Consider the following uniformly doped n-type Si sample of length 100 μm, maintained at T = 300K,
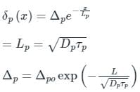
Light incident on the surface is absorbed at x = 0, resulting in pn (0) - p0 = 108 / cm3 excess holes at x = 0. The generation rate for x > 0 is zero)
The expression for minority charge carrier (holes) as function of x is
A sample of silicon at T = 300 K is doped with boron at a concentration of 1.5 × 1015 cm-3 and with arsenic at a concentration of 8 × 1014 cm-3. The intrinsic carrier concentration of Si at T = 300 K is 1010 cm-3. The material is
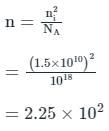
Consider a silicon sample doped with ND = 1×1015/cm3 donor atoms. Assume that the intrinsic carrier concentration ni = 1.5×1010/cm3. If the sample is additionally doped with NA = 1×1018/cm3 acceptor atoms, the approximate number of electrons/cm3 in the sample, at T = 300 K, will be ______.
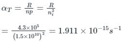
A pure silicon crystal with recombination constant αT has rate of recombination of 4.3 × 105 (cm3-sec)-1. The intrinsic carrier concentration is 1.5 × 1010 cm-3. A dopant with concentration 4.7 × 1016 cm-3 is added then the new constant of recombination at equilibrium is ________ × 10-15 s-1
A sample of silicon at T = 300 K is doped with boron at a concentration of 1.5 × 1015 cm-3 and with arsenic at a concentration of 8 × 1014 cm-3. The intrinsic carrier concentration of Si at T = 300 K is 1010 cm-3.
Which of the following statements about the semiconductor material is/are false?
Holes are injected into n-type Ge so that the at the surface of the semiconductor hole concentration is 1014/cm3. If diffusion constant of hole in Ge is 49cm2/sec and minority carrier life time is τp = 10-3 sec. Then the hole concentration Δp at a distance of 4mm from the surface is ______1014/cm3.