CAT Exam  >  CAT Tests  >  Test Level 2: Functions - 2 - CAT MCQ

Test Level 2: Functions - 2 - CAT MCQ


Test Description

20 Questions MCQ Test - Test Level 2: Functions - 2

Test Level 2: Functions - 2 for CAT 2025 is part of CAT preparation. The Test Level 2: Functions - 2 questions and answers have been prepared according to the CAT exam syllabus.The Test Level 2: Functions - 2 MCQs are made for CAT 2025 Exam. Find important definitions, questions, notes, meanings, examples, exercises, MCQs and online tests for Test Level 2: Functions - 2 below.
Solutions of Test Level 2: Functions - 2 questions in English are available as part of our course for CAT & Test Level 2: Functions - 2 solutions in Hindi for CAT course. Download more important topics, notes, lectures and mock test series for CAT Exam by signing up for free. Attempt Test Level 2: Functions - 2 | 20 questions in 40 minutes | Mock test for CAT preparation | Free important questions MCQ to study for CAT Exam | Download free PDF with solutions
Test Level 2: Functions - 2 - Question 1

If ff(-x) = 2x, what is the value of f(2)?

Detailed Solution for Test Level 2: Functions - 2 - Question 1

Putting x = 1/2,
We get f(2) + 2f(-1/2) = 1
Or, f(2) = 1 - 2f(-1/2)........(i)
Putting x = -2,
We get f(-1/2) - (1/2)f(2) = -4
Or, f(-1/2) = -4 + (1/2)f(2).........(ii)
Putting (ii) in (i),
We get f(2) = 1 - 2 (-4 + (1/2)f(2))
Or, f(2) = 1 + 8 - f(2) 
Or, 2f(2) = 9
Or, f(2) = 9/2 = 4.5

Test Level 2: Functions - 2 - Question 2

Let f(x) = 7x3 + 23x + 18. If the value of f(x + 8) - f(x + 7) - f(x + 6) + f(x + 5) - f(x + 4) + f(x + 3) + f(x + 2) - f(x + 1) is a constant, then find that value.

Detailed Solution for Test Level 2: Functions - 2 - Question 2

If the answer is a constant, this implies that the answer does not depend on the variable i.e. x.
Thus, if we take only constant terms that we would get after writing all the functions, we will get the required answer.
Thus, 7(83 - 73 - 63 + 53 - 43 + 33 + 23 - 13) + 18(1 - 1 - 1 + 1 - 1 + 1 + 1 - 1) + 23(8 - 7 - 6 + 5 - 4 + 3 + 2 - 1) = 336.
Hence, option d is correct.

Test Level 2: Functions - 2 - Question 3

Let f(x) = x5 + ax4 + bx3 + cx2 + dx + e and f(1) = f(2) = f(3) = f(4) = f(5). Then a is equal to

Detailed Solution for Test Level 2: Functions - 2 - Question 3

Let A be the common value of f(1), f(2), f(3), f(4), and f(5).
Then f(x) - A has the roots 1, 2, 3, 4, and 5.

Since f(x) - A = x5 + ax4 + bx3 + cx2 + dx + (e - A), f(x) - A is a polynomial of degree 5 and, hence, the five numbers 1, 2, 3, 4, and 5 must be the five roots of f(x).

It follows that the sum of the roots of f(x) is 1 + 2 + 3 + 4 + 5 = 15.
Since in general the sum of the n roots of a polynomial anxn + an - 1xn - 1 + …….. + a1x + a0 of degree n is , we get that the sum of the roots of f(x) - A is - a.
Thus, - a = 15 so that a = - 15.
(Comment: When we say that in general the sum of the n roots above is, we mean that the polynomial may have "multiple" roots and we are to count the roots with multiplicity. For example, (x - 1)2 (x - 2)3 = x5 - 8x4 + …. Where 8 represents the sum of the roots counting 1 twice and 2 thrice.)

Test Level 2: Functions - 2 - Question 4

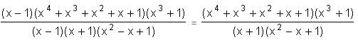
If f(x) = (x5 - 1) (x3 + 1), g(x) = (x2 - 1) (x2 - x + 1) and h(x) is a polynomial such that f(x) = g(x)h(x), what is the value of h(1)?

Detailed Solution for Test Level 2: Functions - 2 - Question 4

Since h(x) = 
h(x) = 
h(1) == 5.
(Observe that (x + 1) (x2 - x + 1) = x3 + 1, so h(x) = x4 + x3 + x2 + x + 1. Computing h(x) is not necessary, but it is certainly a reasonable thing to do.)

Test Level 2: Functions - 2 - Question 5

Consider a recursive function C defined by: 
C(n, 0) = n + 1
C(0, i) = C(1, i - 1) for i > 0
C(n, i) = C(C(n -1, i), ( i - 1)) for n > 0 and i > 0
Compute C(1, 2) from the above definition.

Detailed Solution for Test Level 2: Functions - 2 - Question 5

C(n, 0) = n + 1 ……….. (1)
C(0, i) = C(1, i - 1)  ……….. (2)
C(n, i) = C(C (n - 1, i), (i - 1)) ……….. (3)
From (3), put n = 1 and i = 2
C(1, 2) = C[C(0, 2), 1]  ……….. (4)
From (2), 
C(0, 2) = C(1, 1) ……….. (5)
From (3) and (5),           
C(1, 1) = C[C(0, 1), 0] ……….. (6)
Now, C(0, 1) = C(1, 0) [From (2)]
Also, C(1, 0) = 1 + 1 = 2 [From (1)]
Put this in (6)
C(1, 1) = C(2, 0) = 2 + 1 = 3 [From (1)]
Put this value in (5)
C(0, 2) = 3
Put this value in (4)
C(1, 2) = C(3, 1) ……….. (7)
Now, from (3),
C(3, 1) = C[C(2, 1), 0] ……….. (8)
C(2, 1) = C[C(1, 1), 0]
= C(3, 0) = 4
Put in (8)
C(3, 1) = C(4, 0) = 5 ………. (9)
From (7) to (9),
C(1, 2) = 5.

Test Level 2: Functions - 2 - Question 6

Let f and g be functions and f(g(x)) = x + 2 and f(s) =  . What is the value of g(t)?

Detailed Solution for Test Level 2: Functions - 2 - Question 6

f(g(x)) = x + 2
Also f(g(x)) = 
xg(x) + x + 2g(x) + 2 = 4 - g(x)
g(x) =
g(t) =
g(t) =

Test Level 2: Functions - 2 - Question 7

Let f(x) = 1 - Find f(f(f(…f(4)..))), when there are 1997 f's in the composition.

Detailed Solution for Test Level 2: Functions - 2 - Question 7

f(x) = 1 - 
f(4) = 1 - 
f(f(4)) = f = 1 -= 4.
f(f(4)) = 4
f(f(f(4))) = f(4) = 4/3
So, if there even no. of f's in the composition, output is 4, otherwise 4/3.
As there are 1997 f's in the composition, answer is 4/3.

Test Level 2: Functions - 2 - Question 8

The value of the function f(n) is 35/16 which is represented as f(n) = Find the value of x(Answer upto one decimal place).

Detailed Solution for Test Level 2: Functions - 2 - Question 8

f(n) = 1 + 4x + 7x2 + 10x3 + …..(1)
xf(n) = x + 4x2 + 7x3 + 10x4 + ……∝ …(2)
Subtracting (1) and (2), we get
(1 - x) f(n) = 1 + 3x + 3x2 + 3x3 +......
⇒ (1 - x) f(n) = 1 + 3x/1-x
⇒ (1 - x) × 35 x 16 = 1 + 2x/1 - x
⇒ 35(1 - x)2 = 16 + 32x
⇒ 35x2 - 102x + 19 = 0
⇒ (7x - 19)(5x - 1) = 0
x ≠ 19/7 (∴ For infinity series, common ratio < 1)
∴ x = 1/5

Test Level 2: Functions - 2 - Question 9

If f(x + y) = f(x) + f(y) and f(1) + f(2) + f(3) … f(10) = 1, find the value of f(1).

Detailed Solution for Test Level 2: Functions - 2 - Question 9

Given: f(x + y) = f(x) + f(y)
f(1 + 1) = f(2) = f(1) + f(1) = 2f(1)
f(2 + 1) = f(3) = f(2) + f(1) = 3f(1)
Similarly, f(4) = 4f(1), f(5) = 5f(1) … f(10) = 10f(1)
Given expression: 
f(1) + f(2) + f(3) … f(10) = 1
f(1) + 2f(1) + 3f(1) + ... + 10f(1) = 1
f(1)(1 + 2 + 3 + ... + 10) = 1
f(1) = 1/55

Test Level 2: Functions - 2 - Question 10

If f is a function such that f(0) = 2, f(1) = 3 and f(x + 2) = 2f(x) - f(x + 1), then f(5) is equal to

Detailed Solution for Test Level 2: Functions - 2 - Question 10

f(x + 2) = 2f(x) - f(x + 1) ... (i)
Put x = 0 in (i),
f(2) = 2f(0) - f(1) = 2 × 2 - 3 = 1
Put x = 1 in (i),
f(3) = 2f(1) - f(2) = 2 × 3 - 1 = 5
Put x = 2 in (i),
f(4) = 2f(2) - f(3) = 2 × 1 - 5 = -3
Put x = 3 in (i),
f(5) = 2f(3) - f(4) = 2 × 5 - (-3) = 13

Test Level 2: Functions - 2 - Question 11

If the graph of y = f(x) is transformed to the graph of 2y - 6 = -4f(x - 3), point (a, b) on the graph of y = f(x) becomes point (A, B) on the graph of 2y - 6 = -4f(x - 3), where A and B are given by:

Detailed Solution for Test Level 2: Functions - 2 - Question 11

y = f(x) is transformed to the graph of 2y - 6 = -4f(x - 3). 
(A, B) = ?
2y - 6 = -4f(x - 3)
2y = -4f(x - 3) + 6
y = -2f(x - 3) + 3
The graph of y = -2f(x - 3) + 3 is that of y = f(x) shifted 3 units to the right, stretched vertically by a factor of 2, reflected on the x-axis and shifted up by 3 units. A point of y = f(x) will undergo the same transformation. Hence, point (a, b) on the graph of y = f(x) becomes:
(a + 3, b) on the graph of y = f(x - 3) (shifted 3 units to the right)
(a + 3, 2b) on the graph of y = 2f(x - 3) (stretched vertically by 2)
(a + 3, -2b) on the graph of y = -2f(x - 3) (reflected on the x-axis)
(a + 3, -2b + 3) on the graph of y = -2f(x - 3) + 3 (shifted up 3 units)

Test Level 2: Functions - 2 - Question 12

Given below is a graph made up of line segments shown as thick lines. Which of the following options is correct?

Detailed Solution for Test Level 2: Functions - 2 - Question 12

The following table shows the values of the graph of the functions f(x) and f(-x) at different values of x:

From the above table, we get
f(x) = f(-x)
f(x) - f(-x) = 0

Test Level 2: Functions - 2 - Question 13

The graphs of f(x) and g(x) are shown below:

 Find (fog)(-1).

Detailed Solution for Test Level 2: Functions - 2 - Question 13

First note that (fog)(-1) = f(g(- 1)).
This means that you first need to find g(-1).
So, look at the graph of g(x) and find x = -1.
Tracing up to the graph of g(x), you get x = -1, y = 3, i.e. the point (-1, 3) is on the graph of g(x).
So, g(-1) = 3. Now, plug this value into f(x).
To do this, look at the graph of f(x) and find x = 3.
Tracing up to the graph of f(x), you will get x = 3, y = 3, i.e. the point (3, 3) is on the graph of f(x).
So, f(3) = 3. Then, (fog)(-1) = f(g(- 1)) = f(3) = 3

Test Level 2: Functions - 2 - Question 14

A sphere's radius is increasing at the rate of 4.2 cm/sec. Find the rate at which its area of surface changes when the radius is 100 cm.

Detailed Solution for Test Level 2: Functions - 2 - Question 14

= 10,560 cm2/s

Test Level 2: Functions - 2 - Question 15

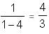
A cube's edge is changing at the rate of 2.61 cm/sec. The rate of change of its longest diagonal will be (approx.)

Detailed Solution for Test Level 2: Functions - 2 - Question 15

 Longest diagonal of a cube = D = √3  a, where a is the length of each side.

Test Level 2: Functions - 2 - Question 16

A large company intends to maximise its profits using calculus. Its unit sales price is Rs. 500 and cost of production = 100 + 5X2, where X is the total units sold or produced. Find the most profitable production level.

Detailed Solution for Test Level 2: Functions - 2 - Question 16

Profit = P = Total SP - Total CP
= 500 X - (100 + 5X2) = - 5X2 + 500X - 100
Here, X = Production level
 dP/dX = 0
 500 - 10X = 0  X = 50 units
The most profitable production level is 50 units.

Test Level 2: Functions - 2 - Question 17

A company sells its products at Rs. 155 per kg and its cost of manufacture is given by Rs. (X2 + 5) per kg. Find the production level for maximum profit, if X = production level.

Detailed Solution for Test Level 2: Functions - 2 - Question 17

Let X kg be the most profitable level. 
⇒ Profit = P = Total SP - Total CP = 155X - (X2 + 5) x ⇒ dP/dX = 0 ⇒ 155 - 3X2 - 5 = 0
⇒ x = √50 kg

Test Level 2: Functions - 2 - Question 18

In Indore, Annapurna area has 2000 telephone subscribers and government collects fixed charges of Rs. 280 per month from each subscriber. The government proposes to increase the tariff and if it is forecasted for each rupee increase, there will be an equivalent amount of subscribers discontinuing. So, what increase will bring maximum revenue to the government?

Detailed Solution for Test Level 2: Functions - 2 - Question 18

F(x) = (2000 - x)(280 + x)
F`(x) = (2000 - x) + (280 + x)(-1)
= 2000 - x - 280 - x = 1720 - 2x
F"(x) = -2 (which is negative)
So,
1720 - 2x = 0
1720 = 2x
x = 860
 x = Rs. 860

Test Level 2: Functions - 2 - Question 19

The maximum area of a rectangle with perimeter equal to 12 units will be

Detailed Solution for Test Level 2: Functions - 2 - Question 19

Area will be maximum if it is a square of edge = 12/4 = 3 or area = 32 = 9 sq. units.

Test Level 2: Functions - 2 - Question 20

Let f1(n) = n - 28  n  6
      f2(m) = m - 16 ≤ m  - 1 
      f(x) = f(m) + f(n)

What is the value of fmax(x) and fmin(x)?

Detailed Solution for Test Level 2: Functions - 2 - Question 20

Put m = 0 and n = 0, the least value of f(x) = n - 28 + m - 16  = - 28 + (- 16) = - 44 and the greatest value of f(x) = 6 - 1 = 5.

Information about Test Level 2: Functions - 2 Page
In this test you can find the Exam questions for Test Level 2: Functions - 2 solved & explained in the simplest way possible. Besides giving Questions and answers for Test Level 2: Functions - 2, EduRev gives you an ample number of Online tests for practice
Download as PDF