components each are VWBA, XYCB, ZA1DC and B1C1AD i.e. 4 in number.
  • The squares composed of seven components each are NOJL, PQKI, RSLJ and TUIK i.e. 4 in number.
  • There is only one square, i.e. ABCD composed of eight components.
  • There is only one square, i.e. EFGH composed of twelve components.
  • ∴ Total number of squares in the figure =4+4+4+4+1+1=18.
SSC CGL Tier 1 Mock Test - 1 - Question 9

In the following question, select the related word from the given alternatives.

CELLS : CYTOLOGY:: BIRDS : ?

Detailed Solution for SSC CGL Tier 1 Mock Test - 1 - Question 9

Cytology is the study of Cells.

CELLS: CYTOLOGY

Similarly,

Ornithology is the study of BIRDS.

BIRDS: ORNITHOLOGY

SSC CGL Tier 1 Mock Test - 1 - Question 10

If Ayush’s exam is on September 29 which is Monday and Maahir’s exam is on October 19. Find what day will be on October 19?

Detailed Solution for SSC CGL Tier 1 Mock Test - 1 - Question 10

Given:

September 29 is Monday.

Days from September 29 to October 19:

Days in September = 1

Days in October = 19

Total days = 20

Odd days 

Odd days = 6 (Remainder)

So, Maahir’s exam which is on October 19 is on Sunday.

SSC CGL Tier 1 Mock Test - 1 - Question 11

BFG:  EIJ:  RVW: ?

Detailed Solution for SSC CGL Tier 1 Mock Test - 1 - Question 11

This given series follows the following pattern:

Similarly,

SSC CGL Tier 1 Mock Test - 1 - Question 12

Select the option that is different from the others.

Detailed Solution for SSC CGL Tier 1 Mock Test - 1 - Question 12

After gauging the numerical values ​​of the letters of the English alphabet series, we can see the pattern that is followed here.

(A) LA11 → L = 12, A = 1 → L - A = 11

(B) DG4 → D = 4, G = 7 → D - G = -3

(C) RB16 → R = 18, B = 2 → R - B = 16

(D) ZC23 → Z = 26, C = 3 → Z - C = 23

Therefore, 'DG4' is different from others.

SSC CGL Tier 1 Mock Test - 1 - Question 13

In a certain code language, 'PLAN' is written as ‘KOZM’. How will 'FLICK' be written in that language?

Detailed Solution for SSC CGL Tier 1 Mock Test - 1 - Question 13

According to the English alphabet series and its positional value:

The logic followed here is:

Alphabets given in the coded language are the opposite alphabet of the word 'PLAN'.

Similarly,

Opposite alphabets of the word 'FLICK' are:

SSC CGL Tier 1 Mock Test - 1 - Question 14

Who has recently (in July '2023) won Formula1(F1) Qatar Airways Hungarian Grand Prix 2023, held in Budapest, Hungary?

Detailed Solution for SSC CGL Tier 1 Mock Test - 1 - Question 14

On 23rd July 2023, RedBull's Max Verstappen(25 years old) won Formula1(F1) Qatar Airways Hungarian Grand Prix 2023, held in Budapest, Hungary. This victory made the RedBull team win twelve consecutive Formula One races in 2023 .

SSC CGL Tier 1 Mock Test - 1 - Question 15

In which year was Razia Sultan removed from the throne?

Detailed Solution for SSC CGL Tier 1 Mock Test - 1 - Question 15

  • Razia Sultan was removed from the throne in 1240.
  • Razia Sultan (1236 AD-1240 AD) belonged to the Slave Dynasty. She was the first and last Muslim woman ruler of Medieval India. She appointed Jamaluddin Yakoot as the highest officer of cavalry. Razia Sultan abandoned Pardah and appeared before the public in male dress. She saved the empire from Mongol invasion. She died in the year 1240 AD.
SSC CGL Tier 1 Mock Test - 1 - Question 16
Which minister inaugurated the 132nd Durand Cup on 5 August 2023 in Assam?
Detailed Solution for SSC CGL Tier 1 Mock Test - 1 - Question 16

The correct answer is Rajnath Singh.

In News

  • The 132nd edition of the Durand Cup, an annual football competition, was inaugurated in Kokrajhar, Assam on August 05, 2023, by Raksha Mantri Shri Rajnath Singh.
  • This is the first time the event is being held in this Assamese city.
  • The tournament is organized by the Armed Forces and supported by the Government of Assam.

Key Points

  • During the opening ceremony, Shri Rajnath Singh praised the efforts of the Armed Forces and Bodoland Territorial Council (BTC) for creating a conducive environment in Kokrajhar, enabling the event to be organized in the city for the first time.
  • Assam Chief Minister Shri Himanta Biswa Sarma acknowledged the rich sports culture of the region and extended his best wishes to all participating teams.
  • He also thanked the Indian Army for organizing the tournament in Kokrajhar and appreciated the efforts of BTC.
  • The opening ceremony was attended by nearly 12,000 football fans from across the state and the region.
  • The ceremony featured a flypast by Sukhoi-30 MKI aircraft and Mi-17 helicopter, martial displays, Gatka and Bhangra, and a display of Bodo cultural dance by the local troupe.
  • The inaugural ceremony was followed by the opening match of the tournament between Bodoland FC and Rajasthan United FC.
  • The tournament will include eight group matches and one quarter-final to be played on August 24, 2023.
  • A total of 24 teams, including two foreign teams from Nepal and Bangladesh, all three teams of Indian Armed Forces.
  • The local team of Bodoland FC will compete at three venues in Kolkata, Guwahati, and Kokrajhar during the tournament.
SSC CGL Tier 1 Mock Test - 1 - Question 17

Muhammad Bin Tughlaq transferred the capital from:

Detailed Solution for SSC CGL Tier 1 Mock Test - 1 - Question 17

Muhammad bin Tughlaq (1325-1351) shifted his capital from Delhi to Devagiri. Devagiri was named Daulatabad by the Sultan. But seeing his failure, the Sultan again shifted the capital to Delhi in 1335 AD.

Muhammad bin Tughlaq was the ruler of the Tughlaq dynasty in the Delhi Sultanate. After the death of Ghiyasuddin Tughlaq, his son Juna Khan ascended the throne of Delhi in the name of Muhammad bin Tughlaq (1325-1351 AD). Its original name was Ulugh Khan.

SSC CGL Tier 1 Mock Test - 1 - Question 18

The ultimate source of energy on earth is__________.

Detailed Solution for SSC CGL Tier 1 Mock Test - 1 - Question 18

The sun is the ultimate source of almost all kinds of energy on earth, either directly or indirectly.

Directly sun gives us solar power and is perfect non-conventional energy source. Moreover, Fossil fuels (coal, oil and gas) are the transformed forms of plants (and animals) which once lived on the earth and grew capturing the energy of the sun. Biomass is a product of photosynthesis where the sun has the major role. Hydro-electricity depends upon the water cycle which again is dependent on solar radiation. Similarly, wind energy, tidal power, wave power all, in some way or other, and depend on the sun.

SSC CGL Tier 1 Mock Test - 1 - Question 19

What is the national currency of Jordan?

Detailed Solution for SSC CGL Tier 1 Mock Test - 1 - Question 19

The currency of Jordan is the Jordanian dinar. The official code used to refer to the Jordanian dinar is JOD, while the unofficial code is JD.

The Jordanian dinar became Jordan's official currency in July 1950. It replaced the Palestinian pound, a currency which had circulated in the British Mandate of Palestine and Transjordan, a British protectorate, since 1927. 

SSC CGL Tier 1 Mock Test - 1 - Question 20

Which day is celebrated as “ Army Day”?

Detailed Solution for SSC CGL Tier 1 Mock Test - 1 - Question 20

 

The Army Day is celebrated on 15 January every year at the headquarters of the Army Command and Delhi in order to pay reverence to the brave heroes of the nation who sacrificed their lives to protect sovereignty and peace.

 

SSC CGL Tier 1 Mock Test - 1 - Question 21

In the given figure, if ∠APO = 35°, then which of the following options is correct?

Detailed Solution for SSC CGL Tier 1 Mock Test - 1 - Question 21

From the following figure,

∠APO = 35°

As we know,

∠APO = ∠BPO = 35°      (ΔAPO ≅ ΔBPO)

SSC CGL Tier 1 Mock Test - 1 - Question 22

The average income of employee in an office is Rs150 per month. The average income of officers is Rs 450 and that of non-officers is Rs 80. If the number of officers is 14 what is the number of non-officers?

Detailed Solution for SSC CGL Tier 1 Mock Test - 1 - Question 22

Given,

Average income of employee = Rs. 150 

Average income of officers = Rs. 450 

Average income of non-officers = Rs. 80 

Number of officers = 14 

Income of officers  = 14 × 450

Income of non-officers = 80 × X

According to the question,

⇒ 14 × 450 + 80x = 150 × 14 + 150x

⇒ 14 (450 - 150) = 150x - 80x

⇒ 14 (300) = 70x

⇒ x = 60

There are 60 non-officers.

SSC CGL Tier 1 Mock Test - 1 - Question 23

The greatest number, that divides 122 and 243 leaving respectively 2 and 3 as remainders, is

Detailed Solution for SSC CGL Tier 1 Mock Test - 1 - Question 23

Clearly, 122 – 2 = 120 and 243 – 3 = 240 are exactly divisible by the required number.
Required number
= HCF of 120 and 240 = 120

SSC CGL Tier 1 Mock Test - 1 - Question 24

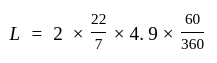
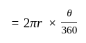
Find the length of the arc whose central angle is 60º and the radius of the circle is 4.9 cm?

Detailed Solution for SSC CGL Tier 1 Mock Test - 1 - Question 24

According to Question,

Central angle = 60º

The radius of circle = 4.9  cm

Arc length 

L = 5.13 cm

SSC CGL Tier 1 Mock Test - 1 - Question 25

Raghavan purchase a scooter at 13/15 of its selling price and sold it at 12% more than its selling price. His gain is:

Detailed Solution for SSC CGL Tier 1 Mock Test - 1 - Question 25

According to the question,

Cost price= 13/15 Selling price

If they sold 12% more then it's the old selling price.

So, the new selling price is:

= 16.8

∴ Profit = Selling price - Cost price

= 16.8 - 13

= 3.8

Profit

SSC CGL Tier 1 Mock Test - 1 - Question 26

Select the most appropriate option to fill in blank number 3. 

Detailed Solution for SSC CGL Tier 1 Mock Test - 1 - Question 26

The correct answer is Option (4) i.e. 'far-reaching'.Key Points

  • The sentence mentions "consequences of climate change", implying that the adjective used should express the widespread or extensive nature of these effects.
  • 'Short-sighted', 'clean', and 'inadequate' do not accurately represent the comprehensive impact of climate change.
  • 'Far-reaching' accurately describes the extensive and widespread effects of climate change.

Therefore, the correct answer is 'far-reaching'.

The Passage is Climate change is a pressing global issue that demands immediate (1) action. The Earth’s climate is undergoing (2) profound changes primarily due to human activities, such as burning fossil fuels and deforestation. The consequences of climate change are (3) far-reaching and include rising global temperatures, extreme weather events, and biodiversity loss. To mitigate these effects, it is crucial to reduce greenhouse gas emissions, promote renewable energy sources, and adopt sustainable (4) ________. Additionally, raising awareness and educating the public about the importance of conservation and environmentally friendly practices are essential. Cooperation and international (5) ________ are needed to address climate change collectively.

Additional Information

  • Far-reaching (दूर तक पहुंचने वाला) - Having a wide range or scope; significant and extensive.
    • Example: The new law will have far-reaching consequences for the entire population.
SSC CGL Tier 1 Mock Test - 1 - Question 27

Select the most appropriate option to fill in blank number 4. 

Detailed Solution for SSC CGL Tier 1 Mock Test - 1 - Question 27

The correct answer is Option (1) i.e. 'solutions'.Key Points

  • The sentence hints at ways or methods to mitigate the effects of climate change, suggesting the blank should be filled with a word denoting positive responses or strategies.
  • 'Results', 'effects', and 'consequences' do not fit this context as they do not denote active strategies or measures against climate change.
  • 'Solutions' perfectly fits as it refers to methods or strategies that present ways to address an issue or problem - in this case, climate change.

Therefore, the correct answer is 'solutions'.

The Passage is Climate change is a pressing global issue that demands immediate (1) action. The Earth’s climate is undergoing (2) profound changes primarily due to human activities, such as burning fossil fuels and deforestation. The consequences of climate change are (3) far-reaching and include rising global temperatures, extreme weather events, and biodiversity loss. To mitigate these effects, it is crucial to reduce greenhouse gas emissions, promote renewable energy sources, and adopt sustainable (4) solutions. Additionally, raising awareness and educating the public about the importance of conservation and environmentally friendly practices are essential. Cooperation and international (5) ________ are needed to address climate change collectively.

SSC CGL Tier 1 Mock Test - 1 - Question 28

Direction: In the following question, out of the four given alternatives, select the alternative which best expresses the meaning of the Idiom/Phrase.

Chip off the old block

Detailed Solution for SSC CGL Tier 1 Mock Test - 1 - Question 28

‘Chip off the block’ is used to describe someone who has few or some traits like his/her parents; someone who is very similar in character to their father or mother

Example: If it were not inelegant to say so, it is not a chip off the old block which we have, but the old block itself.

SSC CGL Tier 1 Mock Test - 1 - Question 29

In the following questions, choose the word opposite in meaning to the given word.

Garrulous

Detailed Solution for SSC CGL Tier 1 Mock Test - 1 - Question 29

Garrulous’ (adjective) means: Excessively talkative.

"Laconic" describes someone who is concise or terse in speech, which is the opposite of being garrulous.

Therefore, Laconic will be the correct antonym.

SSC CGL Tier 1 Mock Test - 1 - Question 30

Direction: Select the word with correct spelling.

Detailed Solution for SSC CGL Tier 1 Mock Test - 1 - Question 30

Correct spelling of the given words are as such:

Satarvation → Starvation

Senitation → Sanitation

Spetiality → Speciality

Where as the spelling of the word 'Strategist' is correct.

View more questions
Information about SSC CGL Tier 1 Mock Test - 1 Page
In this test you can find the Exam questions for SSC CGL Tier 1 Mock Test - 1 solved & explained in the simplest way possible. Besides giving Questions and answers for SSC CGL Tier 1 Mock Test - 1, EduRev gives you an ample number of Online tests for practice
Download as PDF